Introduction to Statistical Learning
with Applications in Python
Preface
Statistical learning refers to a set of tools for making sense of complex datasets. In recent years, we have seen a staggering increase in the scale and scope of data collection across virtually all areas of science and industry. As a result, statistical learning has become a critical toolkit for anyone who wishes to understand data — and as more and more of today’s jobs involve data, this means that statistical learning is fast becoming a critical toolkit for everyone.
One of the frst books on statistical learning — The Elements of Statistical Learning (ESL, by Hastie, Tibshirani, and Friedman) — was published in 2001, with a second edition in 2009. ESL has become a popular text not only in statistics but also in related felds. One of the reasons for ESL’s popularity is its relatively accessible style. But ESL is best-suited for individuals with advanced training in the mathematical sciences.
An Introduction to Statistical Learning, With Applications in R (ISLR) — frst published in 2013, with a second edition in 2021 — arose from the clear need for a broader and less technical treatment of the key topics in statistical learning. In addition to a review of linear regression, ISLR covers many of today’s most important statistical and machine learning approaches, including resampling, sparse methods for classifcation and regression, generalized additive models, tree-based methods, support vector machines, deep learning, survival analysis, clustering, and multiple testing.
Since it was published in 2013, ISLR has become a mainstay of undergraduate and graduate classrooms worldwide, as well as an important reference book for data scientists. One of the keys to its success has been that, beginning with Chapter 2, each chapter contains an R lab illustrating how to implement the statistical learning methods seen in that chapter, providing the reader with valuable hands-on experience.
However, in recent years Python has become an increasingly popular language for data science, and there has been increasing demand for a Pythonbased alternative to ISLR. Hence, this book, An Introduction to Statistical Learning, With Applications in Python (ISLP), covers the same materials as ISLR but with labs implemented in Python — a feat accomplished by the addition of a new co-author, Jonathan Taylor. Several of the labs make use of the ISLP Python package, which we have written to facilitate carrying out the statistical learning methods covered in each chapter in Python. These labs will be useful both for Python novices, as well as experienced users.
The intention behind ISLP (and ISLR) is to concentrate more on the applications of the methods and less on the mathematical details, so it is appropriate for advanced undergraduates or master’s students in statistics or related quantitative felds, or for individuals in other disciplines who wish to use statistical learning tools to analyze their data. It can be used as a textbook for a course spanning two semesters.
We are grateful to these readers for providing valuable comments on the frst edition of ISLR: Pallavi Basu, Alexandra Chouldechova, Patrick Danaher, Will Fithian, Luella Fu, Sam Gross, Max Grazier G’Sell, Courtney Paulson, Xinghao Qiao, Elisa Sheng, Noah Simon, Kean Ming Tan, Xin Lu Tan. We thank these readers for helpful input on the second edition of ISLR: Alan Agresti, Iain Carmichael, Yiqun Chen, Erin Craig, Daisy Ding, Lucy Gao, Ismael Lemhadri, Bryan Martin, Anna Neufeld, Geof Tims, Carsten Voelkmann, Steve Yadlowsky, and James Zou. We are immensely grateful to Balasubramanian “Naras” Narasimhan for his assistance on both ISLR and ISLP.
It has been an honor and a privilege for us to see the considerable impact that ISLR has had on the way in which statistical learning is practiced, both in and out of the academic setting. We hope that this new Python edition will continue to give today’s and tomorrow’s applied statisticians and data scientists the tools they need for success in a data-driven world.
It’s tough to make predictions, especially about the future.
-Yogi Berra
1 Introduction
An Overview of Statistical Learning
Statistical learning refers to a vast set of tools for understanding data. These tools can be classifed as supervised or unsupervised. Broadly speaking, supervised statistical learning involves building a statistical model for predicting, or estimating, an output based on one or more inputs. Problems of this nature occur in felds as diverse as business, medicine, astrophysics, and public policy. With unsupervised statistical learning, there are inputs but no supervising output; nevertheless we can learn relationships and structure from such data. To provide an illustration of some applications of statistical learning, we briefy discuss three real-world data sets that are considered in this book.
Wage Data
In this application (which we refer to as the Wage data set throughout this book), we examine a number of factors that relate to wages for a group of men from the Atlantic region of the United States. In particular, we wish to understand the association between an employee’s age and education, as well as the calendar year, on his wage. Consider, for example, the left-hand panel of Figure 1.1, which displays wage versus age for each of the individuals in the data set. There is evidence that wage increases with age but then decreases again after approximately age 60. The blue line, which provides an estimate of the average wage for a given age, makes this trend clearer. Given an employee’s age, we can use this curve to predict his wage. However, it is also clear from Figure 1.1 that there is a signifcant amount of variability associated with this average value, and so age alone is unlikely to provide an accurate prediction of a particular man’s wage.
© Springer Nature Switzerland AG 2023
G. James et al., An Introduction to Statistical Learning, Springer Texts in Statistics, https://doi.org/10.1007/978-3-031-38747-0\_1

FIGURE 1.1. Wage data, which contains income survey information for men from the central Atlantic region of the United States. Left: wage as a function of age. On average, wage increases with age until about 60 years of age, at which point it begins to decline. Center: wage as a function of year. There is a slow but steady increase of approximately $10,000 in the average wage between 2003 and 2009. Right: Boxplots displaying wage as a function of education, with 1 indicating the lowest level (no high school diploma) and 5 the highest level (an advanced graduate degree). On average, wage increases with the level of education.
We also have information regarding each employee’s education level and the year in which the wage was earned. The center and right-hand panels of Figure 1.1, which display wage as a function of both year and education, indicate that both of these factors are associated with wage. Wages increase by approximately $10,000, in a roughly linear (or straight-line) fashion, between 2003 and 2009, though this rise is very slight relative to the variability in the data. Wages are also typically greater for individuals with higher education levels: men with the lowest education level (1) tend to have substantially lower wages than those with the highest education level (5). Clearly, the most accurate prediction of a given man’s wage will be obtained by combining his age, his education, and the year. In Chapter 3, we discuss linear regression, which can be used to predict wage from this data set. Ideally, we should predict wage in a way that accounts for the non-linear relationship between wage and age. In Chapter 7, we discuss a class of approaches for addressing this problem.
Stock Market Data
The Wage data involves predicting a continuous or quantitative output value. This is often referred to as a regression problem. However, in certain cases we may instead wish to predict a non-numerical value—that is, a categorical or qualitative output. For example, in Chapter 4 we examine a stock market data set that contains the daily movements in the Standard & Poor’s 500 (S&P) stock index over a 5-year period between 2001 and 2005. We refer to this as the Smarket data. The goal is to predict whether the index will increase or decrease on a given day, using the past 5 days’ percentage changes in the index. Here the statistical learning problem does not involve predicting a numerical value. Instead it involves predicting whether a given

FIGURE 1.2. Left: Boxplots of the previous day’s percentage change in the S&P index for the days for which the market increased or decreased, obtained from the Smarket data. Center and Right: Same as left panel, but the percentage changes for 2 and 3 days previous are shown.
day’s stock market performance will fall into the Up bucket or the Down bucket. This is known as a classifcation problem. A model that could accurately predict the direction in which the market will move would be very useful!
The left-hand panel of Figure 1.2 displays two boxplots of the previous day’s percentage changes in the stock index: one for the 648 days for which the market increased on the subsequent day, and one for the 602 days for which the market decreased. The two plots look almost identical, suggesting that there is no simple strategy for using yesterday’s movement in the S&P to predict today’s returns. The remaining panels, which display boxplots for the percentage changes 2 and 3 days previous to today, similarly indicate little association between past and present returns. Of course, this lack of pattern is to be expected: in the presence of strong correlations between successive days’ returns, one could adopt a simple trading strategy to generate profts from the market. Nevertheless, in Chapter 4, we explore these data using several diferent statistical learning methods. Interestingly, there are hints of some weak trends in the data that suggest that, at least for this 5-year period, it is possible to correctly predict the direction of movement in the market approximately 60% of the time (Figure 1.3).
Gene Expression Data
The previous two applications illustrate data sets with both input and output variables. However, another important class of problems involves situations in which we only observe input variables, with no corresponding output. For example, in a marketing setting, we might have demographic information for a number of current or potential customers. We may wish to understand which types of customers are similar to each other by grouping individuals according to their observed characteristics. This is known as a

FIGURE 1.3. We ft a quadratic discriminant analysis model to the subset of the Smarket data corresponding to the 2001–2004 time period, and predicted the probability of a stock market decrease using the 2005 data. On average, the predicted probability of decrease is higher for the days in which the market does decrease. Based on these results, we are able to correctly predict the direction of movement in the market 60% of the time.
clustering problem. Unlike in the previous examples, here we are not trying to predict an output variable.
We devote Chapter 12 to a discussion of statistical learning methods for problems in which no natural output variable is available. We consider the NCI60 data set, which consists of 6,830 gene expression measurements for each of 64 cancer cell lines. Instead of predicting a particular output variable, we are interested in determining whether there are groups, or clusters, among the cell lines based on their gene expression measurements. This is a difcult question to address, in part because there are thousands of gene expression measurements per cell line, making it hard to visualize the data.
The left-hand panel of Figure 1.4 addresses this problem by representing each of the 64 cell lines using just two numbers, Z1 and Z2. These are the frst two principal components of the data, which summarize the 6,830 expression measurements for each cell line down to two numbers or dimensions. While it is likely that this dimension reduction has resulted in some loss of information, it is now possible to visually examine the data for evidence of clustering. Deciding on the number of clusters is often a difcult problem. But the left-hand panel of Figure 1.4 suggests at least four groups of cell lines, which we have represented using separate colors.
In this particular data set, it turns out that the cell lines correspond to 14 diferent types of cancer. (However, this information was not used to create the left-hand panel of Figure 1.4.) The right-hand panel of Figure 1.4 is identical to the left-hand panel, except that the 14 cancer types are shown using distinct colored symbols. There is clear evidence that cell lines with the same cancer type tend to be located near each other in this two-dimensional representation. In addition, even though the cancer information was not used to produce the left-hand panel, the clustering obtained does bear some resemblance to some of the actual cancer types observed in the right-hand panel. This provides some independent verifcation of the accuracy of our clustering analysis.

FIGURE 1.4. Left: Representation of the NCI60 gene expression data set in a two-dimensional space, Z1 and Z2. Each point corresponds to one of the 64 cell lines. There appear to be four groups of cell lines, which we have represented using diferent colors. Right: Same as left panel except that we have represented each of the 14 diferent types of cancer using a diferent colored symbol. Cell lines corresponding to the same cancer type tend to be nearby in the two-dimensional space.
A Brief History of Statistical Learning
Though the term statistical learning is fairly new, many of the concepts that underlie the feld were developed long ago. At the beginning of the nineteenth century, the method of least squares was developed, implementing the earliest form of what is now known as linear regression. The approach was frst successfully applied to problems in astronomy. Linear regression is used for predicting quantitative values, such as an individual’s salary. In order to predict qualitative values, such as whether a patient survives or dies, or whether the stock market increases or decreases, linear discriminant analysis was proposed in 1936. In the 1940s, various authors put forth an alternative approach, logistic regression. In the early 1970s, the term generalized linear model was developed to describe an entire class of statistical learning methods that include both linear and logistic regression as special cases.
By the end of the 1970s, many more techniques for learning from data were available. However, they were almost exclusively linear methods because ftting non-linear relationships was computationally difcult at the time. By the 1980s, computing technology had fnally improved sufciently that non-linear methods were no longer computationally prohibitive. In the mid 1980s, classifcation and regression trees were developed, followed shortly by generalized additive models. Neural networks gained popularity in the 1980s, and support vector machines arose in the 1990s.
Since that time, statistical learning has emerged as a new subfeld in statistics, focused on supervised and unsupervised modeling and prediction. In recent years, progress in statistical learning has been marked by the increasing availability of powerful and relatively user-friendly software, such as the popular and freely available Python system. This has the potential to continue the transformation of the feld from a set of techniques used and developed by statisticians and computer scientists to an essential toolkit for a much broader community.
This Book
The Elements of Statistical Learning (ESL) by Hastie, Tibshirani, and Friedman was frst published in 2001. Since that time, it has become an important reference on the fundamentals of statistical machine learning. Its success derives from its comprehensive and detailed treatment of many important topics in statistical learning, as well as the fact that (relative to many upper-level statistics textbooks) it is accessible to a wide audience. However, the greatest factor behind the success of ESL has been its topical nature. At the time of its publication, interest in the feld of statistical learning was starting to explode. ESL provided one of the frst accessible and comprehensive introductions to the topic.
Since ESL was frst published, the feld of statistical learning has continued to fourish. The feld’s expansion has taken two forms. The most obvious growth has involved the development of new and improved statistical learning approaches aimed at answering a range of scientifc questions across a number of felds. However, the feld of statistical learning has also expanded its audience. In the 1990s, increases in computational power generated a surge of interest in the feld from non-statisticians who were eager to use cutting-edge statistical tools to analyze their data. Unfortunately, the highly technical nature of these approaches meant that the user community remained primarily restricted to experts in statistics, computer science, and related felds with the training (and time) to understand and implement them.
In recent years, new and improved software packages have signifcantly eased the implementation burden for many statistical learning methods. At the same time, there has been growing recognition across a number of felds, from business to health care to genetics to the social sciences and beyond, that statistical learning is a powerful tool with important practical applications. As a result, the feld has moved from one of primarily academic interest to a mainstream discipline, with an enormous potential audience. This trend will surely continue with the increasing availability of enormous quantities of data and the software to analyze it.
The purpose of An Introduction to Statistical Learning (ISL) is to facilitate the transition of statistical learning from an academic to a mainstream feld. ISL is not intended to replace ESL, which is a far more comprehensive text both in terms of the number of approaches considered and the depth to which they are explored. We consider ESL to be an important companion for professionals (with graduate degrees in statistics, machine learning, or related felds) who need to understand the technical details behind statistical learning approaches. However, the community of users of statistical learning techniques has expanded to include individuals with a wider range of interests and backgrounds. Therefore, there is a place for a less technical and more accessible version of ESL.
In teaching these topics over the years, we have discovered that they are of interest to master’s and PhD students in felds as disparate as business administration, biology, and computer science, as well as to quantitativelyoriented upper-division undergraduates. It is important for this diverse group to be able to understand the models, intuitions, and strengths and weaknesses of the various approaches. But for this audience, many of the technical details behind statistical learning methods, such as optimization algorithms and theoretical properties, are not of primary interest. We believe that these students do not need a deep understanding of these aspects in order to become informed users of the various methodologies, and in order to contribute to their chosen felds through the use of statistical learning tools.
ISL is based on the following four premises.
- Many statistical learning methods are relevant and useful in a wide range of academic and non-academic disciplines, beyond just the statistical sciences. We believe that many contemporary statistical learning procedures should, and will, become as widely available and used as is currently the case for classical methods such as linear regression. As a result, rather than attempting to consider every possible approach (an impossible task), we have concentrated on presenting the methods that we believe are most widely applicable.
- Statistical learning should not be viewed as a series of black boxes. No single approach will perform well in all possible applications. Without understanding all of the cogs inside the box, or the interaction between those cogs, it is impossible to select the best box. Hence, we have attempted to carefully describe the model, intuition, assumptions, and trade-ofs behind each of the methods that we consider.
- While it is important to know what job is performed by each cog, it is not necessary to have the skills to construct the machine inside the box! Thus, we have minimized discussion of technical details related to ftting procedures and theoretical properties. We assume that the reader is comfortable with basic mathematical concepts, but we do not assume a graduate degree in the mathematical sciences. For instance, we have almost completely avoided the use of matrix algebra, and it is possible to understand the entire book without a detailed knowledge of matrices and vectors.
- We presume that the reader is interested in applying statistical learning methods to real-world problems. In order to facilitate this, as well as to motivate the techniques discussed, we have devoted a section within each chapter to computer labs. In each lab, we walk the reader through a realistic application of the methods considered in that chapter. When we have taught this material in our courses, we have allocated roughly one-third of classroom time to working through the labs, and we have found them to be extremely useful. Many of the less computationally-oriented students who were initially intimidated by the labs got the hang of things over the course of the quarter or semester. This book originally appeared (2013, second edition 2021) with computer labs written in the R language. Since then, there has been increasing demand for Python implementations of the important techniques in statistical learning. Consequently, this version has labs in Python. There are a rapidly growing number of Python packages available, and by examination of the imports at the beginning of each lab, readers will see that we have carefully selected and used the most appropriate. We have also supplied some additional code and functionality in our package ISLP. However, the labs in ISL are selfcontained, and can be skipped if the reader wishes to use a diferent software package or does not wish to apply the methods discussed to real-world problems.
Who Should Read This Book?
This book is intended for anyone who is interested in using modern statistical methods for modeling and prediction from data. This group includes scientists, engineers, data analysts, data scientists, and quants, but also less technical individuals with degrees in non-quantitative felds such as the social sciences or business. We expect that the reader will have had at least one elementary course in statistics. Background in linear regression is also useful, though not required, since we review the key concepts behind linear regression in Chapter 3. The mathematical level of this book is modest, and a detailed knowledge of matrix operations is not required. This book provides an introduction to Python. Previous exposure to a programming language, such as MATLAB or R, is useful but not required.
The frst edition of this textbook has been used to teach master’s and PhD students in business, economics, computer science, biology, earth sciences, psychology, and many other areas of the physical and social sciences. It has also been used to teach advanced undergraduates who have already taken a course on linear regression. In the context of a more mathematically rigorous course in which ESL serves as the primary textbook, ISL could be used as a supplementary text for teaching computational aspects of the various approaches.
Notation and Simple Matrix Algebra
Choosing notation for a textbook is always a difcult task. For the most part we adopt the same notational conventions as ESL.
We will use n to represent the number of distinct data points, or observations, in our sample. We will let p denote the number of variables that are available for use in making predictions. For example, the Wage data set consists of 11 variables for 3,000 people, so we have n = 3,000 observations and p = 11 variables (such as year, age, race, and more). Note that throughout this book, we indicate variable names using colored font: Variable Name.
In some examples, p might be quite large, such as on the order of thousands or even millions; this situation arises quite often, for example, in the analysis of modern biological data or web-based advertising data.
In general, we will let xij represent the value of the jth variable for the ith observation, where i = 1, 2,…,n and j = 1, 2,…,p. Throughout this book, i will be used to index the samples or observations (from 1 to n) and j will be used to index the variables (from 1 to p). We let X denote an n × p matrix whose (i, j)th element is xij . That is,
\[ \mathbf{X} = \begin{pmatrix} x_{11} & x_{12} & \dots & x_{1p} \\ x_{21} & x_{22} & \dots & x_{2p} \\ \vdots & \vdots & \ddots & \vdots \\ x_{n1} & x_{n2} & \dots & x_{np} \end{pmatrix}. \]
For readers who are unfamiliar with matrices, it is useful to visualize X as a spreadsheet of numbers with n rows and p columns.
At times we will be interested in the rows of X, which we write as x1, x2,…,xn. Here xi is a vector of length p, containing the p variable measurements for the ith observation. That is,
\[ x_i = \begin{pmatrix} x_{i1} \\ x_{i2} \\ \vdots \\ x_{ip} \end{pmatrix} . \tag{1.1} \]
(Vectors are by default represented as columns.) For example, for the Wage data, xi is a vector of length 11, consisting of year, age, race, and other values for the ith individual. At other times we will instead be interested in the columns of X, which we write as x1, x2,…, xp. Each is a vector of length n. That is,
\[ \mathbf{x}_j = \begin{pmatrix} x_{1j} \\ x_{2j} \\ \vdots \\ x_{nj} \end{pmatrix}. \]
For example, for the Wage data, x1 contains the n = 3,000 values for year.
Using this notation, the matrix X can be written as
\[ \mathbf{X} = \begin{pmatrix} \mathbf{x}_1 & \mathbf{x}_2 & \cdots & \mathbf{x}_p \end{pmatrix}, \]
or
\[ \mathbf{X} = \begin{pmatrix} x_1^T \\ x_2^T \\ \vdots \\ x_n^T \end{pmatrix}. \]
The T notation denotes the transpose of a matrix or vector. So, for example,
\[ \mathbf{X}^T = \begin{pmatrix} x_{11} & x_{21} & \dots & x_{n1} \\ x_{12} & x_{22} & \dots & x_{n2} \\ \vdots & \vdots & & \vdots \\ x_{1p} & x_{2p} & \dots & x_{np} \end{pmatrix}, \]
while
\[ x_i^T = \begin{pmatrix} x_{i1} & x_{i2} & \cdots & x_{ip} \end{pmatrix}. \]
We use yi to denote the ith observation of the variable on which we wish to make predictions, such as wage. Hence, we write the set of all n observations in vector form as
\[ \mathbf{y} = \begin{pmatrix} y_1 \\ y_2 \\ \vdots \\ y_n \end{pmatrix}. \]
Then our observed data consists of {(x1, y1),(x2, y2),…,(xn, yn)}, where each xi is a vector of length p. (If p = 1, then xi is simply a scalar.)
In this text, a vector of length n will always be denoted in lower case bold; e.g.
\[ \mathbf{a} = \begin{pmatrix} a_1 \\ a_2 \\ \vdots \\ a_n \end{pmatrix}. \]
However, vectors that are not of length n (such as feature vectors of length p, as in (1.1)) will be denoted in lower case normal font, e.g. a. Scalars will also be denoted in lower case normal font, e.g. a. In the rare cases in which these two uses for lower case normal font lead to ambiguity, we will clarify which use is intended. Matrices will be denoted using bold capitals, such as A. Random variables will be denoted using capital normal font, e.g. A, regardless of their dimensions.
Occasionally we will want to indicate the dimension of a particular object. To indicate that an object is a scalar, we will use the notation a ∈ R. To indicate that it is a vector of length k, we will use a ∈ Rk (or a ∈ Rn if it is of length n). We will indicate that an object is an r × s matrix using A ∈ Rr×s.
We have avoided using matrix algebra whenever possible. However, in a few instances it becomes too cumbersome to avoid it entirely. In these rare instances it is important to understand the concept of multiplying two matrices. Suppose that A ∈ Rr×d and B ∈ Rd×s. Then the product of A and B is denoted AB. The (i, j)th element of AB is computed by multiplying each element of the ith row of A by the corresponding element of the jth column of B. That is, (AB)ij = )d k=1 aikbkj . As an example, consider
\[ \mathbf{A} = \begin{pmatrix} 1 & 2 \\ 3 & 4 \end{pmatrix} \quad \text{and} \quad \mathbf{B} = \begin{pmatrix} 5 & 6 \\ 7 & 8 \end{pmatrix}. \]
Then
\[ \mathbf{AB} = \begin{pmatrix} 1 & 2 \\ 3 & 4 \end{pmatrix} \begin{pmatrix} 5 & 6 \\ 7 & 8 \end{pmatrix} = \begin{pmatrix} 1 \times 5 + 2 \times 7 & 1 \times 6 + 2 \times 8 \\ 3 \times 5 + 4 \times 7 & 3 \times 6 + 4 \times 8 \end{pmatrix} = \begin{pmatrix} 19 & 22 \\ 43 & 50 \end{pmatrix}. \]
Note that this operation produces an r × s matrix. It is only possible to compute AB if the number of columns of A is the same as the number of rows of B.
Organization of This Book
Chapter 2 introduces the basic terminology and concepts behind statistical learning. This chapter also presents the K-nearest neighbor classifer, a very simple method that works surprisingly well on many problems. Chapters 3 and 4 cover classical linear methods for regression and classifcation. In particular, Chapter 3 reviews linear regression, the fundamental starting point for all regression methods. In Chapter 4 we discuss two of the most important classical classifcation methods, logistic regression and linear discriminant analysis.
A central problem in all statistical learning situations involves choosing the best method for a given application. Hence, in Chapter 5 we introduce cross-validation and the bootstrap, which can be used to estimate the accuracy of a number of diferent methods in order to choose the best one.
Much of the recent research in statistical learning has concentrated on non-linear methods. However, linear methods often have advantages over their non-linear competitors in terms of interpretability and sometimes also accuracy. Hence, in Chapter 6 we consider a host of linear methods, both classical and more modern, which ofer potential improvements over standard linear regression. These include stepwise selection, ridge regression, principal components regression, and the lasso.
The remaining chapters move into the world of non-linear statistical learning. We frst introduce in Chapter 7 a number of non-linear methods that work well for problems with a single input variable. We then show how these methods can be used to ft non-linear additive models for which there is more than one input. In Chapter 8, we investigate tree-based methods, including bagging, boosting, and random forests. Support vector machines, a set of approaches for performing both linear and non-linear classifcation, are discussed in Chapter 9. We cover deep learning, an approach for non-linear regression and classifcation that has received a lot of attention in recent years, in Chapter 10. Chapter 11 explores survival analysis, a regression approach that is specialized to the setting in which the output variable is censored, i.e. not fully observed.
In Chapter 12, we consider the unsupervised setting in which we have input variables but no output variable. In particular, we present principal components analysis, K-means clustering, and hierarchical clustering. Finally, in Chapter 13 we cover the very important topic of multiple hypothesis testing.
At the end of each chapter, we present one or more Python lab sections in which we systematically work through applications of the various methods discussed in that chapter. These labs demonstrate the strengths and weaknesses of the various approaches, and also provide a useful reference for the syntax required to implement the various methods. The reader may choose to work through the labs at their own pace, or the labs may be the focus of group sessions as part of a classroom environment. Within each Python lab, we present the results that we obtained when we performed the lab at the time of writing this book. However, new versions of Python are continuously released, and over time, the packages called in the labs will be updated. Therefore, in the future, it is possible that the results shown in
| Name | Description | |||
|---|---|---|---|---|
| Auto | Gas mileage, horsepower, and other information for cars. | |||
| Bikeshare | Hourly usage of a bike sharing program in Washington, DC. | |||
| Boston | Housing values and other information about Boston census tracts. | |||
| BrainCancer | Survival times for patients diagnosed with brain cancer. | |||
| Caravan | Information about individuals ofered caravan insurance. | |||
| Carseats | Information about car seat sales in 400 stores. | |||
| College | Demographic characteristics, tuition, and more for USA colleges. | |||
| Credit | Information about credit card debt for 400 customers. | |||
| Default | Customer default records for a credit card company. | |||
| Fund | Returns of 2,000 hedge fund managers over 50 months. | |||
| Hitters | Records and salaries for baseball players. | |||
| Khan | Gene expression measurements for four cancer types. | |||
| NCI60 | Gene expression measurements for 64 cancer cell lines. | |||
| NYSE | Returns, volatility, and volume for the New York Stock Exchange. | |||
| OJ | Sales information for Citrus Hill and Minute Maid orange juice. | |||
| Portfolio | Past values of fnancial assets, for use in portfolio allocation. | |||
| Publication | Time to publication for 244 clinical trials. | |||
| Smarket | Daily percentage returns for S&P 500 over a 5-year period. | |||
| USArrests | Crime statistics per 100,000 residents in 50 states of USA. | |||
| Wage | Income survey data for men in central Atlantic region of USA. | |||
| Weekly | 1,089 weekly stock market returns for 21 years. |
TABLE 1.1. A list of data sets needed to perform the labs and exercises in this textbook. All data sets are available in the ISLP package, with the exception of USArrests, which is part of the base R distribution, but accessible from Python.
the lab sections may no longer correspond precisely to the results obtained by the reader who performs the labs. As necessary, we will post updates to the labs on the book website.
We use the symbol to denote sections or exercises that contain more challenging concepts. These can be easily skipped by readers who do not wish to delve as deeply into the material, or who lack the mathematical background.
Data Sets Used in Labs and Exercises
In this textbook, we illustrate statistical learning methods using applications from marketing, fnance, biology, and other areas. The ISLP package contains a number of data sets that are required in order to perform the labs and exercises associated with this book. One other data set is part of the base R distribution (the USArrests data), and we show how to access it from Python in Section 12.5.1. Table 1.1 contains a summary of the data sets required to perform the labs and exercises. A couple of these data sets are also available as text fles on the book website, for use in Chapter 2.
Book Website
The website for this book is located at
It contains a number of resources, including the Python package associated with this book, and some additional data sets.
Acknowledgements
A few of the plots in this book were taken from ESL: Figures 6.7, 8.3, and 12.14. All other plots were produced for the R version of ISL, except for Figure 13.10 which difers because of the Python software supporting the plot.
2 Statistical Learning

2.1 What Is Statistical Learning?
In order to motivate our study of statistical learning, we begin with a simple example. Suppose that we are statistical consultants hired by a client to investigate the association between advertising and sales of a particular product. The Advertising data set consists of the sales of that product in 200 diferent markets, along with advertising budgets for the product in each of those markets for three diferent media: TV, radio, and newspaper. The data are displayed in Figure 2.1. It is not possible for our client to directly increase sales of the product. On the other hand, they can control the advertising expenditure in each of the three media. Therefore, if we determine that there is an association between advertising and sales, then we can instruct our client to adjust advertising budgets, thereby indirectly increasing sales. In other words, our goal is to develop an accurate model that can be used to predict sales on the basis of the three media budgets.
In this setting, the advertising budgets are input variables while sales input variable is an output variable. The input variables are typically denoted using the symbol X, with a subscript to distinguish them. So X1 might be the TV budget, X2 the radio budget, and X3 the newspaper budget. The inputs go by diferent names, such as predictors, independent variables, features, predictor or sometimes just variables. The output variable—in this case, sales—is often called the response or dependent variable, and is typically denoted using the symbol Y . Throughout this book, we will use all of these terms interchangeably.
output variable
independent variable feature variable response dependent variable
More generally, suppose that we observe a quantitative response Y and p diferent predictors, X1, X2,…,Xp. We assume that there is some relationship between Y and X = (X1, X2,…,Xp), which can be written in the very general form
\[ Y = f(X) + \epsilon. \tag{2.1} \]
15
© Springer Nature Switzerland AG 2023
G. James et al., An Introduction to Statistical Learning, Springer Texts in Statistics, https://doi.org/10.1007/978-3-031-38747-0\_2

FIGURE 2.1. The Advertising data set. The plot displays sales, in thousands of units, as a function of TV, radio, and newspaper budgets, in thousands of dollars, for 200 diferent markets. In each plot we show the simple least squares ft of sales to that variable, as described in Chapter 3. In other words, each blue line represents a simple model that can be used to predict sales using TV, radio, and newspaper, respectively.
Here f is some fxed but unknown function of X1,…,Xp, and ” is a random error term, which is independent of X and has mean zero. In this formula- error term tion, f represents the systematic information that X provides about Y . systematic

FIGURE 2.2. The Income data set. Left: The red dots are the observed values of income (in thousands of dollars) and years of education for 30 individuals. Right: The blue curve represents the true underlying relationship between income and years of education, which is generally unknown (but is known in this case because the data were simulated). The black lines represent the error associated with each observation. Note that some errors are positive (if an observation lies above the blue curve) and some are negative (if an observation lies below the curve). Overall, these errors have approximately mean zero.
As another example, consider the left-hand panel of Figure 2.2, a plot of income versus years of education for 30 individuals in the Income data set. The plot suggests that one might be able to predict income using years of education. However, the function f that connects the input variable to the output variable is in general unknown. In this situation one must estimate f based on the observed points. Since Income is a simulated data set, f is known and is shown by the blue curve in the right-hand panel of Figure 2.2. The vertical lines represent the error terms “. We note that some of the 30 observations lie above the blue curve and some lie below it; overall, the errors have approximately mean zero.
In general, the function f may involve more than one input variable. In Figure 2.3 we plot income as a function of years of education and seniority. Here f is a two-dimensional surface that must be estimated based on the observed data.
In essence, statistical learning refers to a set of approaches for estimating f. In this chapter we outline some of the key theoretical concepts that arise in estimating f, as well as tools for evaluating the estimates obtained.
2.1.1 Why Estimate f?
There are two main reasons that we may wish to estimate f: prediction and inference. We discuss each in turn.
Prediction
In many situations, a set of inputs X are readily available, but the output Y cannot be easily obtained. In this setting, since the error term averages to zero, we can predict Y using
\[ \hat{Y} = \hat{f}(X),\tag{2.2} \]
where ˆf represents our estimate for f, and Yˆ represents the resulting prediction for Y . In this setting, ˆf is often treated as a black box, in the sense that one is not typically concerned with the exact form of ˆf, provided that it yields accurate predictions for Y .
As an example, suppose that X1,…,Xp are characteristics of a patient’s blood sample that can be easily measured in a lab, and Y is a variable encoding the patient’s risk for a severe adverse reaction to a particular drug. It is natural to seek to predict Y using X, since we can then avoid giving the drug in question to patients who are at high risk of an adverse reaction—that is, patients for whom the estimate of Y is high.
The accuracy of Yˆ as a prediction for Y depends on two quantities, which we will call the reducible error and the irreducible error. In general, reducible ˆf will not be a perfect estimate for f, and this inaccuracy will introduce some error. This error is reducible because we can potentially improve the accuracy of ˆf by using the most appropriate statistical learning technique to estimate f. However, even if it were possible to form a perfect estimate for f, so that our estimated response took the form Yˆ = f(X), our prediction would still have some error in it! This is because Y is also a function of “, which, by defnition, cannot be predicted using X. Therefore, variability associated with” also afects the accuracy of our predictions. This is known as the irreducible error, because no matter how well we estimate f, we cannot reduce the error introduced by “.
Why is the irreducible error larger than zero? The quantity ” may contain unmeasured variables that are useful in predicting Y : since we don’t
error irreducible error

FIGURE 2.3. The plot displays income as a function of years of education and seniority in the Income data set. The blue surface represents the true underlying relationship between income and years of education and seniority, which is known since the data are simulated. The red dots indicate the observed values of these quantities for 30 individuals.
measure them, f cannot use them for its prediction. The quantity ” may also contain unmeasurable variation. For example, the risk of an adverse reaction might vary for a given patient on a given day, depending on manufacturing variation in the drug itself or the patient’s general feeling of well-being on that day.
Consider a given estimate ˆf and a set of predictors X, which yields the prediction Yˆ = ˆf(X). Assume for a moment that both ˆf and X are fxed, so that the only variability comes from “. Then, it is easy to show that
\[ E(Y - \hat{Y})^2 = E[f(X) + \epsilon - \hat{f}(X)]^2 \]
= \[ \underbrace{[f(X) - \hat{f}(X)]^2}_{\text{Reducible}} + \underbrace{\text{Var}(\epsilon)}_{\text{Irreducible}}, \] (2.3)
where E(Y − Yˆ )2 represents the average, or expected value, of the squared expected value diference between the predicted and actual value of Y , and Var(“) repre-
sents the variance associated with the error term “. variance The focus of this book is on techniques for estimating f with the aim of minimizing the reducible error. It is important to keep in mind that the irreducible error will always provide an upper bound on the accuracy of our prediction for Y . This bound is almost always unknown in practice.
Inference
We are often interested in understanding the association between Y and X1,…,Xp. In this situation we wish to estimate f, but our goal is not necessarily to make predictions for Y . Now ˆf cannot be treated as a black box, because we need to know its exact form. In this setting, one may be interested in answering the following questions:
- Which predictors are associated with the response? It is often the case that only a small fraction of the available predictors are substantially associated with Y . Identifying the few important predictors among a large set of possible variables can be extremely useful, depending on the application.
- What is the relationship between the response and each predictor? Some predictors may have a positive relationship with Y , in the sense that larger values of the predictor are associated with larger values of Y . Other predictors may have the opposite relationship. Depending on the complexity of f, the relationship between the response and a given predictor may also depend on the values of the other predictors.
- Can the relationship between Y and each predictor be adequately summarized using a linear equation, or is the relationship more complicated? Historically, most methods for estimating f have taken a linear form. In some situations, such an assumption is reasonable or even desirable. But often the true relationship is more complicated, in which case a linear model may not provide an accurate representation of the relationship between the input and output variables.
In this book, we will see a number of examples that fall into the prediction setting, the inference setting, or a combination of the two.
For instance, consider a company that is interested in conducting a direct-marketing campaign. The goal is to identify individuals who are likely to respond positively to a mailing, based on observations of demographic variables measured on each individual. In this case, the demographic variables serve as predictors, and response to the marketing campaign (either positive or negative) serves as the outcome. The company is not interested in obtaining a deep understanding of the relationships between each individual predictor and the response; instead, the company simply wants to accurately predict the response using the predictors. This is an example of modeling for prediction.
In contrast, consider the Advertising data illustrated in Figure 2.1. One may be interested in answering questions such as:
- Which media are associated with sales?
- Which media generate the biggest boost in sales? or
- How large of an increase in sales is associated with a given increase in TV advertising?
This situation falls into the inference paradigm. Another example involves modeling the brand of a product that a customer might purchase based on variables such as price, store location, discount levels, competition price, and so forth. In this situation one might really be most interested in the association between each variable and the probability of purchase. For instance, to what extent is the product’s price associated with sales? This is an example of modeling for inference.
Finally, some modeling could be conducted both for prediction and inference. For example, in a real estate setting, one may seek to relate values of homes to inputs such as crime rate, zoning, distance from a river, air quality, schools, income level of community, size of houses, and so forth. In this case one might be interested in the association between each individual input variable and housing price—for instance, how much extra will a house be worth if it has a view of the river? This is an inference problem. Alternatively, one may simply be interested in predicting the value of a home given its characteristics: is this house under- or over-valued? This is a prediction problem.
Depending on whether our ultimate goal is prediction, inference, or a combination of the two, diferent methods for estimating f may be appropriate. For example, linear models allow for relatively simple and in- linear model terpretable inference, but may not yield as accurate predictions as some other approaches. In contrast, some of the highly non-linear approaches that we discuss in the later chapters of this book can potentially provide quite accurate predictions for Y , but this comes at the expense of a less interpretable model for which inference is more challenging.
2.1.2 How Do We Estimate f?
Throughout this book, we explore many linear and non-linear approaches for estimating f. However, these methods generally share certain characteristics. We provide an overview of these shared characteristics in this section. We will always assume that we have observed a set of n diferent data points. For example in Figure 2.2 we observed n = 30 data points. These observations are called the training data because we will use these training data observations to train, or teach, our method how to estimate f. Let xij represent the value of the jth predictor, or input, for observation i, where i = 1, 2,…,n and j = 1, 2,…,p. Correspondingly, let yi represent the response variable for the ith observation. Then our training data consist of {(x1, y1),(x2, y2),…,(xn, yn)} where xi = (xi1, xi2,…,xip)T .
Our goal is to apply a statistical learning method to the training data in order to estimate the unknown function f. In other words, we want to fnd a function ˆf such that Y ≈ ˆf(X) for any observation (X, Y ). Broadly speaking, most statistical learning methods for this task can be characterized as either parametric or non-parametric. We now briefy discuss these parametric two types of approaches.
nonparametric
Parametric Methods
Parametric methods involve a two-step model-based approach.
- First, we make an assumption about the functional form, or shape, of f. For example, one very simple assumption is that f is linear in X:
\[ f(X) = \beta_0 + \beta_1 X_1 + \beta_2 X_2 + \dots + \beta_p X_p. \] (2.4)
This is a linear model, which will be discussed extensively in Chapter 3. Once we have assumed that f is linear, the problem of estimating f is greatly simplifed. Instead of having to estimate an entirely arbitrary p-dimensional function f(X), one only needs to estimate the p + 1 coefcients β0, β1,…, βp.

FIGURE 2.4. A linear model ft by least squares to the Income data from Figure 2.3. The observations are shown in red, and the yellow plane indicates the least squares ft to the data.
- After a model has been selected, we need a procedure that uses the training data to ft or train the model. In the case of the linear model ft train (2.4), we need to estimate the parameters β0, β1,…, βp. That is, we want to fnd values of these parameters such that
\[ Y \approx \beta_0 + \beta_1 X_1 + \beta_2 X_2 + \dots + \beta_p X_p. \]
The most common approach to ftting the model (2.4) is referred to as (ordinary) least squares, which we discuss in Chapter 3. However, least squares least squares is one of many possible ways to ft the linear model. In Chapter 6, we discuss other approaches for estimating the parameters in (2.4).
The model-based approach just described is referred to as parametric; it reduces the problem of estimating f down to one of estimating a set of parameters. Assuming a parametric form for f simplifes the problem of estimating f because it is generally much easier to estimate a set of parameters, such as β0, β1,…, βp in the linear model (2.4), than it is to ft an entirely arbitrary function f. The potential disadvantage of a parametric approach is that the model we choose will usually not match the true unknown form of f. If the chosen model is too far from the true f, then our estimate will be poor. We can try to address this problem by choosing fexible models that can ft many diferent possible functional forms fexible for f. But in general, ftting a more fexible model requires estimating a greater number of parameters. These more complex models can lead to a phenomenon known as overftting the data, which essentially means they overftting follow the errors, or noise, too closely. These issues are discussed through- noise out this book.
Figure 2.4 shows an example of the parametric approach applied to the Income data from Figure 2.3. We have ft a linear model of the form
income ≈ β0 + β1 × education + β2 × seniority.

FIGURE 2.5. A smooth thin-plate spline ft to the Income data from Figure 2.3 is shown in yellow; the observations are displayed in red. Splines are discussed in Chapter 7.
Since we have assumed a linear relationship between the response and the two predictors, the entire ftting problem reduces to estimating β0, β1, and β2, which we do using least squares linear regression. Comparing Figure 2.3 to Figure 2.4, we can see that the linear ft given in Figure 2.4 is not quite right: the true f has some curvature that is not captured in the linear ft. However, the linear ft still appears to do a reasonable job of capturing the positive relationship between years of education and income, as well as the slightly less positive relationship between seniority and income. It may be that with such a small number of observations, this is the best we can do.
Non-Parametric Methods
Non-parametric methods do not make explicit assumptions about the functional form of f. Instead they seek an estimate of f that gets as close to the data points as possible without being too rough or wiggly. Such approaches can have a major advantage over parametric approaches: by avoiding the assumption of a particular functional form for f, they have the potential to accurately ft a wider range of possible shapes for f. Any parametric approach brings with it the possibility that the functional form used to estimate f is very diferent from the true f, in which case the resulting model will not ft the data well. In contrast, non-parametric approaches completely avoid this danger, since essentially no assumption about the form of f is made. But non-parametric approaches do sufer from a major disadvantage: since they do not reduce the problem of estimating f to a small number of parameters, a very large number of observations (far more than is typically needed for a parametric approach) is required in order to obtain an accurate estimate for f.
An example of a non-parametric approach to ftting the Income data is shown in Figure 2.5. A thin-plate spline is used to estimate f. This ap- thin-plate spline proach does not impose any pre-specifed model on f. It instead attempts

FIGURE 2.6. A rough thin-plate spline ft to the Income data from Figure 2.3. This ft makes zero errors on the training data.
to produce an estimate for f that is as close as possible to the observed data, subject to the ft—that is, the yellow surface in Figure 2.5—being smooth. In this case, the non-parametric ft has produced a remarkably accurate estimate of the true f shown in Figure 2.3. In order to ft a thin-plate spline, the data analyst must select a level of smoothness. Figure 2.6 shows the same thin-plate spline ft using a lower level of smoothness, allowing for a rougher ft. The resulting estimate fts the observed data perfectly! However, the spline ft shown in Figure 2.6 is far more variable than the true function f, from Figure 2.3. This is an example of overftting the data, which we discussed previously. It is an undesirable situation because the ft obtained will not yield accurate estimates of the response on new observations that were not part of the original training data set. We discuss methods for choosing the correct amount of smoothness in Chapter 5. Splines are discussed in Chapter 7.
As we have seen, there are advantages and disadvantages to parametric and non-parametric methods for statistical learning. We explore both types of methods throughout this book.
2.1.3 The Trade-Of Between Prediction Accuracy and Model Interpretability
Of the many methods that we examine in this book, some are less fexible, or more restrictive, in the sense that they can produce just a relatively small range of shapes to estimate f. For example, linear regression is a relatively infexible approach, because it can only generate linear functions such as the lines shown in Figure 2.1 or the plane shown in Figure 2.4. Other methods, such as the thin plate splines shown in Figures 2.5 and 2.6, are considerably more fexible because they can generate a much wider range of possible shapes to estimate f.

FIGURE 2.7. A representation of the tradeof between fexibility and interpretability, using diferent statistical learning methods. In general, as the fexibility of a method increases, its interpretability decreases.
One might reasonably ask the following question: why would we ever choose to use a more restrictive method instead of a very fexible approach? There are several reasons that we might prefer a more restrictive model. If we are mainly interested in inference, then restrictive models are much more interpretable. For instance, when inference is the goal, the linear model may be a good choice since it will be quite easy to understand the relationship between Y and X1, X2,…,Xp. In contrast, very fexible approaches, such as the splines discussed in Chapter 7 and displayed in Figures 2.5 and 2.6, and the boosting methods discussed in Chapter 8, can lead to such complicated estimates of f that it is difcult to understand how any individual predictor is associated with the response.
Figure 2.7 provides an illustration of the trade-of between fexibility and interpretability for some of the methods that we cover in this book. Least squares linear regression, discussed in Chapter 3, is relatively infexible but is quite interpretable. The lasso, discussed in Chapter 6, relies upon the lasso linear model (2.4) but uses an alternative ftting procedure for estimating the coefcients β0, β1,…, βp. The new procedure is more restrictive in estimating the coefcients, and sets a number of them to exactly zero. Hence in this sense the lasso is a less fexible approach than linear regression. It is also more interpretable than linear regression, because in the fnal model the response variable will only be related to a small subset of the predictors—namely, those with nonzero coefcient estimates. Generalized additive models (GAMs), discussed in Chapter 7, instead extend the lin- generalized ear model (2.4) to allow for certain non-linear relationships. Consequently, GAMs are more fexible than linear regression. They are also somewhat less interpretable than linear regression, because the relationship between each predictor and the response is now modeled using a curve. Finally, fully non-linear methods such as bagging, boosting, support vector machines bagging boosting with non-linear kernels, and neural networks (deep learning), discussed in Chapters 8, 9, and 10, are highly fexible approaches that are harder to interpret.
additive model
support vector machine
We have established that when inference is the goal, there are clear advantages to using simple and relatively infexible statistical learning methods. In some settings, however, we are only interested in prediction, and the interpretability of the predictive model is simply not of interest. For instance, if we seek to develop an algorithm to predict the price of a stock, our sole requirement for the algorithm is that it predict accurately interpretability is not a concern. In this setting, we might expect that it will be best to use the most fexible model available. Surprisingly, this is not always the case! We will often obtain more accurate predictions using a less fexible method. This phenomenon, which may seem counterintuitive at frst glance, has to do with the potential for overftting in highly fexible methods. We saw an example of overftting in Figure 2.6. We will discuss this very important concept further in Section 2.2 and throughout this book.
2.1.4 Supervised Versus Unsupervised Learning
Most statistical learning problems fall into one of two categories: supervised supervised or unsupervised. The examples that we have discussed so far in this chap- unsupervised ter all fall into the supervised learning domain. For each observation of the predictor measurement(s) xi, i = 1,…,n there is an associated response measurement yi. We wish to ft a model that relates the response to the predictors, with the aim of accurately predicting the response for future observations (prediction) or better understanding the relationship between the response and the predictors (inference). Many classical statistical learning methods such as linear regression and logistic regression (Chapter 4), as logistic well as more modern approaches such as GAM, boosting, and support vec- regression tor machines, operate in the supervised learning domain. The vast majority of this book is devoted to this setting.
By contrast, unsupervised learning describes the somewhat more challenging situation in which for every observation i = 1,…,n, we observe a vector of measurements xi but no associated response yi. It is not possible to ft a linear regression model, since there is no response variable to predict. In this setting, we are in some sense working blind; the situation is referred to as unsupervised because we lack a response variable that can supervise our analysis. What sort of statistical analysis is possible? We can seek to understand the relationships between the variables or between the observations. One statistical learning tool that we may use in this setting is cluster analysis, or clustering. The goal of cluster analysis cluster analysis is to ascertain, on the basis of x1,…,xn, whether the observations fall into relatively distinct groups. For example, in a market segmentation study we might observe multiple characteristics (variables) for potential customers, such as zip code, family income, and shopping habits. We might believe that the customers fall into diferent groups, such as big spenders versus low spenders. If the information about each customer’s spending patterns were available, then a supervised analysis would be possible. However, this information is not available—that is, we do not know whether each potential customer is a big spender or not. In this setting, we can try to cluster the customers on the basis of the variables measured, in order to identify

FIGURE 2.8. A clustering data set involving three groups. Each group is shown using a diferent colored symbol. Left: The three groups are well-separated. In this setting, a clustering approach should successfully identify the three groups. Right: There is some overlap among the groups. Now the clustering task is more challenging.
distinct groups of potential customers. Identifying such groups can be of interest because it might be that the groups difer with respect to some property of interest, such as spending habits.
Figure 2.8 provides a simple illustration of the clustering problem. We have plotted 150 observations with measurements on two variables, X1 and X2. Each observation corresponds to one of three distinct groups. For illustrative purposes, we have plotted the members of each group using diferent colors and symbols. However, in practice the group memberships are unknown, and the goal is to determine the group to which each observation belongs. In the left-hand panel of Figure 2.8, this is a relatively easy task because the groups are well-separated. By contrast, the right-hand panel illustrates a more challenging setting in which there is some overlap between the groups. A clustering method could not be expected to assign all of the overlapping points to their correct group (blue, green, or orange).
In the examples shown in Figure 2.8, there are only two variables, and so one can simply visually inspect the scatterplots of the observations in order to identify clusters. However, in practice, we often encounter data sets that contain many more than two variables. In this case, we cannot easily plot the observations. For instance, if there are p variables in our data set, then p(p − 1)/2 distinct scatterplots can be made, and visual inspection is simply not a viable way to identify clusters. For this reason, automated clustering methods are important. We discuss clustering and other unsupervised learning approaches in Chapter 12.
Many problems fall naturally into the supervised or unsupervised learning paradigms. However, sometimes the question of whether an analysis should be considered supervised or unsupervised is less clear-cut. For instance, suppose that we have a set of n observations. For m of the observations, where m<n, we have both predictor measurements and a response measurement. For the remaining n − m observations, we have predictor measurements but no response measurement. Such a scenario can arise if the predictors can be measured relatively cheaply but the corresponding responses are much more expensive to collect. We refer to this setting as a semi-supervised learning problem. In this setting, we wish to use a sta- semitistical learning method that can incorporate the m observations for which response measurements are available as well as the n − m observations for which they are not. Although this is an interesting topic, it is beyond the scope of this book.
supervised learning
2.1.5 Regression Versus Classifcation Problems
Variables can be characterized as either quantitative or qualitative (also quantitative qualitative known as categorical). Quantitative variables take on numerical values. Excategorical amples include a person’s age, height, or income, the value of a house, and the price of a stock. In contrast, qualitative variables take on values in one of K diferent classes, or categories. Examples of qualitative variables class include a person’s marital status (married or not), the brand of product purchased (brand A, B, or C), whether a person defaults on a debt (yes or no), or a cancer diagnosis (Acute Myelogenous Leukemia, Acute Lymphoblastic Leukemia, or No Leukemia). We tend to refer to problems with a quantitative response as regression problems, while those involving a regression qualitative response are often referred to as classifcation problems. How- classifcation ever, the distinction is not always that crisp. Least squares linear regression (Chapter 3) is used with a quantitative response, whereas logistic regression (Chapter 4) is typically used with a qualitative (two-class, or binary) re- binary sponse. Thus, despite its name, logistic regression is a classifcation method. But since it estimates class probabilities, it can be thought of as a regression method as well. Some statistical methods, such as K-nearest neighbors (Chapters 2 and 4) and boosting (Chapter 8), can be used in the case of either quantitative or qualitative responses.
We tend to select statistical learning methods on the basis of whether the response is quantitative or qualitative; i.e. we might use linear regression when quantitative and logistic regression when qualitative. However, whether the predictors are qualitative or quantitative is generally considered less important. Most of the statistical learning methods discussed in this book can be applied regardless of the predictor variable type, provided that any qualitative predictors are properly coded before the analysis is performed. This is discussed in Chapter 3.
2.2 Assessing Model Accuracy
One of the key aims of this book is to introduce the reader to a wide range of statistical learning methods that extend far beyond the standard linear regression approach. Why is it necessary to introduce so many diferent statistical learning approaches, rather than just a single best method? There is no free lunch in statistics: no one method dominates all others over all possible data sets. On a particular data set, one specifc method may work
best, but some other method may work better on a similar but diferent data set. Hence it is an important task to decide for any given set of data which method produces the best results. Selecting the best approach can be one of the most challenging parts of performing statistical learning in practice.
In this section, we discuss some of the most important concepts that arise in selecting a statistical learning procedure for a specifc data set. As the book progresses, we will explain how the concepts presented here can be applied in practice.
2.2.1 Measuring the Quality of Fit
In order to evaluate the performance of a statistical learning method on a given data set, we need some way to measure how well its predictions actually match the observed data. That is, we need to quantify the extent to which the predicted response value for a given observation is close to the true response value for that observation. In the regression setting, the most commonly-used measure is the mean squared error (MSE), given by mean
squared
MSE = \[ \frac{1}{n} \sum_{i=1}^{n} (y_i - \hat{f}(x_i))^2 \] , (2.5) error
where ˆf(xi) is the prediction that ˆf gives for the ith observation. The MSE will be small if the predicted responses are very close to the true responses, and will be large if for some of the observations, the predicted and true responses difer substantially.
The MSE in (2.5) is computed using the training data that was used to ft the model, and so should more accurately be referred to as the training MSE. But in general, we do not really care how well the method works training MSE on the training data. Rather, we are interested in the accuracy of the predictions that we obtain when we apply our method to previously unseen test data. Why is this what we care about? Suppose that we are interested test data in developing an algorithm to predict a stock’s price based on previous stock returns. We can train the method using stock returns from the past 6 months. But we don’t really care how well our method predicts last week’s stock price. We instead care about how well it will predict tomorrow’s price or next month’s price. On a similar note, suppose that we have clinical measurements (e.g. weight, blood pressure, height, age, family history of disease) for a number of patients, as well as information about whether each patient has diabetes. We can use these patients to train a statistical learning method to predict risk of diabetes based on clinical measurements. In practice, we want this method to accurately predict diabetes risk for future patients based on their clinical measurements. We are not very interested in whether or not the method accurately predicts diabetes risk for patients used to train the model, since we already know which of those patients have diabetes.
To state it more mathematically, suppose that we ft our statistical learning method on our training observations {(x1, y1),(x2, y2),…,(xn, yn)}, and we obtain the estimate ˆf. We can then compute ˆf(x1), ˆf(x2),…, ˆf(xn).

FIGURE 2.9. Left: Data simulated from f, shown in black. Three estimates of f are shown: the linear regression line (orange curve), and two smoothing spline fts (blue and green curves). Right: Training MSE (grey curve), test MSE (red curve), and minimum possible test MSE over all methods (dashed line). Squares represent the training and test MSEs for the three fts shown in the left-hand panel.
If these are approximately equal to y1, y2,…,yn, then the training MSE given by (2.5) is small. However, we are really not interested in whether ˆf(xi) ≈ yi; instead, we want to know whether ˆf(x0) is approximately equal to y0, where (x0, y0) is a previously unseen test observation not used to train the statistical learning method. We want to choose the method that gives the lowest test MSE, as opposed to the lowest training MSE. In other words, test MSE if we had a large number of test observations, we could compute
\[ Ave(y_0 - \hat{f}(x_0))^2, \tag{2.6} \]
the average squared prediction error for these test observations (x0, y0). We’d like to select the model for which this quantity is as small as possible.
How can we go about trying to select a method that minimizes the test MSE? In some settings, we may have a test data set available—that is, we may have access to a set of observations that were not used to train the statistical learning method. We can then simply evaluate (2.6) on the test observations, and select the learning method for which the test MSE is smallest. But what if no test observations are available? In that case, one might imagine simply selecting a statistical learning method that minimizes the training MSE (2.5). This seems like it might be a sensible approach, since the training MSE and the test MSE appear to be closely related. Unfortunately, there is a fundamental problem with this strategy: there is no guarantee that the method with the lowest training MSE will also have the lowest test MSE. Roughly speaking, the problem is that many statistical methods specifcally estimate coefcients so as to minimize the training set MSE. For these methods, the training set MSE can be quite small, but the test MSE is often much larger.
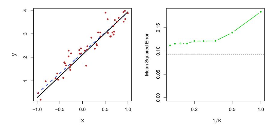
Figure 2.9 illustrates this phenomenon on a simple example. In the lefthand panel of Figure 2.9, we have generated observations from (2.1) with the true f given by the black curve. The orange, blue and green curves illustrate three possible estimates for f obtained using methods with increasing levels of fexibility. The orange line is the linear regression ft, which is relatively infexible. The blue and green curves were produced using smoothing splines, discussed in Chapter 7, with diferent levels of smoothness. It is smoothing spline clear that as the level of fexibility increases, the curves ft the observed data more closely. The green curve is the most fexible and matches the data very well; however, we observe that it fts the true f (shown in black) poorly because it is too wiggly. By adjusting the level of fexibility of the smoothing spline ft, we can produce many diferent fts to this data.
We now move on to the right-hand panel of Figure 2.9. The grey curve displays the average training MSE as a function of fexibility, or more formally the degrees of freedom, for a number of smoothing splines. The degrees of freedom degrees of freedom is a quantity that summarizes the fexibility of a curve; it is discussed more fully in Chapter 7. The orange, blue and green squares indicate the MSEs associated with the corresponding curves in the lefthand panel. A more restricted and hence smoother curve has fewer degrees of freedom than a wiggly curve—note that in Figure 2.9, linear regression is at the most restrictive end, with two degrees of freedom. The training MSE declines monotonically as fexibility increases. In this example the true f is non-linear, and so the orange linear ft is not fexible enough to estimate f well. The green curve has the lowest training MSE of all three methods, since it corresponds to the most fexible of the three curves ft in the left-hand panel.
In this example, we know the true function f, and so we can also compute the test MSE over a very large test set, as a function of fexibility. (Of course, in general f is unknown, so this will not be possible.) The test MSE is displayed using the red curve in the right-hand panel of Figure 2.9. As with the training MSE, the test MSE initially declines as the level of fexibility increases. However, at some point the test MSE levels of and then starts to increase again. Consequently, the orange and green curves both have high test MSE. The blue curve minimizes the test MSE, which should not be surprising given that visually it appears to estimate f the best in the left-hand panel of Figure 2.9. The horizontal dashed line indicates Var(“), the irreducible error in (2.3), which corresponds to the lowest achievable test MSE among all possible methods. Hence, the smoothing spline represented by the blue curve is close to optimal.
In the right-hand panel of Figure 2.9, as the fexibility of the statistical learning method increases, we observe a monotone decrease in the training MSE and a U-shape in the test MSE. This is a fundamental property of statistical learning that holds regardless of the particular data set at hand and regardless of the statistical method being used. As model fexibility increases, the training MSE will decrease, but the test MSE may not. When a given method yields a small training MSE but a large test MSE, we are said to be overftting the data. This happens because our statistical learning procedure is working too hard to fnd patterns in the training data, and may be picking up some patterns that are just caused by random chance rather than by true properties of the unknown function f. When we overft the training data, the test MSE will be very large because the supposed

FIGURE 2.10. Details are as in Figure 2.9, using a diferent true f that is much closer to linear. In this setting, linear regression provides a very good ft to the data.
patterns that the method found in the training data simply don’t exist in the test data. Note that regardless of whether or not overftting has occurred, we almost always expect the training MSE to be smaller than the test MSE because most statistical learning methods either directly or indirectly seek to minimize the training MSE. Overftting refers specifcally to the case in which a less fexible model would have yielded a smaller test MSE.
Figure 2.10 provides another example in which the true f is approximately linear. Again we observe that the training MSE decreases monotonically as the model fexibility increases, and that there is a U-shape in the test MSE. However, because the truth is close to linear, the test MSE only decreases slightly before increasing again, so that the orange least squares ft is substantially better than the highly fexible green curve. Finally, Figure 2.11 displays an example in which f is highly non-linear. The training and test MSE curves still exhibit the same general patterns, but now there is a rapid decrease in both curves before the test MSE starts to increase slowly.
In practice, one can usually compute the training MSE with relative ease, but estimating the test MSE is considerably more difcult because usually no test data are available. As the previous three examples illustrate, the fexibility level corresponding to the model with the minimal test MSE can vary considerably among data sets. Throughout this book, we discuss a variety of approaches that can be used in practice to estimate this minimum point. One important method is cross-validation (Chapter 5), which is a crossmethod for estimating the test MSE using the training data. validation
2.2.2 The Bias-Variance Trade-Of
The U-shape observed in the test MSE curves (Figures 2.9–2.11) turns out to be the result of two competing properties of statistical learning methods.

FIGURE 2.11. Details are as in Figure 2.9, using a diferent f that is far from linear. In this setting, linear regression provides a very poor ft to the data.
Though the mathematical proof is beyond the scope of this book, it is possible to show that the expected test MSE, for a given value x0, can always be decomposed into the sum of three fundamental quantities: the variance of ˆf(x0), the squared bias of ˆf(x0) and the variance of the error variance bias terms “. That is,
\[ E(y_0 - \hat{f}(x_0))^{2} = \text{Var}(\hat{f}(x_0)) + [\text{Bias}(\hat{f}(x_0))]^{2} + \text{Var}(\epsilon). \] (2.7)
Here the notation E 1 y0 − ˆf(x0) 22 defnes the expected test MSE at x0, expected and refers to the average test MSE that we would obtain if we repeatedly test MSE estimated f using a large number of training sets, and tested each at x0. The overall expected test MSE can be computed by averaging E 1 y0 − ˆf(x0) 22 over all possible values of x0 in the test set.
Equation 2.7 tells us that in order to minimize the expected test error, we need to select a statistical learning method that simultaneously achieves low variance and low bias. Note that variance is inherently a nonnegative quantity, and squared bias is also nonnegative. Hence, we see that the expected test MSE can never lie below Var(“), the irreducible error from (2.3).
What do we mean by the variance and bias of a statistical learning method? Variance refers to the amount by which ˆf would change if we estimated it using a diferent training data set. Since the training data are used to ft the statistical learning method, diferent training data sets will result in a diferent ˆf. But ideally the estimate for f should not vary too much between training sets. However, if a method has high variance then small changes in the training data can result in large changes in ˆf. In general, more fexible statistical methods have higher variance. Consider the green and orange curves in Figure 2.9. The fexible green curve is following the observations very closely. It has high variance because changing any one of these data points may cause the estimate ˆf to change considerably.

FIGURE 2.12. Squared bias (blue curve), variance (orange curve), Var(!) (dashed line), and test MSE (red curve) for the three data sets in Figures 2.9–2.11. The vertical dotted line indicates the fexibility level corresponding to the smallest test MSE.
In contrast, the orange least squares line is relatively infexible and has low variance, because moving any single observation will likely cause only a small shift in the position of the line.
On the other hand, bias refers to the error that is introduced by approximating a real-life problem, which may be extremely complicated, by a much simpler model. For example, linear regression assumes that there is a linear relationship between Y and X1, X2,…,Xp. It is unlikely that any real-life problem truly has such a simple linear relationship, and so performing linear regression will undoubtedly result in some bias in the estimate of f. In Figure 2.11, the true f is substantially non-linear, so no matter how many training observations we are given, it will not be possible to produce an accurate estimate using linear regression. In other words, linear regression results in high bias in this example. However, in Figure 2.10 the true f is very close to linear, and so given enough data, it should be possible for linear regression to produce an accurate estimate. Generally, more fexible methods result in less bias.
As a general rule, as we use more fexible methods, the variance will increase and the bias will decrease. The relative rate of change of these two quantities determines whether the test MSE increases or decreases. As we increase the fexibility of a class of methods, the bias tends to initially decrease faster than the variance increases. Consequently, the expected test MSE declines. However, at some point increasing fexibility has little impact on the bias but starts to signifcantly increase the variance. When this happens the test MSE increases. Note that we observed this pattern of decreasing test MSE followed by increasing test MSE in the right-hand panels of Figures 2.9–2.11.
The three plots in Figure 2.12 illustrate Equation 2.7 for the examples in Figures 2.9–2.11. In each case the blue solid curve represents the squared bias, for diferent levels of fexibility, while the orange curve corresponds to the variance. The horizontal dashed line represents Var(“), the irreducible error. Finally, the red curve, corresponding to the test set MSE, is the sum of these three quantities. In all three cases, the variance increases and the bias decreases as the method’s fexibility increases. However, the fexibility level corresponding to the optimal test MSE difers considerably among the three data sets, because the squared bias and variance change at diferent rates in each of the data sets. In the left-hand panel of Figure 2.12, the bias initially decreases rapidly, resulting in an initial sharp decrease in the expected test MSE. On the other hand, in the center panel of Figure 2.12 the true f is close to linear, so there is only a small decrease in bias as fexibility increases, and the test MSE only declines slightly before increasing rapidly as the variance increases. Finally, in the right-hand panel of Figure 2.12, as fexibility increases, there is a dramatic decline in bias because the true f is very non-linear. There is also very little increase in variance as fexibility increases. Consequently, the test MSE declines substantially before experiencing a small increase as model fexibility increases.
The relationship between bias, variance, and test set MSE given in Equation 2.7 and displayed in Figure 2.12 is referred to as the bias-variance trade-of. Good test set performance of a statistical learning method re- bias-variance trade-of quires low variance as well as low squared bias. This is referred to as a trade-of because it is easy to obtain a method with extremely low bias but high variance (for instance, by drawing a curve that passes through every single training observation) or a method with very low variance but high bias (by ftting a horizontal line to the data). The challenge lies in fnding a method for which both the variance and the squared bias are low. This trade-of is one of the most important recurring themes in this book.
In a real-life situation in which f is unobserved, it is generally not possible to explicitly compute the test MSE, bias, or variance for a statistical learning method. Nevertheless, one should always keep the bias-variance trade-of in mind. In this book we explore methods that are extremely fexible and hence can essentially eliminate bias. However, this does not guarantee that they will outperform a much simpler method such as linear regression. To take an extreme example, suppose that the true f is linear. In this situation linear regression will have no bias, making it very hard for a more fexible method to compete. In contrast, if the true f is highly non-linear and we have an ample number of training observations, then we may do better using a highly fexible approach, as in Figure 2.11. In Chapter 5 we discuss cross-validation, which is a way to estimate the test MSE using the training data.
2.2.3 The Classifcation Setting
Thus far, our discussion of model accuracy has been focused on the regression setting. But many of the concepts that we have encountered, such as the bias-variance trade-of, transfer over to the classifcation setting with only some modifcations due to the fact that yi is no longer quantitative. Suppose that we seek to estimate f on the basis of training observations {(x1, y1),…,(xn, yn)}, where now y1,…,yn are qualitative. The most common approach for quantifying the accuracy of our estimate ˆf is the training error rate, the proportion of mistakes that are made if we apply error rate
our estimate ˆf to the training observations:
\[ \frac{1}{n}\sum_{i=1}^{n} I(y_i \neq \hat{y}_i). \] (2.8)
Here yˆi is the predicted class label for the ith observation using ˆf. And I(yi %= ˆyi) is an indicator variable that equals 1 if yi %= ˆyi and zero if yi = ˆyi. indicator variable If I(yi %= ˆyi)=0 then the ith observation was classifed correctly by our classifcation method; otherwise it was misclassifed. Hence Equation 2.8 computes the fraction of incorrect classifcations.
Equation 2.8 is referred to as the training error rate because it is com- training error puted based on the data that was used to train our classifer. As in the regression setting, we are most interested in the error rates that result from applying our classifer to test observations that were not used in training. The test error rate associated with a set of test observations of the form test error (x0, y0) is given by
\[ Ave(I(y_0 \neq \hat{y}_0)), \qquad (2.9) \]
where yˆ0 is the predicted class label that results from applying the classifer to the test observation with predictor x0. A good classifer is one for which the test error (2.9) is smallest.
The Bayes Classifer
It is possible to show (though the proof is outside of the scope of this book) that the test error rate given in (2.9) is minimized, on average, by a very simple classifer that assigns each observation to the most likely class, given its predictor values. In other words, we should simply assign a test observation with predictor vector x0 to the class j for which
\[ \Pr(Y = j | X = x_0) \tag{2.10} \]
is largest. Note that (2.10) is a conditional probability: it is the probability conditional probability that Y = j, given the observed predictor vector x0. This very simple classifer is called the Bayes classifer. In a two-class problem where there are Bayes classifer only two possible response values, say class 1 or class 2, the Bayes classifer corresponds to predicting class one if Pr(Y = 1|X = x0) > 0.5, and class two otherwise.
Figure 2.13 provides an example using a simulated data set in a twodimensional space consisting of predictors X1 and X2. The orange and blue circles correspond to training observations that belong to two diferent classes. For each value of X1 and X2, there is a diferent probability of the response being orange or blue. Since this is simulated data, we know how the data were generated and we can calculate the conditional probabilities for each value of X1 and X2. The orange shaded region refects the set of points for which Pr(Y = orange|X) is greater than 50 %, while the blue shaded region indicates the set of points for which the probability is below 50 %. The purple dashed line represents the points where the probability is exactly 50 %. This is called the Bayes decision boundary. The Bayes Bayes classifer’s prediction is determined by the Bayes decision boundary; an observation that falls on the orange side of the boundary will be assigned
decision boundary

FIGURE 2.13. A simulated data set consisting of 100 observations in each of two groups, indicated in blue and in orange. The purple dashed line represents the Bayes decision boundary. The orange background grid indicates the region in which a test observation will be assigned to the orange class, and the blue background grid indicates the region in which a test observation will be assigned to the blue class.
to the orange class, and similarly an observation on the blue side of the boundary will be assigned to the blue class.
The Bayes classifer produces the lowest possible test error rate, called the Bayes error rate. Since the Bayes classifer will always choose the class Bayes error rate for which (2.10) is largest, the error rate will be 1−maxj Pr(Y = j|X = x0) at X = x0. In general, the overall Bayes error rate is given by
\[ 1 - E\left(\max_{j} \Pr(Y = j | X)\right),\tag{2.11} \]
where the expectation averages the probability over all possible values of X. For our simulated data, the Bayes error rate is 0.133. It is greater than zero, because the classes overlap in the true population, which implies that maxj Pr(Y = j|X = x0) < 1 for some values of x0. The Bayes error rate is analogous to the irreducible error, discussed earlier.
K-Nearest Neighbors
In theory we would always like to predict qualitative responses using the Bayes classifer. But for real data, we do not know the conditional distribution of Y given X, and so computing the Bayes classifer is impossible. Therefore, the Bayes classifer serves as an unattainable gold standard against which to compare other methods. Many approaches attempt to estimate the conditional distribution of Y given X, and then classify a given observation to the class with highest estimated probability. One such method is the K-nearest neighbors (KNN) classifer. Given a positive in- K-nearest
neighbors
teger K and a test observation x0, the KNN classifer frst identifes the K points in the training data that are closest to x0, represented by N0. It then estimates the conditional probability for class j as the fraction of points in N0 whose response values equal j:
\[ \Pr(Y = j | X = x_0) = \frac{1}{K} \sum_{i \in \mathcal{N}_0} I(y_i = j). \] (2.12)
Finally, KNN classifes the test observation x0 to the class with the largest probability from (2.12).
Figure 2.14 provides an illustrative example of the KNN approach. In the left-hand panel, we have plotted a small training data set consisting of six blue and six orange observations. Our goal is to make a prediction for the point labeled by the black cross. Suppose that we choose K = 3. Then KNN will frst identify the three observations that are closest to the cross. This neighborhood is shown as a circle. It consists of two blue points and one orange point, resulting in estimated probabilities of 2/3 for the blue class and 1/3 for the orange class. Hence KNN will predict that the black cross belongs to the blue class. In the right-hand panel of Figure 2.14 we have applied the KNN approach with K = 3 at all of the possible values for X1 and X2, and have drawn in the corresponding KNN decision boundary.
Despite the fact that it is a very simple approach, KNN can often produce classifers that are surprisingly close to the optimal Bayes classifer. Figure 2.15 displays the KNN decision boundary, using K = 10, when applied to the larger simulated data set from Figure 2.13. Notice that even though the true distribution is not known by the KNN classifer, the KNN decision boundary is very close to that of the Bayes classifer. The test error rate using KNN is 0.1363, which is close to the Bayes error rate of 0.1304.
The choice of K has a drastic efect on the KNN classifer obtained. Figure 2.16 displays two KNN fts to the simulated data from Figure 2.13, using K = 1 and K = 100. When K = 1, the decision boundary is overly fexible and fnds patterns in the data that don’t correspond to the Bayes decision boundary. This corresponds to a classifer that has low bias but very high variance. As K grows, the method becomes less fexible and produces a decision boundary that is close to linear. This corresponds to a low-variance but high-bias classifer. On this simulated data set, neither K = 1 nor K = 100 give good predictions: they have test error rates of 0.1695 and 0.1925, respectively.
Just as in the regression setting, there is not a strong relationship between the training error rate and the test error rate. With K = 1, the KNN training error rate is 0, but the test error rate may be quite high. In general, as we use more fexible classifcation methods, the training error rate will decline but the test error rate may not. In Figure 2.17, we have plotted the KNN test and training errors as a function of 1/K. As 1/K increases, the method becomes more fexible. As in the regression setting, the training error rate consistently declines as the fexibility increases. However, the test error exhibits a characteristic U-shape, declining at frst (with a minimum at approximately K = 10) before increasing again when the method becomes excessively fexible and overfts.

FIGURE 2.14. The KNN approach, using K = 3, is illustrated in a simple situation with six blue observations and six orange observations. Left: a test observation at which a predicted class label is desired is shown as a black cross. The three closest points to the test observation are identifed, and it is predicted that the test observation belongs to the most commonly-occurring class, in this case blue. Right: The KNN decision boundary for this example is shown in black. The blue grid indicates the region in which a test observation will be assigned to the blue class, and the orange grid indicates the region in which it will be assigned to the orange class.

FIGURE 2.15. The black curve indicates the KNN decision boundary on the data from Figure 2.13, using K = 10. The Bayes decision boundary is shown as a purple dashed line. The KNN and Bayes decision boundaries are very similar.
In both the regression and classifcation settings, choosing the correct level of fexibility is critical to the success of any statistical learning method. The bias-variance tradeof, and the resulting U-shape in the test error, can make this a difcult task. In Chapter 5, we return to this topic and discuss

FIGURE 2.16. A comparison of the KNN decision boundaries (solid black curves) obtained using K = 1 and K = 100 on the data from Figure 2.13. With K = 1, the decision boundary is overly fexible, while with K = 100 it is not sufciently fexible. The Bayes decision boundary is shown as a purple dashed line.

FIGURE 2.17. The KNN training error rate (blue, 200 observations) and test error rate (orange, 5,000 observations) on the data from Figure 2.13, as the level of fexibility (assessed using 1/K on the log scale) increases, or equivalently as the number of neighbors K decreases. The black dashed line indicates the Bayes error rate. The jumpiness of the curves is due to the small size of the training data set.
various methods for estimating test error rates and thereby choosing the optimal level of fexibility for a given statistical learning method.
2.3 Lab: Introduction to Python
2.3.1 Getting Started
To run the labs in this book, you will need two things:
- An installation of Python3, which is the specifc version of Python used in the labs.
- Access to Jupyter, a very popular Python interface that runs code through a fle called a notebook. notebook
You can download and install Python3 by following the instructions available at anaconda.com.
There are a number of ways to get access to Jupyter. Here are just a few:
- Using Google’s Colaboratory service: colab.research.google.com/.
- Using JupyterHub, available at jupyter.org/hub.
- Using your own jupyter installation. Installation instructions are available at jupyter.org/install.
Please see the Python resources page on the book website statlearning.com for up-to-date information about getting Python and Jupyter working on your computer.
You will need to install the ISLP package, which provides access to the datasets and custom-built functions that we provide. Inside a macOS or Linux terminal type pip install ISLP; this also installs most other packages needed in the labs. The Python resources page has a link to the ISLP documentation website.
To run this lab, download the fle Ch2-statlearn-lab.ipynb from the Python resources page. Now run the following code at the command line: jupyter lab Ch2-statlearn-lab.ipynb.
If you’re using Windows, you can use the start menu to access anaconda, and follow the links. For example, to install ISLP and run this lab, you can run the same code above in an anaconda shell.
2.3.2 Basic Commands
In this lab, we will introduce some simple Python commands. For more resources about Python in general, readers may want to consult the tutorial at docs.python.org/3/tutorial/.
Like most programming languages, Python uses functions to perform op- function erations. To run a function called fun, we type fun(input1,input2), where the inputs (or arguments) input1 and input2 tell Python how to run the function. A function can have any number of inputs. For example, the argument print() function outputs a text representation of all of its arguments to print() the console.
In [1]: print('fit a model with', 11, 'variables')
fit a model with 11 variables
The following command will provide information about the print() function.
In [2]: print?
Adding two integers in Python is pretty intuitive.
Out[3]: 8
In Python, textual data is handled using strings. For instance, “hello” and string ‘hello’ are strings. We can concatenate them using the addition + symbol.
In [4]: "hello" + " " + "world"
Out[4]: 'hello world'
A string is actually a type of sequence: this is a generic term for an ordered sequence list. The three most important types of sequences are lists, tuples, and strings. We introduce lists now.
The following command instructs Python to join together the numbers 3, 4, and 5, and to save them as a list named x. When we type x, it gives us list back the list.
In [5]: x = [3, 4, 5]
x
Out[5]: [3, 4, 5]
Note that we used the brackets [] to construct this list.
We will often want to add two sets of numbers together. It is reasonable to try the following code, though it will not produce the desired results.
In [6]: y = [4, 9, 7] x+y
Out[6]: [3, 4, 5, 4, 9, 7]
The result may appear slightly counterintuitive: why did Python not add the entries of the lists element-by-element? In Python, lists hold arbitrary objects, and are added using concatenation. In fact, concatenation is the concatenation behavior that we saw earlier when we entered “hello” + ” ” + “world”.
This example refects the fact that Python is a general-purpose programming language. Much of Python’s data-specifc functionality comes from other packages, notably numpy and pandas. In the next section, we will introduce the numpy package. See docs.scipy.org/doc/numpy/user/quickstart.html for more information about numpy.
2.3.3 Introduction to Numerical Python
As mentioned earlier, this book makes use of functionality that is contained in the numpy library, or package. A package is a collection of modules that numpy package are not necessarily included in the base Python distribution. The name numpy is an abbreviation for numerical Python.
To access numpy, we must frst import it. import
In [7]: import numpy as np
In the previous line, we named the numpy module np; an abbreviation for module easier referencing.
In numpy, an array is a generic term for a multidimensional set of numbers. array We use the np.array() function to defne x and y, which are one-dimensional np.array() arrays, i.e. vectors.
In [8]: x = np.array([3, 4, 5])
y = np.array([4, 9, 7])
Note that if you forgot to run the import numpy as np command earlier, then you will encounter an error in calling the np.array() function in the previous line. The syntax np.array() indicates that the function being called is part of the numpy package, which we have abbreviated as np.
Since x and y have been defned using np.array(), we get a sensible result when we add them together. Compare this to our results in the previous section, when we tried to add two lists without using numpy.
In [9]: x+y
Out[9]: array([ 7, 13, 12])
In numpy, matrices are typically represented as two-dimensional arrays, and vectors as one-dimensional arrays.1 We can create a two-dimensional array as follows.
In [10]: x = np.array([[1, 2], [3, 4]])
x
Out[10]: array([[1, 2],
[3, 4]])
The object x has several attributes, or associated objects. To access an attribute attribute of x, we type x.attribute, where we replace attribute with the name of the attribute. For instance, we can access the ndim attribute of x ndim as follows.
In [11]: x.ndim
Out[11]: 2
The output indicates that x is a two-dimensional array. Similarly, x.dtype is the data type attribute of the object x. This indicates that x is comprised data type of 64-bit integers:
1While it is also possible to create matrices using np.matrix(), we will use np.array() throughout the labs in this book.
In [12]: x.dtype
Out[12]: dtype('int64')
Why is x comprised of integers? This is because we created x by passing in exclusively integers to the np.array() function. If we had passed in any decimals, then we would have obtained an array of foating point numbers foating point (i.e. real-valued numbers).
In [13]: np.array([[1, 2], [3.0, 4]]).dtype
Out[13]: dtype('float64')
Typing fun? will cause Python to display documentation associated with the function fun, if it exists. We can try this for np.array().
In [14]: np.array?
This documentation indicates that we could create a foating point array by passing a dtype argument into np.array(). dtype
In [15]: np.array([[1, 2], [3, 4]], float).dtype
Out[15]: dtype('float64')
The array x is two-dimensional. We can fnd out the number of rows and columns by looking at its shape attribute. shape
In [16]: x.shape
Out[16]: (2, 2)
A method is a function that is associated with an object. For instance, method given an array x, the expression x.sum() sums all of its elements, using the sum() method for arrays. The call x.sum() automatically provides x as the .sum() frst argument to its sum() method.
In [17]: x = np.array([1, 2, 3, 4])
x.sum()
Out[17]: 10
We could also sum the elements of x by passing in x as an argument to the np.sum() function. np.sum()
In [18]: x = np.array([1, 2, 3, 4]) np.sum(x)
Out[18]: 10
As another example, the reshape() method returns a new array with the .reshape() same elements as x, but a diferent shape. We do this by passing in a tuple tuple
44 2. Statistical Learning
in our call to reshape(), in this case (2, 3). This tuple specifes that we would like to create a two-dimensional array with 2 rows and 3 columns.2 In what follows, the character creates a new line.
In [19]: x = np.array([1, 2, 3, 4, 5, 6])
print('beginning x:\n', x)
x_reshape = x.reshape((2, 3))
print('reshaped x:\n', x_reshape)
beginning x:
[1 2 3 4 5 6]
reshaped x:
[[1 2 3]
[4 5 6]]
The previous output reveals that numpy arrays are specifed as a sequence of rows. This is called row-major ordering, as opposed to column-major ordering.
Python (and hence numpy) uses 0-based indexing. This means that to access the top left element of x_reshape, we type in x_reshape[0,0].
In [20]: x_reshape[0, 0]
Out[20]: 1
Similarly, x_reshape[1,2] yields the element in the second row and the third column of x_reshape.
In [21]: x_reshape[1, 2]
Out[21]: 6
Similarly, x[2] yields the third entry of x.
Now, let’s modify the top left element of x_reshape. To our surprise, we discover that the frst element of x has been modifed as well!
In [22]: print('x before we modify x_reshape:\n', x)
print('x_reshape before we modify x_reshape:\n', x_reshape)
x_reshape[0, 0] = 5
print('x_reshape after we modify its top left element:\n',
x_reshape)
print('x after we modify top left element of x_reshape:\n', x)
Out[22]: x before we modify x_reshape:
[1 2 3 4 5 6]
x_reshape before we modify x_reshape:
[[1 2 3]
[4 5 6]]
x_reshape after we modify its top left element:
[[5 2 3]
2Like lists, tuples represent a sequence of objects. Why do we need more than one way to create a sequence? There are a few diferences between tuples and lists, but perhaps the most important is that elements of a tuple cannot be modifed, whereas elements of a list can be.
[4 5 6]]
x after we modify top left element of x_reshape:
[5 2 3 4 5 6]
Modifying x_reshape also modifed x because the two objects occupy the same space in memory.
We just saw that we can modify an element of an array. Can we also modify a tuple? It turns out that we cannot — and trying to do so introduces an exception, or error. exception
In [23]: my_tuple = (3, 4, 5)
my_tuple[0] = 2
TypeError: 'tuple' object does not support item assignment
We now briefy mention some attributes of arrays that will come in handy. An array’s shape attribute contains its dimension; this is always a tuple. The ndim attribute yields the number of dimensions, and T provides its transpose.
In [24]: x_reshape.shape, x_reshape.ndim, x_reshape.T
Out[24]: ((2, 3),
2,
array([[5, 4],
[2, 5],
[3, 6]]))
Notice that the three individual outputs (2,3), 2, and array([[5, 4],[2, 5], [3,6]]) are themselves output as a tuple.
We will often want to apply functions to arrays. For instance, we can compute the square root of the entries using the np.sqrt() function: np.sqrt()
In [25]: np.sqrt(x)
Out[25]: array([2.24, 1.41, 1.73, 2., 2.24, 2.45])
We can also square the elements:
In [26]: x**2
Out[26]: array([25, 4, 9, 16, 25, 36])
We can compute the square roots using the same notation, raising to the power of 1/2 instead of 2.
In [27]: x**0.5
Out[27]: array([2.24, 1.41, 1.73, 2., 2.24, 2.45])
Throughout this book, we will often want to generate random data. The np.random.normal() function generates a vector of random normal variables. np.random. We can learn more about this function by looking at the help page, via a call normal() to np.random.normal?. The frst line of the help page reads normal(loc=0.0, scale=1.0, size=None). This signature line tells us that the function’s arguments are loc, scale, and size. These are keyword arguments, which keyword means that when they are passed into the function, they can be referred to by name (in any order).3 By default, this function will generate random normal variable(s) with mean (loc) 0 and standard deviation (scale) 1; furthermore, a single random variable will be generated unless the argument to size is changed.
We now generate 50 independent random variables from a N(0, 1) distribution.
In [28]: x = np.random.normal(size=50)
x
Out[28]: array([-1.19, 0.41, 0.9 , -0.44, -0.9 , -0.38, 0.13, 1.87,
-0.35, 1.16, 0.79, -0.97, -1.21, 0.06, -1.62, -0.6 ,
-0.77, -2.12, 0.38, -1.22, -0.06, -1.97, -1.74, -0.56,
1.7 , -0.95, 0.56, 0.35, 0.87, 0.88, -1.66, -0.32,
-0.3 , -1.36, 0.92, -0.31, 1.28, -1.94, 1.07, 0.07,
0.79, -0.46, 2.19, -0.27, -0.64, 0.85, 0.13, 0.46,
-0.09, 0.7 ])
We create an array y by adding an independent N(50, 1) random variable to each element of x.
In [29]: y = x + np.random.normal(loc=50, scale=1, size=50)
The np.corrcoef() function computes the correlation matrix between x and np.corrcoef() y. The of-diagonal elements give the correlation between x and y.
In [30]: np.corrcoef(x, y)
Out[30]: array([[1. , 0.69], [0.69, 1. ]])
If you’re following along in your own Jupyter notebook, then you probably noticed that you got a diferent set of results when you ran the past few commands. In particular, each time we call np.random.normal(), we will get a diferent answer, as shown in the following example.
In [31]: print(np.random.normal(scale=5, size=2))
print(np.random.normal(scale=5, size=2))
Out[31]: [4.28 2.59] [4.62 -2.54]
In order to ensure that our code provides exactly the same results each time it is run, we can set a random seed using the np.random.default_rng() random seed function. This function takes an arbitrary, user-specifed integer argument. If we set a random seed before generating random data, then re-running our code will yield the same results. The object rng has essentially all the
np.random. default_rng()
3Python also uses positional arguments. Positional arguments do not need to use a keyword. To see an example, type in np.sum?. We see that a is a positional argument, i.e. this function assumes that the frst unnamed argument that it receives is the array to be summed. By contrast, axis and dtype are keyword arguments: the position in which these arguments are entered into np.sum() does not matter.
random number generating methods found in np.random. Hence, to generate normal data we use rng.normal().
In [32]: rng = np.random.default_rng(1303)
print(rng.normal(scale=5, size=2))
rng2 = np.random.default_rng(1303)
print(rng2.normal(scale=5, size=2))
Out[32]: [4.09 -1.07 ]
[4.09 -1.07 ]
Throughout the labs in this book, we use np.random.default_rng() whenever we perform calculations involving random quantities within numpy. In principle, this should enable the reader to exactly reproduce the stated results. However, as new versions of numpy become available, it is possible that some small discrepancies may occur between the output in the labs and the output from numpy.
The np.mean(), np.var(), and np.std() functions can be used to compute np.mean() the mean, variance, and standard deviation of arrays. These functions are also available as methods on the arrays.
np.var() np.std()
In [33]: rng = np.random.default_rng(3)
y = rng.standard_normal(10)
np.mean(y), y.mean()
Out[33]: (-0.11, -0.11)
In [34]: np.var(y), y.var(), np.mean((y - y.mean())**2)
Out[34]: (2.72, 2.72, 2.72)
Notice that by default np.var() divides by the sample size n rather than n − 1; see the ddof argument in np.var?.
In [35]: np.sqrt(np.var(y)), np.std(y)
Out[35]: (1.65, 1.65)
The np.mean(), np.var(), and np.std() functions can also be applied to the rows and columns of a matrix. To see this, we construct a 10 × 3 matrix of N(0, 1) random variables, and consider computing its row sums.
In [36]: X = rng.standard_normal((10, 3))
X
Out[36]: array([[ 0.23, -0.35, -0.28],
[-0.67, -1.06, -0.39],
[ 0.48, -0.24, 0.96],
[-0.2 , 0.02, 1.55],
[ 0.55, -0.51, -0.18],
[ 0.54, 1.94, -0.27],
[-0.24, 1. , -0.89],
[-0.29, 0.88, 0.58],
[ 0.09, 0.67, -2.83],
[ 1.02, -0.96, -1.67]])
Since arrays are row-major ordered, the frst axis, i.e. axis=0, refers to its rows. We pass this argument into the mean() method for the object X. .mean()
In [37]: X.mean(axis=0)
Out[37]: array([0.15, 0.14, -0.34])
The following yields the same result.
In [38]: X.mean(0)
Out[38]: array([0.15, 0.14, -0.34])
2.3.4 Graphics
In Python, common practice is to use the library matplotlib for graphics. matplotlib However, since Python was not written with data analysis in mind, the notion of plotting is not intrinsic to the language. We will use the subplots() function from matplotlib.pyplot to create a fgure and the axes onto which we plot our data. For many more examples of how to make plots in Python, readers are encouraged to visit matplotlib.org/stable/gallery/.
In matplotlib, a plot consists of a fgure and one or more axes. You can fgure axes think of the fgure as the blank canvas upon which one or more plots will be displayed: it is the entire plotting window. The axes contain important information about each plot, such as its x- and y-axis labels, title, and more. (Note that in matplotlib, the word axes is not the plural of axis: a plot’s axes contains much more information than just the x-axis and the y-axis.)
We begin by importing the subplots() function from matplotlib. We subplots() use this function throughout when creating fgures. The function returns a tuple of length two: a fgure object as well as the relevant axes object. We will typically pass figsize as a keyword argument. Having created our axes, we attempt our frst plot using its plot() method. To learn more .plot() about it, type ax.plot?.
In [39]: from matplotlib.pyplot import subplots
fig, ax = subplots(figsize=(8, 8))
x = rng.standard_normal(100)
y = rng.standard_normal(100)
ax.plot(x, y);
We pause here to note that we have unpacked the tuple of length two returned by subplots() into the two distinct variables fig and ax. Unpacking is typically preferred to the following equivalent but slightly more verbose code:
In [40]: output = subplots(figsize=(8, 8))
fig = output[0]
ax = output[1]
We see that our earlier cell produced a line plot, which is the default. To create a scatterplot, we provide an additional argument to ax.plot(), indicating that circles should be displayed.
In [41]: fig, ax = subplots(figsize=(8, 8))
ax.plot(x, y, 'o');
Diferent values of this additional argument can be used to produce diferent colored lines as well as diferent linestyles.
As an alternative, we could use the ax.scatter() function to create a .scatter() scatterplot.
In [42]: fig, ax = subplots(figsize=(8, 8))
ax.scatter(x, y, marker='o');
Notice that in the code blocks above, we have ended the last line with a semicolon. This prevents ax.plot(x, y) from printing text to the notebook. However, it does not prevent a plot from being produced. If we omit the trailing semi-colon, then we obtain the following output:
In [43]: fig, ax = subplots(figsize=(8, 8))
ax.scatter(x, y, marker='o')
Out[43]: <matplotlib.collections.PathCollection at 0x7fb3d9c8f310 > Figure(432x288)
In what follows, we will use trailing semicolons whenever the text that would be output is not germane to the discussion at hand.
To label our plot, we make use of the set_xlabel(), set_ylabel(), and .set_xlabel() .set_ylabel() set_title() methods of ax.
In [44]: fig, ax = subplots(figsize=(8, 8)) .set_title()
ax.scatter(x, y, marker='o')
ax.set_xlabel("this is the x-axis")
ax.set_ylabel("this is the y-axis")
ax.set_title("Plot of X vs Y");
Having access to the fgure object fig itself means that we can go in and change some aspects and then redisplay it. Here, we change the size from (8, 8) to (12, 3).
fig.set_size_inches(12,3)
fig
Occasionally we will want to create several plots within a fgure. This can be achieved by passing additional arguments to subplots(). Below, we create a 2 × 3 grid of plots in a fgure of size determined by the figsize argument. In such situations, there is often a relationship between the axes in the plots. For example, all plots may have a common x-axis. The subplots() function can automatically handle this situation when passed the keyword argument sharex=True. The axes object below is an array pointing to diferent plots in the fgure.
In [45]: fig, axes = subplots(nrows=2,
ncols=3,
figsize=(15, 5))
We now produce a scatter plot with ‘o’ in the second column of the frst row and a scatter plot with ‘+’ in the third column of the second row.
In [46]: axes[0,1].plot(x, y, 'o')
axes[1,2].scatter(x, y, marker='+')
fig
Type subplots? to learn more about subplots().
To save the output of fig, we call its savefig() method. The argument .savefig() dpi is the dots per inch, used to determine how large the fgure will be in pixels.
In [47]: fig.savefig("Figure.png", dpi=400)
fig.savefig("Figure.pdf", dpi=200);
We can continue to modify fig using step-by-step updates; for example, we can modify the range of the x-axis, re-save the fgure, and even re-display it.
In [48]: axes[0,1].set_xlim([-1,1])
fig.savefig("Figure_updated.jpg")
fig
We now create some more sophisticated plots. The ax.contour() method .contour() produces a contour plot in order to represent three-dimensional data, similar contour plot to a topographical map. It takes three arguments:
- A vector of x values (the frst dimension),
- A vector of y values (the second dimension), and
- A matrix whose elements correspond to the z value (the third dimension) for each pair of (x,y) coordinates.
To create x and y, we’ll use the command np.linspace(a, b, n), which np.linspace() returns a vector of n numbers starting at a and ending at b.
In [49]: fig, ax = subplots(figsize=(8, 8))
x = np.linspace(-np.pi, np.pi, 50)
y=x
f = np.multiply.outer(np.cos(y), 1 / (1 + x**2))
ax.contour(x, y, f);
We can increase the resolution by adding more levels to the image.
In [50]: fig, ax = subplots(figsize=(8, 8))
ax.contour(x, y, f, levels=45);
To fne-tune the output of the ax.contour() function, take a look at the help fle by typing ?plt.contour.
The ax.imshow() method is similar to ax.contour(), except that it pro- .imshow() duces a color-coded plot whose colors depend on the z value. This is known as a heatmap, and is sometimes used to plot temperature in weather fore- heatmap casts.
In [51]: fig, ax = subplots(figsize=(8, 8))
ax.imshow(f);
2.3.5 Sequences and Slice Notation
As seen above, the function np.linspace() can be used to create a sequence of numbers.
In [52]: seq1 = np.linspace(0, 10, 11)
seq1
Out[52]: array([ 0., 1., 2., 3., 4., 5., 6., 7., 8., 9., 10.])
The function np.arange() returns a sequence of numbers spaced out by np.arange() step. If step is not specifed, then a default value of 1 is used. Let’s create a sequence that starts at 0 and ends at 10.
In [53]: seq2 = np.arange(0, 10)
seq2
Out[53]: array([0, 1, 2, 3, 4, 5, 6, 7, 8, 9])
Why isn’t 10 output above? This has to do with slice notation in Python. slice Slice notation is used to index sequences such as lists, tuples and arrays. Suppose we want to retrieve the fourth through sixth (inclusive) entries of a string. We obtain a slice of the string using the indexing notation [3:6].
In [54]: "hello world"[3:6]
Out[54]: 'lo '
In the code block above, the notation 3:6 is shorthand for slice(3,6) when used inside [].
In [55]: "hello world"[slice(3,6)]
Out[55]: 'lo '
You might have expected slice(3,6) to output the fourth through seventh characters in the text string (recalling that Python begins its indexing at zero), but instead it output the fourth through sixth. This also explains why the earlier np.arange(0, 10) command output only the integers from 0 to 9. See the documentation slice? for useful options in creating slices.
2.3.6 Indexing Data
To begin, we create a two-dimensional numpy array.
In [56]: A = np.array(np.arange(16)).reshape((4, 4))
A
Out[56]: array([[ 0, 1, 2, 3],
[ 4, 5, 6, 7],
[ 8, 9, 10, 11],
[12, 13, 14, 15]])
Typing A[1,2] retrieves the element corresponding to the second row and third column. (As usual, Python indexes from 0.)
In [57]: A[1,2]
Out[57]: 6
The frst number after the open-bracket symbol [ refers to the row, and the second number refers to the column.
Indexing Rows, Columns, and Submatrices
To select multiple rows at a time, we can pass in a list specifying our selection. For instance, [1,3] will retrieve the second and fourth rows:
In [58]: A[[1,3]]
Out[58]: array([[ 4, 5, 6, 7],
[12, 13, 14, 15]])
To select the frst and third columns, we pass in [0,2] as the second argument in the square brackets. In this case we need to supply the frst argument : which selects all rows.
In [59]: A[:,[0,2]]
Out[59]: array([[ 0, 2],
[ 4, 6],
[ 8, 10],
[12, 14]])
Now, suppose that we want to select the submatrix made up of the second and fourth rows as well as the frst and third columns. This is where indexing gets slightly tricky. It is natural to try to use lists to retrieve the rows and columns:
In [60]: A[[1,3],[0,2]]
Out[60]: array([ 4, 14])
Oops — what happened? We got a one-dimensional array of length two identical to
In [61]: np.array([A[1,0],A[3,2]])
Out[61]: array([ 4, 14])
Similarly, the following code fails to extract the submatrix comprised of the second and fourth rows and the frst, third, and fourth columns:
In [62]: A[[1,3],[0,2,3]]
IndexError: shape mismatch: indexing arrays could not be broadcast
together with shapes (2,) (3,)
We can see what has gone wrong here. When supplied with two indexing lists, the numpy interpretation is that these provide pairs of i, j indices for a series of entries. That is why the pair of lists must have the same length. However, that was not our intent, since we are looking for a submatrix.
One easy way to do this is as follows. We frst create a submatrix by subsetting the rows of A, and then on the fy we make a further submatrix by subsetting its columns.
In [63]: A[[1,3]][:,[0,2]]
Out[63]: array([[ 4, 6],
[12, 14]])
There are more efcient ways of achieving the same result.
The convenience function np.ix_() allows us to extract a submatrix using convenience lists, by creating an intermediate mesh object.
In [64]: idx = np.ix_([1,3],[0,2,3])
A[idx]
Out[64]: array([[ 4, 6, 7],
[12, 14, 15]])
Alternatively, we can subset matrices efciently using slices. The slice 1:4:2 captures the second and fourth items of a sequence, while the slice 0:3:2 captures the frst and third items (the third element in a slice sequence is the step size).
In [65]: A[1:4:2,0:3:2]
Out[65]: array([[ 4, 6],
[12, 14]])
Why are we able to retrieve a submatrix directly using slices but not using lists? Its because they are diferent Python types, and are treated diferently by numpy. Slices can be used to extract objects from arbitrary sequences, such as strings, lists, and tuples, while the use of lists for indexing is more limited.
Boolean Indexing
In numpy, a Boolean is a type that equals either True or False (also rep- Boolean resented as 1 and 0, respectively). The next line creates a vector of 0’s, represented as Booleans, of length equal to the frst dimension of A.
In [66]: keep_rows = np.zeros(A.shape[0], bool)
keep_rows
Out[66]: array([False, False, False, False])
We now set two of the elements to True.
In [67]: keep_rows[[1,3]] = True
keep_rows
Out[67]: array([False, True, False, True])
Note that the elements of keep_rows, when viewed as integers, are the same as the values of np.array([0,1,0,1]). Below, we use == to verify their equality. When applied to two arrays, the == operation is applied elementwise.
In [68]: np.all(keep\_rows == np.array([0,1,0,1]))
Out[68]: True
(Here, the function np.all() has checked whether all entries of an array np.all() are True. A similar function, np.any(), can be used to check whether any np.any() entries of an array are True.)
However, even though np.array([0,1,0,1]) and keep_rows are equal according to ==, they index diferent sets of rows! The former retrieves the frst, second, frst, and second rows of A.
In [69]: A[np.array([0,1,0,1])]
Out[69]: array([[0, 1, 2, 3],
[4, 5, 6, 7],
[0, 1, 2, 3],
[4, 5, 6, 7]])
By contrast, keep_rows retrieves only the second and fourth rows of A i.e. the rows for which the Boolean equals TRUE.
In [70]: A[keep_rows]
Out[70]: array([[ 4, 5, 6, 7],
[12, 13, 14, 15]])
This example shows that Booleans and integers are treated diferently by numpy.
We again make use of the np.ix_() function to create a mesh containing the second and fourth rows, and the frst, third, and fourth columns. This time, we apply the function to Booleans, rather than lists.
In [71]: keep_cols = np.zeros(A.shape[1], bool)
keep_cols[[0, 2, 3]] = True
idx_bool = np.ix_(keep_rows, keep_cols)
A[idx_bool]
Out[71]: array([[ 4, 6, 7],
[12, 14, 15]])
We can also mix a list with an array of Booleans in the arguments to np.ix_():
In [72]: idx_mixed = np.ix_([1,3], keep_cols)
A[idx_mixed]
Out[72]: array([[ 4, 6, 7],
[12, 14, 15]])
For more details on indexing in numpy, readers are referred to the numpy tutorial mentioned earlier.
2.3.7 Loading Data
Data sets often contain diferent types of data, and may have names associated with the rows or columns. For these reasons, they typically are best accommodated using a data frame. We can think of a data frame as data frame a sequence of arrays of identical length; these are the columns. Entries in the diferent arrays can be combined to form a row. The pandas library can be used to create and work with data frame objects.
Reading in a Data Set
The frst step of most analyses involves importing a data set into Python. Before attempting to load a data set, we must make sure that Python knows where to fnd the fle containing it. If the fle is in the same location as this notebook fle, then we are all set. Otherwise, the command os.chdir() can os.chdir() be used to change directory. (You will need to call import os before calling os.chdir().)
We will begin by reading in Auto.csv, available on the book website. This is a comma-separated fle, and can be read in using pd.read_csv(): pd.read_csv()
In [73]: import pandas as pd
Auto = pd.read_csv('Auto.csv')
Auto
The book website also has a whitespace-delimited version of this data, called Auto.data. This can be read in as follows:
In [74]: Auto = pd.read\_csv('Auto.data', delim\_whitespace=True)
Both Auto.csv and Auto.data are simply text fles. Before loading data into Python, it is a good idea to view it using a text editor or other software, such as Microsoft Excel.
We now take a look at the column of Auto corresponding to the variable horsepower:
In [75]: Auto['horsepower']
| Out[75]: 0 | 130.0 | |||||
|---|---|---|---|---|---|---|
| 1 | 165.0 | |||||
| 2 | 150.0 | |||||
| 3 | 150.0 | |||||
| 4 | 140.0 | |||||
| 392 | 86.00 | |||||
| 393 | 52.00 | |||||
| 394 | 84.00 | |||||
| 395 | 79.00 | |||||
| 396 | 82.00 | |||||
| Name: | horsepower, | Length: | 397, | dtype: | object |
We see that the dtype of this column is object. It turns out that all values of the horsepower column were interpreted as strings when reading in the data. We can fnd out why by looking at the unique values.
In [76]: np.unique(Auto['horsepower'])
To save space, we have omitted the output of the previous code block. We see the culprit is the value ?, which is being used to encode missing values.
To fx the problem, we must provide pd.read_csv() with an argument called na_values. Now, each instance of ? in the fle is replaced with the value np.nan, which means not a number:
In [77]: Auto = pd.read_csv('Auto.data',
na_values=['?'],
delim_whitespace=True)
Auto['horsepower'].sum()
Out[77]: 40952.0
The Auto.shape attribute tells us that the data has 397 observations, or rows, and nine variables, or columns.
In [78]: Auto.shape
Out[78]: (397, 9)
There are various ways to deal with missing data. In this case, since only fve of the rows contain missing observations, we choose to use the Auto.dropna() method to simply remove these rows. .dropna()
In [79]: Auto\_new = Auto.dropna() Auto\_new.shape
Out[79]: (392, 9)
Basics of Selecting Rows and Columns
We can use Auto.columns to check the variable names.
In [80]: Auto = Auto_new # overwrite the previous value
Auto.columns
Out[80]: Index(['mpg', 'cylinders', 'displacement', 'horsepower',
'weight', 'acceleration', 'year', 'origin', 'name'],
dtype='object')
Accessing the rows and columns of a data frame is similar, but not identical, to accessing the rows and columns of an array. Recall that the frst argument to the [] method is always applied to the rows of the array. Similarly, passing in a slice to the [] method creates a data frame whose rows are determined by the slice:
In [81]: Auto[:3]
Out[81]: mpg cylinders displacement horsepower weight ... 0 18.0 8 307.0 130.0 3504.0 ... 1 15.0 8 350.0 165.0 3693.0 ... 2 18.0 8 318.0 150.0 3436.0 ...
Similarly, an array of Booleans can be used to subset the rows:
In [82]: idx_80 = Auto['year'] > 80
Auto[idx_80]
However, if we pass in a list of strings to the [] method, then we obtain a data frame containing the corresponding set of columns.
In [83]: Auto[['mpg', 'horsepower']]
| Out[83]: | mpg | horsepower | |
|---|---|---|---|
| 0 | 18.0 | 130.0 | |
| 1 | 15.0 | 165.0 | |
| 2 | 18.0 | 150.0 | |
| 3 | 16.0 | 150.0 | |
| 4 | 17.0 | 140.0 | |
| 392 | 27.0 | 86.0 | |
| 393 | 44.0 | 52.0 | |
| 394 | 32.0 | 84.0 | |
| 395 | 28.0 | 79.0 | |
| 396 | 31.0 | 82.0 | |
| 392 rows |
x 2 |
columns | |
Since we did not specify an index column when we loaded our data frame, the rows are labeled using integers 0 to 396.
In [84]: Auto.index
Out[84]: Int64Index([ 0, 1, 2, 3, 4, 5, 6, 7, 8, 9,
...
387, 388, 389, 390, 391, 392, 393, 394, 395, 396], dtype=‘int64’, length=392)
We can use the set_index() method to re-name the rows using the contents .set_index() of Auto[‘name’].
In [85]: Auto_re = Auto.set_index('name')
Auto_re
Out[85]: mpg cylinders displacement ...
name
chevrolet chevelle malibu 18.0 8 307.0 ...
buick skylark 32 15.0 8 350.0 ...
plymouth satellite 18.0 8 318.0 ...
amc rebel sst 16.0 8 304.0 ...
In [86]: Auto_re.columns
Out[86]: Index(['mpg', 'cylinders', 'displacement', 'horsepower',
'weight', 'acceleration', 'year', 'origin'],
dtype='object')
We see that the column ‘name’ is no longer there.
Now that the index has been set to name, we can access rows of the data frame by name using the loc[] method of Auto: .loc[]
58 2. Statistical Learning
In [87]: rows = ['amc rebel sst', 'ford torino']
Auto_re.loc[rows]
Out[87]: mpg cylinders displacement horsepower ...
name
amc rebel sst 16.0 8 304.0 150.0 ...
ford torino 17.0 8 302.0 140.0 ...
As an alternative to using the index name, we could retrieve the 4th and
5th rows of Auto using the iloc[] method: .iloc[]
In [88]: Auto_re.iloc[[3,4]]
We can also use it to retrieve the 1st, 3rd and and 4th columns of Auto_re:
In [89]: Auto_re.iloc[:,[0,2,3]]
We can extract the 4th and 5th rows, as well as the 1st, 3rd and 4th
columns, using a single call to iloc[]:
In [90]: Auto_re.iloc[[3,4],[0,2,3]]
Out[90]: mpg displacement horsepower
name
amc rebel sst 16.0 304.0 150.0
ford torino 17.0 302.0 140.0
Index entries need not be unique: there are several cars in the data frame
named ford galaxie 500.
In [91]: Auto_re.loc['ford galaxie 500', ['mpg', 'origin']]
Out[91]: mpg origin
name
ford galaxie 500 15.0 1
ford galaxie 500 14.0 1
ford galaxie 500 14.0 1
More on Selecting Rows and Columns
Suppose now that we want to create a data frame consisting of the weight and origin of the subset of cars with year greater than 80 — i.e. those built after 1980. To do this, we frst create a Boolean array that indexes the rows. The loc[] method allows for Boolean entries as well as strings:
In [92]: idx_80 = Auto_re['year'] > 80
Auto_re.loc[idx_80, ['weight', 'origin']]
To do this more concisely, we can use an anonymous function called a lambda: lambda
In [93]: Auto\_re.loc[lambda df: df['year'] > 80, ['weight', 'origin']]
The lambda call creates a function that takes a single argument, here df, and returns df[‘year’]>80. Since it is created inside the loc[] method for the dataframe Auto_re, that dataframe will be the argument supplied. As another example of using a lambda, suppose that we want all cars built after 1980 that achieve greater than 30 miles per gallon:
In [94]: Auto_re.loc[lambda df: (df['year'] > 80) & (df['mpg'] > 30),
['weight', 'origin']
]
The symbol & computes an element-wise and operation. As another example, suppose that we want to retrieve all Ford and Datsun cars with displacement less than 300. We check whether each name entry contains either the string ford or datsun using the str.contains() method of the .str. contains() index attribute of of the dataframe:
In [95]: Auto_re.loc[lambda df: (df['displacement'] < 300)
& (df.index.str.contains('ford')
| df.index.str.contains('datsun')),
['weight', 'origin']
]
Here, the symbol | computes an element-wise or operation.
In summary, a powerful set of operations is available to index the rows and columns of data frames. For integer based queries, use the iloc[] method. For string and Boolean selections, use the loc[] method. For functional queries that flter rows, use the loc[] method with a function (typically a lambda) in the rows argument.
2.3.8 For Loops
A for loop is a standard tool in many languages that repeatedly evaluates for some chunk of code while varying diferent values inside the code. For example, suppose we loop over elements of a list and compute their sum.
In [96]: total = 0
for value in [3,2,19]:
total += value
print('Total is: {0}'.format(total))
Total is: 24
The indented code beneath the line with the for statement is run for each value in the sequence specifed in the for statement. The loop ends either when the cell ends or when code is indented at the same level as the original for statement. We see that the fnal line above which prints the total is executed only once after the for loop has terminated. Loops can be nested by additional indentation.
In [97]: total = 0
for value in [2,3,19]:
for weight in [3, 2, 1]:
total += value * weight
print('Total is: {0}'.format(total))
Total is: 144
Above, we summed over each combination of value and weight. We also took advantage of the increment notation in Python: the expression a += b increment is equivalent to a=a+b. Besides being a convenient notation, this can save time in computationally heavy tasks in which the intermediate value of a+b need not be explicitly created.
Perhaps a more common task would be to sum over (value, weight) pairs. For instance, to compute the average value of a random variable that takes on possible values 2, 3 or 19 with probability 0.2, 0.3, 0.5 respectively we would compute the weighted sum. Tasks such as this can often be accomplished using the zip() function that loops over a sequence of tuples. zip()
In [98]: total = 0
for value, weight in zip([2,3,19],
[0.2,0.3,0.5]):
total += weight * value
print('Weighted average is: {0}'.format(total))
Weighted average is: 10.8
String Formatting
In the code chunk above we also printed a string displaying the total. However, the object total is an integer and not a string. Inserting the value of something into a string is a common task, made simple using some of the powerful string formatting tools in Python. Many data cleaning tasks involve manipulating and programmatically producing strings.
For example we may want to loop over the columns of a data frame and print the percent missing in each column. Let’s create a data frame D with columns in which 20% of the entries are missing i.e. set to np.nan. np.nan We’ll create the values in D from a normal distribution with mean 0 and variance 1 using rng.standard_normal() and then overwrite some random entries using rng.choice().
In [99]: rng = np.random.default_rng(1)
A = rng.standard_normal((127, 5))
M = rng.choice([0, np.nan], p=[0.8,0.2], size=A.shape)
A += M
D = pd.DataFrame(A, columns=['food',
'bar',
'pickle',
'snack',
'popcorn'])
D[:3]
Out[99]: food bar pickle snack popcorn
0 0.345584 0.821618 0.330437 -1.303157 NaN
1 NaN -0.536953 0.581118 0.364572 0.294132
2 NaN 0.546713 NaN -0.162910 -0.482119
In [100]: for col in D.columns:
template = 'Column "{0}" has {1:.2%} missing values'
print(template.format(col,
np.isnan(D[col]).mean()))
Column "food" has 16.54% missing values
Column "bar" has 25.98% missing values
Column "pickle" has 29.13% missing values
Column "snack" has 21.26% missing values
Column "popcorn" has 22.83% missing values
We see that the template.format() method expects two arguments {0} and {1:.2%}, and the latter includes some formatting information. In particular, it specifes that the second argument should be expressed as a percent with two decimal digits.
The reference docs.python.org/3/library/string.html includes many helpful and more complex examples.
2.3.9 Additional Graphical and Numerical Summaries
We can use the ax.plot() or ax.scatter() functions to display the quantitative variables. However, simply typing the variable names will produce an error message, because Python does not know to look in the Auto data set for those variables.
In [101]: fig, ax = subplots(figsize=(8, 8))
ax.plot(horsepower , mpg, 'o');
NameError: name 'horsepower' is not defined
We can address this by accessing the columns directly:
In [102]: fig, ax = subplots(figsize=(8, 8))
ax.plot(Auto['horsepower'], Auto['mpg'], 'o');
Alternatively, we can use the plot() method with the call Auto.plot(). Us- .plot() ing this method, the variables can be accessed by name. The plot methods of a data frame return a familiar object: an axes. We can use it to update the plot as we did previously:
In [103]: ax = Auto.plot.scatter('horsepower', 'mpg');
ax.set_title('Horsepower vs. MPG')
If we want to save the fgure that contains a given axes, we can fnd the relevant fgure by accessing the figure attribute:
In [104]: fig = ax.figure
fig.savefig('horsepower_mpg.png');
We can further instruct the data frame to plot to a particular axes object. In this case the corresponding plot() method will return the modifed axes we passed in as an argument. Note that when we request a one-dimensional grid of plots, the object axes is similarly one-dimensional. We place our scatter plot in the middle plot of a row of three plots within a fgure.
In [105]: fig, axes = subplots(ncols=3, figsize=(15, 5))
Auto.plot.scatter('horsepower', 'mpg', ax=axes[1]);
Note also that the columns of a data frame can be accessed as attributes: try typing in Auto.horsepower.
62 2. Statistical Learning
We now consider the cylinders variable. Typing in Auto.cylinders.dtype reveals that it is being treated as a quantitative variable. However, since there is only a small number of possible values for this variable, we may wish to treat it as qualitative. Below, we replace the cylinders column with a categorical version of Auto.cylinders. The function pd.Series() owes its pd.Series() name to the fact that pandas is often used in time series applications.
In [106]: Auto.cylinders = pd.Series(Auto.cylinders, dtype='category')
Auto.cylinders.dtype
Now that cylinders is qualitative, we can display it using the boxplot() .boxplot() method.
In [107]: fig, ax = subplots(figsize=(8, 8))
Auto.boxplot('mpg', by='cylinders', ax=ax);
The hist() method can be used to plot a histogram. .hist()
In [108]: fig, ax = subplots(figsize=(8, 8))
Auto.hist('mpg', ax=ax);
The color of the bars and the number of bins can be changed:
In [109]: fig, ax = subplots(figsize=(8, 8))
Auto.hist('mpg', color='red', bins=12, ax=ax);
See Auto.hist? for more plotting options.
We can use the pd.plotting.scatter_matrix() function to create a scat- pd.plotting. scatter_ matrix() terplot matrix to visualize all of the pairwise relationships between the columns in a data frame.
In [110]: pd.plotting.scatter_matrix(Auto);
We can also produce scatterplots for a subset of the variables.
In [111]: pd.plotting.scatter_matrix(Auto[['mpg',
'displacement',
'weight']]);
The describe() method produces a numerical summary of each column in .describe() a data frame.
In [112]: Auto[['mpg', 'weight']].describe()
We can also produce a summary of just a single column.
In [113]: Auto['cylinders'].describe()
Auto['mpg'].describe()
To exit Jupyter, select File / Close and Halt.
2.4 Exercises
Conceptual
- For each of parts (a) through (d), indicate whether we would generally expect the performance of a fexible statistical learning method to be better or worse than an infexible method. Justify your answer.
- The sample size n is extremely large, and the number of predictors p is small.
- The number of predictors p is extremely large, and the number of observations n is small.
- The relationship between the predictors and response is highly non-linear.
- The variance of the error terms, i.e. σ2 = Var(“), is extremely high.
- Explain whether each scenario is a classifcation or regression problem, and indicate whether we are most interested in inference or prediction. Finally, provide n and p.
- We collect a set of data on the top 500 frms in the US. For each frm we record proft, number of employees, industry and the CEO salary. We are interested in understanding which factors afect CEO salary.
- We are considering launching a new product and wish to know whether it will be a success or a failure. We collect data on 20 similar products that were previously launched. For each product we have recorded whether it was a success or failure, price charged for the product, marketing budget, competition price, and ten other variables.
- We are interested in predicting the % change in the USD/Euro exchange rate in relation to the weekly changes in the world stock markets. Hence we collect weekly data for all of 2012. For each week we record the % change in the USD/Euro, the % change in the US market, the % change in the British market, and the % change in the German market.
- We now revisit the bias-variance decomposition.
- Provide a sketch of typical (squared) bias, variance, training error, test error, and Bayes (or irreducible) error curves, on a single plot, as we go from less fexible statistical learning methods towards more fexible approaches. The x-axis should represent the amount of fexibility in the method, and the y-axis should represent the values for each curve. There should be fve curves. Make sure to label each one.
- Explain why each of the fve curves has the shape displayed in part (a).
- You will now think of some real-life applications for statistical learning.
- Describe three real-life applications in which classifcation might be useful. Describe the response, as well as the predictors. Is the goal of each application inference or prediction? Explain your answer.
- Describe three real-life applications in which regression might be useful. Describe the response, as well as the predictors. Is the goal of each application inference or prediction? Explain your answer.
- Describe three real-life applications in which cluster analysis might be useful.
- What are the advantages and disadvantages of a very fexible (versus a less fexible) approach for regression or classifcation? Under what circumstances might a more fexible approach be preferred to a less fexible approach? When might a less fexible approach be preferred?
- Describe the diferences between a parametric and a non-parametric statistical learning approach. What are the advantages of a parametric approach to regression or classifcation (as opposed to a nonparametric approach)? What are its disadvantages?
- The table below provides a training data set containing six observations, three predictors, and one qualitative response variable.
| Obs. | X1 | X2 | X3 | Y |
|---|---|---|---|---|
| 1 | 0 | 3 | 0 | Red |
| 2 | 2 | 0 | 0 | Red |
| 3 | 0 | 1 | 3 | Red |
| 4 | 0 | 1 | 2 | Green |
| 5 | −1 | 0 | 1 | Green |
| 6 | 1 | 1 | 1 | Red |
Suppose we wish to use this data set to make a prediction for Y when X1 = X2 = X3 = 0 using K-nearest neighbors.
- Compute the Euclidean distance between each observation and the test point, X1 = X2 = X3 = 0.
- What is our prediction with K = 1? Why?
- What is our prediction with K = 3? Why?
- If the Bayes decision boundary in this problem is highly nonlinear, then would we expect the best value for K to be large or small? Why?
Applied
- This exercise relates to the College data set, which can be found in the fle College.csv on the book website. It contains a number of variables for 777 diferent universities and colleges in the US. The variables are
- Private : Public/private indicator
- Apps : Number of applications received
- Accept : Number of applicants accepted
- Enroll : Number of new students enrolled
- Top10perc : New students from top 10 % of high school class
- Top25perc : New students from top 25 % of high school class
- F.Undergrad : Number of full-time undergraduates
- P.Undergrad : Number of part-time undergraduates
- Outstate : Out-of-state tuition
- Room.Board : Room and board costs
- Books : Estimated book costs
- Personal : Estimated personal spending
- PhD : Percent of faculty with Ph.D.s
- Terminal : Percent of faculty with terminal degree
- S.F.Ratio : Student/faculty ratio
- perc.alumni : Percent of alumni who donate
- Expend : Instructional expenditure per student
- Grad.Rate : Graduation rate
Before reading the data into Python, it can be viewed in Excel or a text editor.
- Use the pd.read_csv() function to read the data into Python. Call the loaded data college. Make sure that you have the directory set to the correct location for the data.
- Look at the data used in the notebook by creating and running a new cell with just the code college in it. You should notice that the frst column is just the name of each university in a column named something like Unnamed: 0. We don’t really want pandas to treat this as data. However, it may be handy to have these names for later. Try the following commands and similarly look at the resulting data frames:
college2 = pd.read_csv('College.csv', index_col=0)
college3 = college.rename({'Unnamed: 0': 'College'},
axis=1)
college3 = college3.set_index('College')
This has used the frst column in the fle as an index for the data frame. This means that pandas has given each row a name corresponding to the appropriate university. Now you should see that the frst data column is Private. Note that the names of the colleges appear on the left of the table. We also introduced a new python object above: a dictionary, which is specifed by dictionary (key, value) pairs. Keep your modifed version of the data with the following:
college = college3
- Use the describe() method of to produce a numerical summary of the variables in the data set.
- Use the pd.plotting.scatter_matrix() function to produce a scatterplot matrix of the frst columns [Top10perc, Apps, Enroll]. Recall that you can reference a list C of columns of a data frame A using A[C].
- Use the boxplot() method of college to produce side-by-side boxplots of Outstate versus Private.
- Create a new qualitative variable, called Elite, by binning the Top10perc variable into two groups based on whether or not the proportion of students coming from the top 10% of their high school classes exceeds 50%.
college['Elite'] = pd.cut(college['Top10perc'],
[0,0.5,1],
labels=['No', 'Yes'])
Use the value_counts() method of college[‘Elite’] to see how many elite universities there are. Finally, use the boxplot() method again to produce side-by-side boxplots of Outstate versus Elite.
- Use the plot.hist() method of college to produce some histograms with difering numbers of bins for a few of the quantitative variables. The command plt.subplots(2, 2) may be useful: it will divide the plot window into four regions so that four plots can be made simultaneously. By changing the arguments you can divide the screen up in other combinations.
- Continue exploring the data, and provide a brief summary of what you discover.
- This exercise involves the Auto data set studied in the lab. Make sure that the missing values have been removed from the data.
- Which of the predictors are quantitative, and which are qualitative?
- What is the range of each quantitative predictor? You can answer this using the min() and max() methods in numpy. .min()
- What is the mean and standard deviation of each quantitative .max() predictor?
- Now remove the 10th through 85th observations. What is the range, mean, and standard deviation of each predictor in the subset of the data that remains?
- Using the full data set, investigate the predictors graphically, using scatterplots or other tools of your choice. Create some plots highlighting the relationships among the predictors. Comment on your fndings.
- Suppose that we wish to predict gas mileage (mpg) on the basis of the other variables. Do your plots suggest that any of the other variables might be useful in predicting mpg? Justify your answer.
- This exercise involves the Boston housing data set.
- To begin, load in the Boston data set, which is part of the ISLP library.
- How many rows are in this data set? How many columns? What do the rows and columns represent?
- Make some pairwise scatterplots of the predictors (columns) in this data set. Describe your fndings.
- Are any of the predictors associated with per capita crime rate? If so, explain the relationship.
- Do any of the suburbs of Boston appear to have particularly high crime rates? Tax rates? Pupil-teacher ratios? Comment on the range of each predictor.
- How many of the suburbs in this data set bound the Charles river?
- What is the median pupil-teacher ratio among the towns in this data set?
- Which suburb of Boston has lowest median value of owneroccupied homes? What are the values of the other predictors for that suburb, and how do those values compare to the overall ranges for those predictors? Comment on your fndings.
- In this data set, how many of the suburbs average more than seven rooms per dwelling? More than eight rooms per dwelling? Comment on the suburbs that average more than eight rooms per dwelling.
3 Linear Regression

This chapter is about linear regression, a very simple approach for supervised learning. In particular, linear regression is a useful tool for predicting a quantitative response. It has been around for a long time and is the topic of innumerable textbooks. Though it may seem somewhat dull compared to some of the more modern statistical learning approaches described in later chapters of this book, linear regression is still a useful and widely used statistical learning method. Moreover, it serves as a good jumping-of point for newer approaches: as we will see in later chapters, many fancy statistical learning approaches can be seen as generalizations or extensions of linear regression. Consequently, the importance of having a good understanding of linear regression before studying more complex learning methods cannot be overstated. In this chapter, we review some of the key ideas underlying the linear regression model, as well as the least squares approach that is most commonly used to ft this model.
Recall the Advertising data from Chapter 2. Figure 2.1 displays sales (in thousands of units) for a particular product as a function of advertising budgets (in thousands of dollars) for TV, radio, and newspaper media. Suppose that in our role as statistical consultants we are asked to suggest, on the basis of this data, a marketing plan for next year that will result in high product sales. What information would be useful in order to provide such a recommendation? Here are a few important questions that we might seek to address:
Is there a relationship between advertising budget and sales? Our frst goal should be to determine whether the data provide evidence of an association between advertising expenditure and sales. If the evidence is weak, then one might argue that no money should be spent on advertising!
How strong is the relationship between advertising budget and sales? Assuming that there is a relationship between advertising and sales, we would like to know the strength of this relationship. Does knowledge of the advertising budget provide a lot of information about product sales?
Which media are associated with sales? Are all three media—TV, radio, and newspaper—associated with sales, or are just one or two of the media associated? To answer this question, we must fnd a way to separate out the individual contribution of each medium to sales when we have spent money on all three media.
How large is the association between each medium and sales? For every dollar spent on advertising in a particular medium, by what amount will sales increase? How accurately can we predict this amount of increase?
How accurately can we predict future sales? For any given level of television, radio, or newspaper advertising, what is our prediction for sales, and what is the accuracy of this prediction?
Is the relationship linear?
If there is approximately a straight-line relationship between advertising expenditure in the various media and sales, then linear regression is an appropriate tool. If not, then it may still be possible to transform the predictor or the response so that linear regression can be used.
- Is there synergy among the advertising media?
Perhaps spending $50,000 on television advertising and $50,000 on radio advertising is associated with higher sales than allocating $100,000 to either television or radio individually. In marketing, this is known as a synergy efect, while in statistics it is called an interaction efect. synergy
interaction It turns out that linear regression can be used to answer each of these questions. We will frst discuss all of these questions in a general context, and then return to them in this specifc context in Section 3.4.
3.1 Simple Linear Regression
Simple linear regression lives up to its name: it is a very straightforward simple linear regression approach for predicting a quantitative response Y on the basis of a single predictor variable X. It assumes that there is approximately a linear relationship between X and Y . Mathematically, we can write this linear relationship as
\[ Y \approx \beta_0 + \beta_1 X. \tag{3.1} \]
You might read “≈” as “is approximately modeled as”. We will sometimes describe (3.1) by saying that we are regressing Y on X (or Y onto X). For example, X may represent TV advertising and Y may represent sales. Then we can regress sales onto TV by ftting the model
\[ sales \approx \beta_0 + \beta_1 \times \text{TV}. \]
In Equation 3.1, β0 and β1 are two unknown constants that represent the intercept and slope terms in the linear model. Together, β0 and β1 are intercept slope known as the model coefcients or parameters. Once we have used our training data to produce estimates βˆ0 and βˆ1 for the model coefcients, we can predict future sales on the basis of a particular value of TV advertising by computing
coefcient parameter
\[ \hat{y} = \hat{\beta}_0 + \hat{\beta}_1 x,\tag{3.2} \]
where yˆ indicates a prediction of Y on the basis of X = x. Here we use a hat symbol, ˆ , to denote the estimated value for an unknown parameter or coefcient, or to denote the predicted value of the response.
3.1.1 Estimating the Coefcients
In practice, β0 and β1 are unknown. So before we can use (3.1) to make predictions, we must use data to estimate the coefcients. Let
\[ (x_1,y_1), (x_2,y_2), \ldots, (x_n,y_n) \]
represent n observation pairs, each of which consists of a measurement of X and a measurement of Y . In the Advertising example, this data set consists of the TV advertising budget and product sales in n = 200 diferent markets. (Recall that the data are displayed in Figure 2.1.) Our goal is to obtain coefcient estimates βˆ0 and βˆ1 such that the linear model (3.1) fts the available data well—that is, so that yi ≈ βˆ0 + βˆ1xi for i = 1,…,n. In other words, we want to fnd an intercept βˆ0 and a slope βˆ1 such that the resulting line is as close as possible to the n = 200 data points. There are a number of ways of measuring closeness. However, by far the most common approach involves minimizing the least squares criterion, and we take least squares that approach in this chapter. Alternative approaches will be considered in Chapter 6.
Let yˆi = βˆ0 + βˆ1xi be the prediction for Y based on the ith value of X. Then ei = yi −yˆi represents the ith residual—this is the diference between residual the ith observed response value and the ith response value that is predicted by our linear model. We defne the residual sum of squares (RSS) as residual sum
\[ RSS = e_1^2 + e_2^2 + \dots + e_n^2, \] of squares
or equivalently as
RSS = \[ (y_1 - \hat{\beta}_0 - \hat{\beta}_1 x_1)^2 + (y_2 - \hat{\beta}_0 - \hat{\beta}_1 x_2)^2 + \cdots + (y_n - \hat{\beta}_0 - \hat{\beta}_1 x_n)^2 \] . (3.3)
The least squares approach chooses βˆ0 and βˆ1 to minimize the RSS. Using some calculus, one can show that the minimizers are
\[ \hat{\beta}_1 = \frac{\sum_{i=1}^n (x_i - \bar{x})(y_i - \bar{y})}{\sum_{i=1}^n (x_i - \bar{x})^2}, \] \[ \hat{\beta}_0 = \bar{y} - \hat{\beta}_1 \bar{x}, \] (3.4)

FIGURE 3.1. For the Advertising data, the least squares ft for the regression of sales onto TV is shown. The ft is found by minimizing the residual sum of squares. Each grey line segment represents a residual. In this case a linear ft captures the essence of the relationship, although it overestimates the trend in the left of the plot.
where y¯ ≡ 1 n )n i=1 yi and x¯ ≡ 1 n )n i=1 xi are the sample means. In other words, (3.4) defnes the least squares coefcient estimates for simple linear regression.
Figure 3.1 displays the simple linear regression ft to the Advertising data, where βˆ0 = 7.03 and βˆ1 = 0.0475. In other words, according to this approximation, an additional $1,000 spent on TV advertising is associated with selling approximately 47.5 additional units of the product. In Figure 3.2, we have computed RSS for a number of values of β0 and β1, using the advertising data with sales as the response and TV as the predictor. In each plot, the red dot represents the pair of least squares estimates (βˆ0, βˆ1) given by (3.4). These values clearly minimize the RSS.
3.1.2 Assessing the Accuracy of the Coefcient Estimates
Recall from (2.1) that we assume that the true relationship between X and Y takes the form Y = f(X) + ” for some unknown function f, where ” is a mean-zero random error term. If f is to be approximated by a linear function, then we can write this relationship as
\[ Y = \beta_0 + \beta_1 X + \epsilon. \tag{3.5} \]
Here β0 is the intercept term—that is, the expected value of Y when X = 0, and β1 is the slope—the average increase in Y associated with a one-unit increase in X. The error term is a catch-all for what we miss with this simple model: the true relationship is probably not linear, there may be other variables that cause variation in Y , and there may be measurement error. We typically assume that the error term is independent of X.

FIGURE 3.2. Contour and three-dimensional plots of the RSS on the Advertising data, using sales as the response and TV as the predictor. The red dots correspond to the least squares estimates βˆ0 and βˆ1, given by (3.4).
The model given by (3.5) defnes the population regression line, which population is the best linear approximation to the true relationship between X and Y . 1 The least squares regression coefcient estimates (3.4) characterize the least squares line (3.2). The left-hand panel of Figure 3.3 displays these least squares line two lines in a simple simulated example. We created 100 random Xs, and generated 100 corresponding Y s from the model
regression line
\[ Y = 2 + 3X + \epsilon,\tag{3.6} \]
where ” was generated from a normal distribution with mean zero. The red line in the left-hand panel of Figure 3.3 displays the true relationship, f(X) = 2+3X, while the blue line is the least squares estimate based on the observed data. The true relationship is generally not known for real data, but the least squares line can always be computed using the coefcient estimates given in (3.4). In other words, in real applications, we have access to a set of observations from which we can compute the least squares line; however, the population regression line is unobserved. In the right-hand panel of Figure 3.3 we have generated ten diferent data sets from the model given by (3.6) and plotted the corresponding ten least squares lines. Notice that diferent data sets generated from the same true model result in slightly diferent least squares lines, but the unobserved population regression line does not change.
At frst glance, the diference between the population regression line and the least squares line may seem subtle and confusing. We only have one data set, and so what does it mean that two diferent lines describe the relationship between the predictor and the response? Fundamentally, the concept of these two lines is a natural extension of the standard statistical approach of using information from a sample to estimate characteristics of a large population. For example, suppose that we are interested in knowing
1The assumption of linearity is often a useful working model. However, despite what many textbooks might tell us, we seldom believe that the true relationship is linear.

FIGURE 3.3. A simulated data set. Left: The red line represents the true relationship, f(X)= 2+3X, which is known as the population regression line. The blue line is the least squares line; it is the least squares estimate for f(X) based on the observed data, shown in black. Right: The population regression line is again shown in red, and the least squares line in dark blue. In light blue, ten least squares lines are shown, each computed on the basis of a separate random set of observations. Each least squares line is diferent, but on average, the least squares lines are quite close to the population regression line.
the population mean µ of some random variable Y . Unfortunately, µ is unknown, but we do have access to n observations from Y , y1,…,yn, which we can use to estimate µ. A reasonable estimate is µˆ = ¯y, where y¯ = 1 n )n i=1 yi is the sample mean. The sample mean and the population mean are diferent, but in general the sample mean will provide a good estimate of the population mean. In the same way, the unknown coefcients β0 and β1 in linear regression defne the population regression line. We seek to estimate these unknown coefcients using βˆ0 and βˆ1 given in (3.4). These coefcient estimates defne the least squares line.
The analogy between linear regression and estimation of the mean of a random variable is an apt one based on the concept of bias. If we use the bias sample mean µˆ to estimate µ, this estimate is unbiased, in the sense that unbiased on average, we expect µˆ to equal µ. What exactly does this mean? It means that on the basis of one particular set of observations y1,…,yn, µˆ might overestimate µ, and on the basis of another set of observations, µˆ might underestimate µ. But if we could average a huge number of estimates of µ obtained from a huge number of sets of observations, then this average would exactly equal µ. Hence, an unbiased estimator does not systematically over- or under-estimate the true parameter. The property of unbiasedness holds for the least squares coefcient estimates given by (3.4) as well: if we estimate β0 and β1 on the basis of a particular data set, then our estimates won’t be exactly equal to β0 and β1. But if we could average the estimates obtained over a huge number of data sets, then the average of these estimates would be spot on! In fact, we can see from the righthand panel of Figure 3.3 that the average of many least squares lines, each
estimated from a separate data set, is pretty close to the true population regression line.
We continue the analogy with the estimation of the population mean µ of a random variable Y . A natural question is as follows: how accurate is the sample mean µˆ as an estimate of µ? We have established that the average of µˆ’s over many data sets will be very close to µ, but that a single estimate µˆ may be a substantial underestimate or overestimate of µ. How far of will that single estimate of µˆ be? In general, we answer this question by computing the standard error of µˆ, written as SE(ˆµ). We have standard error the well-known formula
\[ Var(\hat{\mu}) = SE(\hat{\mu})^2 = \frac{\sigma^2}{n}, \] (3.7)
where σ is the standard deviation of each of the realizations yi of Y . 2 Roughly speaking, the standard error tells us the average amount that this estimate µˆ difers from the actual value of µ. Equation 3.7 also tells us how this deviation shrinks with n—the more observations we have, the smaller the standard error of µˆ. In a similar vein, we can wonder how close βˆ0 and βˆ1 are to the true values β0 and β1. To compute the standard errors associated with βˆ0 and βˆ1, we use the following formulas:
\[ \text{SE}(\hat{\beta}_0)^2 = \sigma^2 \left[ \frac{1}{n} + \frac{\bar{x}^2}{\sum_{i=1}^n (x_i - \bar{x})^2} \right], \quad \text{SE}(\hat{\beta}_1)^2 = \frac{\sigma^2}{\sum_{i=1}^n (x_i - \bar{x})^2}, \tag{3.8} \]
where σ2 = Var(“). For these formulas to be strictly valid, we need to assume that the errors”i for each observation have common variance σ2 and are uncorrelated. This is clearly not true in Figure 3.1, but the formula still turns out to be a good approximation. Notice in the formula that SE(βˆ1) is smaller when the xi are more spread out; intuitively we have more leverage to estimate a slope when this is the case. We also see that SE(βˆ0) would be the same as SE(ˆµ) if x¯ were zero (in which case βˆ0 would be equal to y¯). In general, σ2 is not known, but can be estimated from the data. This estimate of σ is known as the residual standard error, and is given by the formula residual RSE = 5RSS/(n − 2). Strictly speaking, when σ2 is estimated from the data we should write SE( 6 βˆ1) to indicate that an estimate has been made, but for simplicity of notation we will drop this extra “hat”.
standard error
Standard errors can be used to compute confdence intervals. A 95 % confdence interval confdence interval is defned as a range of values such that with 95 % probability, the range will contain the true unknown value of the parameter. The range is defned in terms of lower and upper limits computed from the sample of data. A 95% confdence interval has the following property: if we take repeated samples and construct the confdence interval for each sample, 95% of the intervals will contain the true unknown value of the parameter. For linear regression, the 95 % confdence interval for β1 approximately takes the form
\[ \hat{\beta}_1 \pm 2 \cdot \text{SE}(\hat{\beta}_1). \tag{3.9} \]
2This formula holds provided that the n observations are uncorrelated.
That is, there is approximately a 95 % chance that the interval
\[ \left[\hat{\beta}_1 - 2 \cdot \text{SE}(\hat{\beta}_1), \ \hat{\beta}_1 + 2 \cdot \text{SE}(\hat{\beta}_1)\right] \] (3.10)
will contain the true value of β1. 3 Similarly, a confdence interval for β0 approximately takes the form
\[ \hat{\beta}_0 \pm 2 \cdot \text{SE}(\hat{\beta}_0). \tag{3.11} \]
In the case of the advertising data, the 95 % confdence interval for β0 is [6.130, 7.935] and the 95 % confdence interval for β1 is [0.042, 0.053]. Therefore, we can conclude that in the absence of any advertising, sales will, on average, fall somewhere between 6,130 and 7,935 units. Furthermore, for each $1,000 increase in television advertising, there will be an average increase in sales of between 42 and 53 units.
Standard errors can also be used to perform hypothesis tests on the hypothesis test coefcients. The most common hypothesis test involves testing the null hypothesis of null
hypothesis H0 : There is no relationship between X and Y (3.12)
versus the alternative hypothesis alternative
hypothesis Ha : There is some relationship between X and Y . (3.13)
Mathematically, this corresponds to testing
\[ H_0: \beta_1 = 0 \]
versus
\[ H_a: \beta_1 \neq 0, \]
since if β1 = 0 then the model (3.5) reduces to Y = β0 + “, and X is not associated with Y . To test the null hypothesis, we need to determine whether βˆ1, our estimate for β1, is sufciently far from zero that we can be confdent that β1 is non-zero. How far is far enough? This of course depends on the accuracy of βˆ1—that is, it depends on SE(βˆ1). If SE(βˆ1) is small, then even relatively small values of βˆ1 may provide strong evidence that β1 %= 0, and hence that there is a relationship between X and Y . In contrast, if SE(βˆ1) is large, then βˆ1 must be large in absolute value in order for us to reject the null hypothesis. In practice, we compute a t-statistic, t-statistic given by
\[ t = \frac{\hat{\beta}_1 - 0}{\text{SE}(\hat{\beta}_1)},\tag{3.14} \]
3Approximately for several reasons. Equation 3.10 relies on the assumption that the errors are Gaussian. Also, the factor of 2 in front of the SE(βˆ1) term will vary slightly depending on the number of observations n in the linear regression. To be precise, rather than the number 2, (3.10) should contain the 97.5 % quantile of a t-distribution with n−2 degrees of freedom. Details of how to compute the 95 % confdence interval precisely in R will be provided later in this chapter.
| Coefcient | Std. error | t-statistic | p-value | |
|---|---|---|---|---|
| Intercept | 7.0325 | 0.4578 | 15.36 | < 0.0001 |
| TV | 0.0475 | 0.0027 | 17.67 | < 0.0001 |
TABLE 3.1. For the Advertising data, coefcients of the least squares model for the regression of number of units sold on TV advertising budget. An increase of $1,000 in the TV advertising budget is associated with an increase in sales by around 50 units. (Recall that the sales variable is in thousands of units, and the TV variable is in thousands of dollars.)
which measures the number of standard deviations that βˆ1 is away from 0. If there really is no relationship between X and Y , then we expect that (3.14) will have a t-distribution with n − 2 degrees of freedom. The t-distribution has a bell shape and for values of n greater than approximately 30 it is quite similar to the standard normal distribution. Consequently, it is a simple matter to compute the probability of observing any number equal to |t| or larger in absolute value, assuming β1 = 0. We call this probability the p-value. Roughly speaking, we interpret the p-value as follows: a small p-value p-value indicates that it is unlikely to observe such a substantial association between the predictor and the response due to chance, in the absence of any real association between the predictor and the response. Hence, if we see a small p-value, then we can infer that there is an association between the predictor and the response. We reject the null hypothesis—that is, we declare a relationship to exist between X and Y —if the p-value is small enough. Typical p-value cutofs for rejecting the null hypothesis are 5% or 1%, although this topic will be explored in much greater detail in Chapter 13. When n = 30, these correspond to t-statistics (3.14) of around 2 and 2.75, respectively.
Table 3.1 provides details of the least squares model for the regression of number of units sold on TV advertising budget for the Advertising data. Notice that the coefcients for βˆ0 and βˆ1 are very large relative to their standard errors, so the t-statistics are also large; the probabilities of seeing such values if H0 is true are virtually zero. Hence we can conclude that β0 %= 0 and β1 %= 0. 4
3.1.3 Assessing the Accuracy of the Model
Once we have rejected the null hypothesis (3.12) in favor of the alternative hypothesis (3.13), it is natural to want to quantify the extent to which the model fts the data. The quality of a linear regression ft is typically assessed using two related quantities: the residual standard error (RSE) and the R2 statistic.
R2
4In Table 3.1, a small p-value for the intercept indicates that we can reject the null hypothesis that β0 = 0, and a small p-value for TV indicates that we can reject the null hypothesis that β1 = 0. Rejecting the latter null hypothesis allows us to conclude that there is a relationship between TV and sales. Rejecting the former allows us to conclude that in the absence of TV expenditure, sales are non-zero.
| Quantity | Value |
|---|---|
| Residual standard error | 3.26 |
| R2 | 0.612 |
| F-statistic | 312.1 |
TABLE 3.2. For the Advertising data, more information about the least squares model for the regression of number of units sold on TV advertising budget.
Table 3.2 displays the RSE, the R2 statistic, and the F-statistic (to be described in Section 3.2.2) for the linear regression of number of units sold on TV advertising budget.
Residual Standard Error
Recall from the model (3.5) that associated with each observation is an error term “. Due to the presence of these error terms, even if we knew the true regression line (i.e. even if β0 and β1 were known), we would not be able to perfectly predict Y from X. The RSE is an estimate of the standard deviation of”. Roughly speaking, it is the average amount that the response will deviate from the true regression line. It is computed using the formula
\[ \text{RSE} = \sqrt{\frac{1}{n-2} \text{RSS}} = \sqrt{\frac{1}{n-2} \sum_{i=1}^{n} (y_i - \hat{y}_i)^2}. \] (3.15)
Note that RSS was defned in Section 3.1.1, and is given by the formula
RSS = \[ \sum_{i=1}^{n} (y_i - \hat{y}_i)^2. \] (3.16)
In the case of the advertising data, we see from the linear regression output in Table 3.2 that the RSE is 3.26. In other words, actual sales in each market deviate from the true regression line by approximately 3,260 units, on average. Another way to think about this is that even if the model were correct and the true values of the unknown coefcients β0 and β1 were known exactly, any prediction of sales on the basis of TV advertising would still be of by about 3,260 units on average. Of course, whether or not 3,260 units is an acceptable prediction error depends on the problem context. In the advertising data set, the mean value of sales over all markets is approximately 14,000 units, and so the percentage error is 3,260/14,000 = 23 %.
The RSE is considered a measure of the lack of ft of the model (3.5) to the data. If the predictions obtained using the model are very close to the true outcome values—that is, if yˆi ≈ yi for i = 1,…,n—then (3.15) will be small, and we can conclude that the model fts the data very well. On the other hand, if yˆi is very far from yi for one or more observations, then the RSE may be quite large, indicating that the model doesn’t ft the data well.
R2 Statistic
The RSE provides an absolute measure of lack of ft of the model (3.5) to the data. But since it is measured in the units of Y , it is not always clear what constitutes a good RSE. The R2 statistic provides an alternative measure of ft. It takes the form of a proportion—the proportion of variance explained—and so it always takes on a value between 0 and 1, and is independent of the scale of Y .
To calculate R2, we use the formula
\[ R^2 = \frac{\text{TSS} - \text{RSS}}{\text{TSS}} = 1 - \frac{\text{RSS}}{\text{TSS}}\tag{3.17} \]
where TSS = )(yi − y¯)2 is the total sum of squares, and RSS is defned total sum of squares in (3.16). TSS measures the total variance in the response Y , and can be thought of as the amount of variability inherent in the response before the regression is performed. In contrast, RSS measures the amount of variability that is left unexplained after performing the regression. Hence, TSS − RSS measures the amount of variability in the response that is explained (or removed) by performing the regression, and R2 measures the proportion of variability in Y that can be explained using X. An R2 statistic that is close to 1 indicates that a large proportion of the variability in the response is explained by the regression. A number near 0 indicates that the regression does not explain much of the variability in the response; this might occur because the linear model is wrong, or the error variance σ2 is high, or both. In Table 3.2, the R2 was 0.61, and so just under two-thirds of the variability in sales is explained by a linear regression on TV.
The R2 statistic (3.17) has an interpretational advantage over the RSE (3.15), since unlike the RSE, it always lies between 0 and 1. However, it can still be challenging to determine what is a good R2 value, and in general, this will depend on the application. For instance, in certain problems in physics, we may know that the data truly comes from a linear model with a small residual error. In this case, we would expect to see an R2 value that is extremely close to 1, and a substantially smaller R2 value might indicate a serious problem with the experiment in which the data were generated. On the other hand, in typical applications in biology, psychology, marketing, and other domains, the linear model (3.5) is at best an extremely rough approximation to the data, and residual errors due to other unmeasured factors are often very large. In this setting, we would expect only a very small proportion of the variance in the response to be explained by the predictor, and an R2 value well below 0.1 might be more realistic!
The R2 statistic is a measure of the linear relationship between X and Y . Recall that correlation, defned as correlation
\[ Cor(X, Y) = \frac{\sum_{i=1}^{n} (x_i - \overline{x})(y_i - \overline{y})}{\sqrt{\sum_{i=1}^{n} (x_i - \overline{x})^2} \sqrt{\sum_{i=1}^{n} (y_i - \overline{y})^2}}, \] (3.18)
is also a measure of the linear relationship between X and Y . 5 This suggests that we might be able to use r = Cor(X, Y ) instead of R2 in order to assess the ft of the linear model. In fact, it can be shown that in the simple
5We note that in fact, the right-hand side of (3.18) is the sample correlation; thus, it would be more correct to write Cor!(X, Y ); however, we omit the “hat” for ease of notation.
| Coefcient | Std. error | t-statistic | p-value | |
|---|---|---|---|---|
| Intercept | 9.312 | 0.563 | 16.54 | < 0.0001 |
| radio | 0.203 | 0.020 | 9.92 | < 0.0001 |
Simple regression of sales on radio
Simple regression of sales on newspaper
| Coefcient | Std. error | t-statistic | p-value | |
|---|---|---|---|---|
| Intercept | 12.351 | 0.621 | 19.88 | < 0.0001 |
| newspaper | 0.055 | 0.017 | 3.30 | 0.00115 |
TABLE 3.3. More simple linear regression models for the Advertising data. Coefcients of the simple linear regression model for number of units sold on Top: radio advertising budget and Bottom: newspaper advertising budget. A $1,000 increase in spending on radio advertising is associated with an average increase in sales by around 203 units, while the same increase in spending on newspaper advertising is associated with an average increase in sales by around 55 units. (Note that the sales variable is in thousands of units, and the radio and newspaper variables are in thousands of dollars.)
linear regression setting, R2 = r2. In other words, the squared correlation and the R2 statistic are identical. However, in the next section we will discuss the multiple linear regression problem, in which we use several predictors simultaneously to predict the response. The concept of correlation between the predictors and the response does not extend automatically to this setting, since correlation quantifes the association between a single pair of variables rather than between a larger number of variables. We will see that R2 flls this role.
3.2 Multiple Linear Regression
Simple linear regression is a useful approach for predicting a response on the basis of a single predictor variable. However, in practice we often have more than one predictor. For example, in the Advertising data, we have examined the relationship between sales and TV advertising. We also have data for the amount of money spent advertising on the radio and in newspapers, and we may want to know whether either of these two media is associated with sales. How can we extend our analysis of the advertising data in order to accommodate these two additional predictors?
One option is to run three separate simple linear regressions, each of which uses a diferent advertising medium as a predictor. For instance, we can ft a simple linear regression to predict sales on the basis of the amount spent on radio advertisements. Results are shown in Table 3.3 (top table). We fnd that a $1,000 increase in spending on radio advertising is associated with an increase in sales of around 203 units. Table 3.3 (bottom table) contains the least squares coefcients for a simple linear regression of sales onto newspaper advertising budget. A $1,000 increase in newspaper advertising budget is associated with an increase in sales of approximately 55 units.
However, the approach of ftting a separate simple linear regression model for each predictor is not entirely satisfactory. First of all, it is unclear how to make a single prediction of sales given the three advertising media budgets, since each of the budgets is associated with a separate regression equation. Second, each of the three regression equations ignores the other two media in forming estimates for the regression coefcients. We will see shortly that if the media budgets are correlated with each other in the 200 markets in our data set, then this can lead to very misleading estimates of the association between each media budget and sales.
Instead of ftting a separate simple linear regression model for each predictor, a better approach is to extend the simple linear regression model (3.5) so that it can directly accommodate multiple predictors. We can do this by giving each predictor a separate slope coefcient in a single model. In general, suppose that we have p distinct predictors. Then the multiple linear regression model takes the form
\[ Y = \beta_0 + \beta_1 X_1 + \beta_2 X_2 + \dots + \beta_p X_p + \epsilon, \] (3.19)
where Xj represents the jth predictor and βj quantifes the association between that variable and the response. We interpret βj as the average efect on Y of a one unit increase in Xj , holding all other predictors fxed. In the advertising example, (3.19) becomes
\[ \mathsf{sales} = \beta_0 + \beta_1 \times \mathsf{TV} + \beta_2 \times \mathsf{radio} + \beta_3 \times \mathsf{newspaper} + \epsilon. \tag{3.20} \]
3.2.1 Estimating the Regression Coefcients
As was the case in the simple linear regression setting, the regression coeffcients β0, β1,…, βp in (3.19) are unknown, and must be estimated. Given estimates βˆ0, βˆ1,…, βˆp, we can make predictions using the formula
\[ \hat{y} = \hat{\beta}_0 + \hat{\beta}_1 x_1 + \hat{\beta}_2 x_2 + \dots + \hat{\beta}_p x_p. \] (3.21)
The parameters are estimated using the same least squares approach that we saw in the context of simple linear regression. We choose β0, β1,…, βp to minimize the sum of squared residuals
RSS = \[ \sum_{i=1}^{n} (y_i - \hat{y}_i)^2 \]
= \[ \sum_{i=1}^{n} (y_i - \hat{\beta}_0 - \hat{\beta}_1 x_{i1} - \hat{\beta}_2 x_{i2} - \dots - \hat{\beta}_p x_{ip})^2. \] (3.22)
The values βˆ0, βˆ1,…, βˆp that minimize (3.22) are the multiple least squares regression coefcient estimates. Unlike the simple linear regression estimates given in (3.4), the multiple regression coefcient estimates have somewhat complicated forms that are most easily represented using matrix algebra. For this reason, we do not provide them here. Any statistical software package can be used to compute these coefcient estimates, and later in this chapter we will show how this can be done in R. Figure 3.4

FIGURE 3.4. In a three-dimensional setting, with two predictors and one response, the least squares regression line becomes a plane. The plane is chosen to minimize the sum of the squared vertical distances between each observation (shown in red) and the plane.
illustrates an example of the least squares ft to a toy data set with p = 2 predictors.
Table 3.4 displays the multiple regression coefcient estimates when TV, radio, and newspaper advertising budgets are used to predict product sales using the Advertising data. We interpret these results as follows: for a given amount of TV and newspaper advertising, spending an additional $1,000 on radio advertising is associated with approximately 189 units of additional sales. Comparing these coefcient estimates to those displayed in Tables 3.1 and 3.3, we notice that the multiple regression coefcient estimates for TV and radio are pretty similar to the simple linear regression coefcient estimates. However, while the newspaper regression coefcient estimate in Table 3.3 was signifcantly non-zero, the coefcient estimate for newspaper in the multiple regression model is close to zero, and the corresponding pvalue is no longer signifcant, with a value around 0.86. This illustrates that the simple and multiple regression coefcients can be quite diferent. This diference stems from the fact that in the simple regression case, the slope term represents the average increase in product sales associated with a $1,000 increase in newspaper advertising, ignoring other predictors such as TV and radio. By contrast, in the multiple regression setting, the coefcient for newspaper represents the average increase in product sales associated with increasing newspaper spending by $1,000 while holding TV and radio fxed.
Does it make sense for the multiple regression to suggest no relationship between sales and newspaper while the simple linear regression implies the
| Coefcient | Std. error | t-statistic | p-value | |
|---|---|---|---|---|
| Intercept | 2.939 | 0.3119 | 9.42 | < 0.0001 |
| TV | 0.046 | 0.0014 | 32.81 | < 0.0001 |
| radio | 0.189 | 0.0086 | 21.89 | < 0.0001 |
| newspaper | −0.001 | 0.0059 | −0.18 | 0.8599 |
TABLE 3.4. For the Advertising data, least squares coefcient estimates of the multiple linear regression of number of units sold on TV, radio, and newspaper advertising budgets.
| TV | radio | newspaper | sales | |
|---|---|---|---|---|
| TV | 1.0000 | 0.0548 | 0.0567 | 0.7822 |
| radio | 1.0000 | 0.3541 | 0.5762 | |
| newspaper | 1.0000 | 0.2283 | ||
| sales | 1.0000 |
TABLE 3.5. Correlation matrix for TV, radio, newspaper, and sales for the Advertising data.
opposite? In fact it does. Consider the correlation matrix for the three predictor variables and response variable, displayed in Table 3.5. Notice that the correlation between radio and newspaper is 0.35. This indicates that markets with high newspaper advertising tend to also have high radio advertising. Now suppose that the multiple regression is correct and newspaper advertising is not associated with sales, but radio advertising is associated with sales. Then in markets where we spend more on radio our sales will tend to be higher, and as our correlation matrix shows, we also tend to spend more on newspaper advertising in those same markets. Hence, in a simple linear regression which only examines sales versus newspaper, we will observe that higher values of newspaper tend to be associated with higher values of sales, even though newspaper advertising is not directly associated with sales. So newspaper advertising is a surrogate for radio advertising; newspaper gets “credit” for the association between radio on sales.
This slightly counterintuitive result is very common in many real life situations. Consider an absurd example to illustrate the point. Running a regression of shark attacks versus ice cream sales for data collected at a given beach community over a period of time would show a positive relationship, similar to that seen between sales and newspaper. Of course no one has (yet) suggested that ice creams should be banned at beaches to reduce shark attacks. In reality, higher temperatures cause more people to visit the beach, which in turn results in more ice cream sales and more shark attacks. A multiple regression of shark attacks onto ice cream sales and temperature reveals that, as intuition implies, ice cream sales is no longer a signifcant predictor after adjusting for temperature.
3.2.2 Some Important Questions
When we perform multiple linear regression, we usually are interested in answering a few important questions.
- 84 3. Linear Regression
- Is at least one of the predictors X1, X2,…,Xp useful in predicting the response?
- Do all the predictors help to explain Y , or is only a subset of the predictors useful?
- How well does the model ft the data?
- Given a set of predictor values, what response value should we predict, and how accurate is our prediction?
We now address each of these questions in turn.
One: Is There a Relationship Between the Response and Predictors?
Recall that in the simple linear regression setting, in order to determine whether there is a relationship between the response and the predictor we can simply check whether β1 = 0. In the multiple regression setting with p predictors, we need to ask whether all of the regression coefcients are zero, i.e. whether β1 = β2 = ··· = βp = 0. As in the simple linear regression setting, we use a hypothesis test to answer this question. We test the null hypothesis,
\[ H_0: \beta_1 = \beta_2 = \cdots = \beta_p = 0 \]
versus the alternative
Ha : at least one βj is non-zero.
This hypothesis test is performed by computing the F-statistic, F-statistic
\[ F = \frac{(\text{TSS} - \text{RSS})/p}{\text{RSS}/(n - p - 1)},\tag{3.23} \]
where, as with simple linear regression, TSS = )(yi − y¯)2 ) and RSS = (yi −yˆi)2. If the linear model assumptions are correct, one can show that
\[ E\{\text{RSS}/(n-p-1)\} = \sigma^2 \]
and that, provided H0 is true,
\[ E\{(\text{TSS} - \text{RSS})/p\} = \sigma^2. \]
Hence, when there is no relationship between the response and predictors, one would expect the F-statistic to take on a value close to 1. On the other hand, if Ha is true, then E{(TSS − RSS)/p} > σ2, so we expect F to be greater than 1.
The F-statistic for the multiple linear regression model obtained by regressing sales onto radio, TV, and newspaper is shown in Table 3.6. In this example the F-statistic is 570. Since this is far larger than 1, it provides compelling evidence against the null hypothesis H0. In other words, the large F-statistic suggests that at least one of the advertising media must be related to sales. However, what if the F-statistic had been closer to 1? How large does the F-statistic need to be before we can reject H0 and
| Quantity | Value |
|---|---|
| Residual standard error | 1.69 |
| R2 | 0.897 |
| F-statistic | 570 |
TABLE 3.6. More information about the least squares model for the regression of number of units sold on TV, newspaper, and radio advertising budgets in the Advertising data. Other information about this model was displayed in Table 3.4.
conclude that there is a relationship? It turns out that the answer depends on the values of n and p. When n is large, an F-statistic that is just a little larger than 1 might still provide evidence against H0. In contrast, a larger F-statistic is needed to reject H0 if n is small. When H0 is true and the errors “i have a normal distribution, the F-statistic follows an F-distribution.6 For any given value of n and p, any statistical software package can be used to compute the p-value associated with the F-statistic using this distribution. Based on this p-value, we can determine whether or not to reject H0. For the advertising data, the p-value associated with the F-statistic in Table 3.6 is essentially zero, so we have extremely strong evidence that at least one of the media is associated with increased sales.
In (3.23) we are testing H0 that all the coefcients are zero. Sometimes we want to test that a particular subset of q of the coefcients are zero. This corresponds to a null hypothesis
\[ H_0: \quad \beta_{p-q+1} = \beta_{p-q+2} = \cdots = \beta_p = 0, \]
where for convenience we have put the variables chosen for omission at the end of the list. In this case we ft a second model that uses all the variables except those last q. Suppose that the residual sum of squares for that model is RSS0. Then the appropriate F-statistic is
\[ F = \frac{(\text{RSS}_0 - \text{RSS})/q}{\text{RSS}/(n - p - 1)}. \] (3.24)
Notice that in Table 3.4, for each individual predictor a t-statistic and a p-value were reported. These provide information about whether each individual predictor is related to the response, after adjusting for the other predictors. It turns out that each of these is exactly equivalent7 to the Ftest that omits that single variable from the model, leaving all the others in—i.e. q=1 in (3.24). So it reports the partial efect of adding that variable to the model. For instance, as we discussed earlier, these p-values indicate that TV and radio are related to sales, but that there is no evidence that newspaper is associated with sales, when TV and radio are held fxed.
Given these individual p-values for each variable, why do we need to look at the overall F-statistic? After all, it seems likely that if any one of the p-values for the individual variables is very small, then at least one of the predictors is related to the response. However, this logic is fawed, especially when the number of predictors p is large.
6Even if the errors are not normally-distributed, the F-statistic approximately follows an F-distribution provided that the sample size n is large.
7The square of each t-statistic is the corresponding F-statistic.
For instance, consider an example in which p = 100 and H0 : β1 = β2 = ··· = βp = 0 is true, so no variable is truly associated with the response. In this situation, about 5 % of the p-values associated with each variable (of the type shown in Table 3.4) will be below 0.05 by chance. In other words, we expect to see approximately fve small p-values even in the absence of any true association between the predictors and the response.8 In fact, it is likely that we will observe at least one p-value below 0.05 by chance! Hence, if we use the individual t-statistics and associated p-values in order to decide whether or not there is any association between the variables and the response, there is a very high chance that we will incorrectly conclude that there is a relationship. However, the F-statistic does not sufer from this problem because it adjusts for the number of predictors. Hence, if H0 is true, there is only a 5 % chance that the F-statistic will result in a pvalue below 0.05, regardless of the number of predictors or the number of observations.
The approach of using an F-statistic to test for any association between the predictors and the response works when p is relatively small, and certainly small compared to n. However, sometimes we have a very large number of variables. If p>n then there are more coefcients βj to estimate than observations from which to estimate them. In this case we cannot even ft the multiple linear regression model using least squares, so the Fstatistic cannot be used, and neither can most of the other concepts that we have seen so far in this chapter. When p is large, some of the approaches discussed in the next section, such as forward selection, can be used. This high-dimensional setting is discussed in greater detail in Chapter 6. high-
dimensional
Two: Deciding on Important Variables
As discussed in the previous section, the frst step in a multiple regression analysis is to compute the F-statistic and to examine the associated pvalue. If we conclude on the basis of that p-value that at least one of the predictors is related to the response, then it is natural to wonder which are the guilty ones! We could look at the individual p-values as in Table 3.4, but as discussed (and as further explored in Chapter 13), if p is large we are likely to make some false discoveries.
It is possible that all of the predictors are associated with the response, but it is more often the case that the response is only associated with a subset of the predictors. The task of determining which predictors are associated with the response, in order to ft a single model involving only those predictors, is referred to as variable selection. The variable selection variable selection problem is studied extensively in Chapter 6, and so here we will provide only a brief outline of some classical approaches.
Ideally, we would like to perform variable selection by trying out a lot of diferent models, each containing a diferent subset of the predictors. For instance, if p = 2, then we can consider four models: (1) a model containing no variables, (2) a model containing X1 only, (3) a model containing
8This is related to the important concept of multiple testing, which is the focus of Chapter 13.
X2 only, and (4) a model containing both X1 and X2. We can then select the best model out of all of the models that we have considered. How do we determine which model is best? Various statistics can be used to judge the quality of a model. These include Mallow’s Cp, Akaike informa- Mallow’s Cp tion criterion (AIC), Bayesian information criterion (BIC), and adjusted Akaike R2. These are discussed in more detail in Chapter 6. We can also determine which model is best by plotting various model outputs, such as the residuals, in order to search for patterns.
Unfortunately, there are a total of 2p models that contain subsets of p variables. This means that even for moderate p, trying out every possible subset of the predictors is infeasible. For instance, we saw that if p = 2, then there are 22 = 4 models to consider. But if p = 30, then we must consider 230 = 1,073,741,824 models! This is not practical. Therefore, unless p is very small, we cannot consider all 2p models, and instead we need an automated and efcient approach to choose a smaller set of models to consider. There are three classical approaches for this task:
- Forward selection. We begin with the null model—a model that con- forward tains an intercept but no predictors. We then ft p simple linear regressions and add to the null model the variable that results in the lowest RSS. We then add to that model the variable that results in the lowest RSS for the new two-variable model. This approach is continued until some stopping rule is satisfed.
- Backward selection. We start with all variables in the model, and backward selection remove the variable with the largest p-value—that is, the variable that is the least statistically signifcant. The new (p − 1)-variable model is ft, and the variable with the largest p-value is removed. This procedure continues until a stopping rule is reached. For instance, we may stop when all remaining variables have a p-value below some threshold.
- Mixed selection. This is a combination of forward and backward se- mixed selection lection. We start with no variables in the model, and as with forward selection, we add the variable that provides the best ft. We continue to add variables one-by-one. Of course, as we noted with the Advertising example, the p-values for variables can become larger as new predictors are added to the model. Hence, if at any point the p-value for one of the variables in the model rises above a certain threshold, then we remove that variable from the model. We continue to perform these forward and backward steps until all variables in the model have a sufciently low p-value, and all variables outside the model would have a large p-value if added to the model.
Backward selection cannot be used if p>n, while forward selection can always be used. Forward selection is a greedy approach, and might include variables early that later become redundant. Mixed selection can remedy this.
information criterion Bayesian information criterion adjusted R2
selection null model
Three: Model Fit
Two of the most common numerical measures of model ft are the RSE and R2, the fraction of variance explained. These quantities are computed and interpreted in the same fashion as for simple linear regression.
Recall that in simple regression, R2 is the square of the correlation of the response and the variable. In multiple linear regression, it turns out that it equals Cor(Y, Yˆ )2, the square of the correlation between the response and the ftted linear model; in fact one property of the ftted linear model is that it maximizes this correlation among all possible linear models.
An R2 value close to 1 indicates that the model explains a large portion of the variance in the response variable. As an example, we saw in Table 3.6 that for the Advertising data, the model that uses all three advertising media to predict sales has an R2 of 0.8972. On the other hand, the model that uses only TV and radio to predict sales has an R2 value of 0.89719. In other words, there is a small increase in R2 if we include newspaper advertising in the model that already contains TV and radio advertising, even though we saw earlier that the p-value for newspaper advertising in Table 3.4 is not signifcant. It turns out that R2 will always increase when more variables are added to the model, even if those variables are only weakly associated with the response. This is due to the fact that adding another variable always results in a decrease in the residual sum of squares on the training data (though not necessarily the testing data). Thus, the R2 statistic, which is also computed on the training data, must increase. The fact that adding newspaper advertising to the model containing only TV and radio advertising leads to just a tiny increase in R2 provides additional evidence that newspaper can be dropped from the model. Essentially, newspaper provides no real improvement in the model ft to the training samples, and its inclusion will likely lead to poor results on independent test samples due to overftting.
By contrast, the model containing only TV as a predictor had an R2 of 0.61 (Table 3.2). Adding radio to the model leads to a substantial improvement in R2. This implies that a model that uses TV and radio expenditures to predict sales is substantially better than one that uses only TV advertising. We could further quantify this improvement by looking at the p-value for the radio coefcient in a model that contains only TV and radio as predictors.
The model that contains only TV and radio as predictors has an RSE of 1.681, and the model that also contains newspaper as a predictor has an RSE of 1.686 (Table 3.6). In contrast, the model that contains only TV has an RSE of 3.26 (Table 3.2). This corroborates our previous conclusion that a model that uses TV and radio expenditures to predict sales is much more accurate (on the training data) than one that only uses TV spending. Furthermore, given that TV and radio expenditures are used as predictors, there is no point in also using newspaper spending as a predictor in the model. The observant reader may wonder how RSE can increase when newspaper is added to the model given that RSS must decrease. In general RSE is defned as
\[ RSE = \sqrt{\frac{1}{n - p - 1}RSS}, \] (3.25)

FIGURE 3.5. For the Advertising data, a linear regression ft to sales using TV and radio as predictors. From the pattern of the residuals, we can see that there is a pronounced non-linear relationship in the data. The positive residuals (those visible above the surface), tend to lie along the 45-degree line, where TV and Radio budgets are split evenly. The negative residuals (most not visible), tend to lie away from this line, where budgets are more lopsided.
which simplifes to (3.15) for a simple linear regression. Thus, models with more variables can have higher RSE if the decrease in RSS is small relative to the increase in p.
In addition to looking at the RSE and R2 statistics just discussed, it can be useful to plot the data. Graphical summaries can reveal problems with a model that are not visible from numerical statistics. For example, Figure 3.5 displays a three-dimensional plot of TV and radio versus sales. We see that some observations lie above and some observations lie below the least squares regression plane. In particular, the linear model seems to overestimate sales for instances in which most of the advertising money was spent exclusively on either TV or radio. It underestimates sales for instances where the budget was split between the two media. This pronounced non-linear pattern suggests a synergy or interaction efect between interaction the advertising media, whereby combining the media together results in a bigger boost to sales than using any single medium. In Section 3.3.2, we will discuss extending the linear model to accommodate such synergistic efects through the use of interaction terms.
Four: Predictions
Once we have ft the multiple regression model, it is straightforward to apply (3.21) in order to predict the response Y on the basis of a set of values for the predictors X1, X2,…,Xp. However, there are three sorts of uncertainty associated with this prediction.
- The coefcient estimates βˆ0, βˆ1,…, βˆp are estimates for β0, β1,…, βp. That is, the least squares plane
\[ \hat{Y} = \hat{\beta}_0 + \hat{\beta}_1 X_1 + \dots + \hat{\beta}_p X_p \]
is only an estimate for the true population regression plane
\[ f(X) = \beta_0 + \beta_1 X_1 + \dots + \beta_p X_p. \]
The inaccuracy in the coefcient estimates is related to the reducible error from Chapter 2. We can compute a confdence interval in order to determine how close Yˆ will be to f(X).
- Of course, in practice assuming a linear model for f(X) is almost always an approximation of reality, so there is an additional source of potentially reducible error which we call model bias. So when we use a linear model, we are in fact estimating the best linear approximation to the true surface. However, here we will ignore this discrepancy, and operate as if the linear model were correct.
- Even if we knew f(X)—that is, even if we knew the true values for β0, β1,…, βp—the response value cannot be predicted perfectly because of the random error ” in the model (3.20). In Chapter 2, we referred to this as the irreducible error. How much will Y vary from Yˆ ? We use prediction intervals to answer this question. Prediction intervals are always wider than confdence intervals, because they incorporate both the error in the estimate for f(X) (the reducible error) and the uncertainty as to how much an individual point will difer from the population regression plane (the irreducible error).
We use a confdence interval to quantify the uncertainty surrounding confdence interval the average sales over a large number of cities. For example, given that $100,000 is spent on TV advertising and $20,000 is spent on radio advertising in each city, the 95 % confdence interval is [10,985, 11,528]. We interpret this to mean that 95 % of intervals of this form will contain the true value of f(X). 9 On the other hand, a prediction interval can be used to quantify the prediction interval uncertainty surrounding sales for a particular city. Given that $100,000 is spent on TV advertising and $20,000 is spent on radio advertising in that city the 95 % prediction interval is [7,930, 14,580]. We interpret this to mean that 95 % of intervals of this form will contain the true value of Y for this city. Note that both intervals are centered at 11,256, but that the prediction interval is substantially wider than the confdence interval, refecting the increased uncertainty about sales for a given city in comparison to the average sales over many locations.
9In other words, if we collect a large number of data sets like the Advertising data set, and we construct a confdence interval for the average sales on the basis of each data set (given $100,000 in TV and $20,000 in radio advertising), then 95 % of these confdence intervals will contain the true value of average sales.
3.3 Other Considerations in the Regression Model
3.3.1 Qualitative Predictors
In our discussion so far, we have assumed that all variables in our linear regression model are quantitative. But in practice, this is not necessarily the case; often some predictors are qualitative.
For example, the Credit data set displayed in Figure 3.6 records variables for a number of credit card holders. The response is balance (average credit card debt for each individual) and there are several quantitative predictors: age, cards (number of credit cards), education (years of education), income (in thousands of dollars), limit (credit limit), and rating (credit rating). Each panel of Figure 3.6 is a scatterplot for a pair of variables whose identities are given by the corresponding row and column labels. For example, the scatterplot directly to the right of the word “Balance” depicts balance versus age, while the plot directly to the right of “Age” corresponds to age versus cards. In addition to these quantitative variables, we also have four qualitative variables: own (house ownership), student (student status), status (marital status), and region (East, West or South).
Predictors with Only Two Levels
Suppose that we wish to investigate diferences in credit card balance between those who own a house and those who don’t, ignoring the other variables for the moment. If a qualitative predictor (also known as a factor) factor only has two levels, or possible values, then incorporating it into a regres- level sion model is very simple. We simply create an indicator or dummy variable dummy variable that takes on two possible numerical values.10 For example, based on the own variable, we can create a new variable that takes the form
\[ x_i = \begin{cases} 1 & \text{if } i \text{th person owns a house} \\ 0 & \text{if } i \text{th person does not own a house,} \end{cases} \] (3.26)
and use this variable as a predictor in the regression equation. This results in the model
\[ y_i = \beta_0 + \beta_1 x_i + \epsilon_i = \begin{cases} \beta_0 + \beta_1 + \epsilon_i & \text{if } i \text{th person owns a house} \\ \beta_0 + \epsilon_i & \text{if } i \text{th person does not.} \end{cases} \] (3.27)
Now β0 can be interpreted as the average credit card balance among those who do not own, β0 + β1 as the average credit card balance among those who do own their house, and β1 as the average diference in credit card balance between owners and non-owners.
Table 3.7 displays the coefcient estimates and other information associated with the model (3.27). The average credit card debt for non-owners is estimated to be $509.80, whereas owners are estimated to carry $19.73 in additional debt for a total of $509.80 + $19.73 = $529.53. However, we
10In the machine learning community, the creation of dummy variables to handle qualitative predictors is known as “one-hot encoding”.

FIGURE 3.6. The Credit data set contains information about balance, age, cards, education, income, limit, and rating for a number of potential customers.
notice that the p-value for the dummy variable is very high. This indicates that there is no statistical evidence of a diference in average credit card balance based on house ownership.
The decision to code owners as 1 and non-owners as 0 in (3.27) is arbitrary, and has no efect on the regression ft, but does alter the interpretation of the coefcients. If we had coded non-owners as 1 and owners as 0, then the estimates for β0 and β1 would have been 529.53 and −19.73, respectively, leading once again to a prediction of credit card debt of $529.53 − $19.73 = $509.80 for non-owners and a prediction of $529.53 for owners. Alternatively, instead of a 0/1 coding scheme, we could create a dummy variable
\[ x_i = \begin{cases} 1 & \text{if } i\text{th person owns a house} \\ -1 & \text{if } i\text{th person does not own a house} \end{cases} \]
and use this variable in the regression equation. This results in the model
\[ y_i = \beta_0 + \beta_1 x_i + \epsilon_i = \begin{cases} \beta_0 + \beta_1 + \epsilon_i & \text{if } i \text{th person owns a house} \\ \beta_0 - \beta_1 + \epsilon_i & \text{if } i \text{th person does not own a house.} \end{cases} \]
| Coefcient | Std. error | t-statistic | p-value | |
|---|---|---|---|---|
| Intercept | 509.80 | 33.13 | 15.389 | < 0.0001 |
| own[Yes] | 19.73 | 46.05 | 0.429 | 0.6690 |
TABLE 3.7. Least squares coefcient estimates associated with the regression of balance onto own in the Credit data set. The linear model is given in (3.27). That is, ownership is encoded as a dummy variable, as in (3.26).
Now β0 can be interpreted as the overall average credit card balance (ignoring the house ownership efect), and β1 is the amount by which house owners and non-owners have credit card balances that are above and below the average, respectively.11 In this example, the estimate for β0 is $519.665, halfway between the non-owner and owner averages of $509.80 and $529.53. The estimate for β1 is $9.865, which is half of $19.73, the average diference between owners and non-owners. It is important to note that the fnal predictions for the credit balances of owners and non-owners will be identical regardless of the coding scheme used. The only diference is in the way that the coefcients are interpreted.
Qualitative Predictors with More than Two Levels
When a qualitative predictor has more than two levels, a single dummy variable cannot represent all possible values. In this situation, we can create additional dummy variables. For example, for the region variable we create two dummy variables. The frst could be
\[ x_{i1} = \begin{cases} 1 & \text{if } i\text{th person is from the South} \\ 0 & \text{if } i\text{th person is not from the South,} \end{cases} \] (3.28)
and the second could be
\[ x_{i2} = \begin{cases} 1 & \text{if } i\text{th person is from the West} \\ 0 & \text{if } i\text{th person is not from the West.} \end{cases} \] (3.29)
Then both of these variables can be used in the regression equation, in order to obtain the model
\[ y_i = \beta_0 + \beta_1 x_{i1} + \beta_2 x_{i2} + \epsilon_i = \begin{cases} \beta_0 + \beta_1 + \epsilon_i & \text{if } i \text{th person is from the South} \\ \beta_0 + \beta_2 + \epsilon_i & \text{if } i \text{th person is from the West} \\ \beta_0 + \epsilon_i & \text{if } i \text{th person is from the East.} \end{cases} \] (3.30)
Now β0 can be interpreted as the average credit card balance for individuals from the East, β1 can be interpreted as the diference in the average balance between people from the South versus the East, and β2 can be interpreted as the diference in the average balance between those from the West versus the East. There will always be one fewer dummy variable than the number of levels. The level with no dummy variable—East in this example—is known as the baseline. baseline
11Technically β0 is half the sum of the average debt for house owners and the average debt for non-house owners. Hence, β0 is exactly equal to the overall average only if the two groups have an equal number of members.
| Coefcient | Std. error | t-statistic | p-value | |
|---|---|---|---|---|
| Intercept | 531.00 | 46.32 | 11.464 | < 0.0001 |
| region[South] | −12.50 | 56.68 | −0.221 | 0.8260 |
| region[West] | −18.69 | 65.02 | −0.287 | 0.7740 |
TABLE 3.8. Least squares coefcient estimates associated with the regression of balance onto region in the Credit data set. The linear model is given in (3.30). That is, region is encoded via two dummy variables (3.28) and (3.29).
From Table 3.8, we see that the estimated balance for the baseline, East, is $531.00. It is estimated that those in the South will have $18.69 less debt than those in the East, and that those in the West will have $12.50 less debt than those in the East. However, the p-values associated with the coefcient estimates for the two dummy variables are very large, suggesting no statistical evidence of a real diference in average credit card balance between South and East or between West and East.12 Once again, the level selected as the baseline category is arbitrary, and the fnal predictions for each group will be the same regardless of this choice. However, the coefcients and their p-values do depend on the choice of dummy variable coding. Rather than rely on the individual coefcients, we can use an F-test to test H0 : β1 = β2 = 0; this does not depend on the coding. This F-test has a p-value of 0.96, indicating that we cannot reject the null hypothesis that there is no relationship between balance and region.
Using this dummy variable approach presents no difculties when incorporating both quantitative and qualitative predictors. For example, to regress balance on both a quantitative variable such as income and a qualitative variable such as student, we must simply create a dummy variable for student and then ft a multiple regression model using income and the dummy variable as predictors for credit card balance.
There are many diferent ways of coding qualitative variables besides the dummy variable approach taken here. All of these approaches lead to equivalent model fts, but the coefcients are diferent and have diferent interpretations, and are designed to measure particular contrasts. This topic contrast is beyond the scope of the book.
3.3.2 Extensions of the Linear Model
The standard linear regression model (3.19) provides interpretable results and works quite well on many real-world problems. However, it makes several highly restrictive assumptions that are often violated in practice. Two of the most important assumptions state that the relationship between the predictors and response are additive and linear. The additivity assumption additive linear means that the association between a predictor Xj and the response Y does not depend on the values of the other predictors. The linearity assumption states that the change in the response Y associated with a one-unit change in Xj is constant, regardless of the value of Xj . In later chapters of this book, we examine a number of sophisticated methods that relax these two
12There could still in theory be a diference between South and West, although the data here does not suggest any diference.
assumptions. Here, we briefy examine some common classical approaches for extending the linear model.
Removing the Additive Assumption
In our previous analysis of the Advertising data, we concluded that both TV and radio seem to be associated with sales. The linear models that formed the basis for this conclusion assumed that the efect on sales of increasing one advertising medium is independent of the amount spent on the other media. For example, the linear model (3.20) states that the average increase in sales associated with a one-unit increase in TV is always β1, regardless of the amount spent on radio.
However, this simple model may be incorrect. Suppose that spending money on radio advertising actually increases the efectiveness of TV advertising, so that the slope term for TV should increase as radio increases. In this situation, given a fxed budget of $100,000, spending half on radio and half on TV may increase sales more than allocating the entire amount to either TV or to radio. In marketing, this is known as a synergy efect, and in statistics it is referred to as an interaction efect. Figure 3.5 suggests that such an efect may be present in the advertising data. Notice that when levels of either TV or radio are low, then the true sales are lower than predicted by the linear model. But when advertising is split between the two media, then the model tends to underestimate sales.
Consider the standard linear regression model with two variables,
\[ Y = \beta_0 + \beta_1 X_1 + \beta_2 X_2 + \epsilon. \]
According to this model, a one-unit increase in X1 is associated with an average increase in Y of β1 units. Notice that the presence of X2 does not alter this statement—that is, regardless of the value of X2, a oneunit increase in X1 is associated with a β1-unit increase in Y . One way of extending this model is to include a third predictor, called an interaction term, which is constructed by computing the product of X1 and X2. This results in the model
\[ Y = \beta_0 + \beta_1 X_1 + \beta_2 X_2 + \beta_3 X_1 X_2 + \epsilon. \] (3.31)
How does inclusion of this interaction term relax the additive assumption? Notice that (3.31) can be rewritten as
\[ Y = \beta_0 + (\beta_1 + \beta_3 X_2) X_1 + \beta_2 X_2 + \epsilon \]
= \(\beta_0 + \tilde{\beta}_1 X_1 + \beta_2 X_2 + \epsilon\) (3.32)
where β˜1 = β1 + β3X2. Since β˜1 is now a function of X2, the association between X1 and Y is no longer constant: a change in the value of X2 will change the association between X1 and Y . A similar argument shows that a change in the value of X1 changes the association between X2 and Y .
For example, suppose that we are interested in studying the productivity of a factory. We wish to predict the number of units produced on the basis of the number of production lines and the total number of workers. It seems likely that the efect of increasing the number of production lines
| Coefcient | Std. error | t-statistic | p-value | |
|---|---|---|---|---|
| Intercept | 6.7502 | 0.248 | 27.23 | < 0.0001 |
| TV | 0.0191 | 0.002 | 12.70 | < 0.0001 |
| radio | 0.0289 | 0.009 | 3.24 | 0.0014 |
| TV×radio | 0.0011 | 0.000 | 20.73 | < 0.0001 |
TABLE 3.9. For the Advertising data, least squares coefcient estimates associated with the regression of sales onto TV and radio, with an interaction term, as in (3.33).
will depend on the number of workers, since if no workers are available to operate the lines, then increasing the number of lines will not increase production. This suggests that it would be appropriate to include an interaction term between lines and workers in a linear model to predict units. Suppose that when we ft the model, we obtain
units \[ \approx 1.2 + 3.4 \times \text{lines} + 0.22 \times \text{workers} + 1.4 \times (\text{lines} \times \text{workers}) \]
= \(1.2 + (3.4 + 1.4 \times \text{workers}) \times \text{lines} + 0.22 \times \text{workers}.\)
In other words, adding an additional line will increase the number of units produced by 3.4+1.4 × workers. Hence the more workers we have, the stronger will be the efect of lines.
We now return to the Advertising example. A linear model that uses radio, TV, and an interaction between the two to predict sales takes the form
\[ \text{sales} = \beta_0 + \beta_1 \times \text{TV} + \beta_2 \times \text{radio} + \beta_3 \times (\text{radio} \times \text{TV}) + \epsilon \]
\(= \beta_0 + (\beta_1 + \beta_3 \times \text{radio}) \times \text{TV} + \beta_2 \times \text{radio} + \epsilon.\)
(3.33)
We can interpret β3 as the increase in the efectiveness of TV advertising associated with a one-unit increase in radio advertising (or vice-versa). The coefcients that result from ftting the model (3.33) are given in Table 3.9.
The results in Table 3.9 strongly suggest that the model that includes the interaction term is superior to the model that contains only main efects. main efect The p-value for the interaction term, TV×radio, is extremely low, indicating that there is strong evidence for Ha : β3 = 0 % . In other words, it is clear that the true relationship is not additive. The R2 for the model (3.33) is 96.8 %, compared to only 89.7 % for the model that predicts sales using TV and radio without an interaction term. This means that (96.8 − 89.7)/(100 − 89.7) = 69 % of the variability in sales that remains after ftting the additive model has been explained by the interaction term. The coefcient estimates in Table 3.9 suggest that an increase in TV advertising of $1,000 is associated with increased sales of (βˆ1+βˆ3×radio)×1,000 = 19+1.1×radio units. And an increase in radio advertising of $1,000 will be associated with an increase in sales of (βˆ2 + βˆ3 × TV) × 1,000 = 29 + 1.1 × TV units.
In this example, the p-values associated with TV, radio, and the interaction term all are statistically signifcant (Table 3.9), and so it is obvious that all three variables should be included in the model. However, it is sometimes the case that an interaction term has a very small p-value, but the associated main efects (in this case, TV and radio) do not. The hierarchical principle states that if we include an interaction in a model, we hierarchical
principle
should also include the main efects, even if the p-values associated with their coefcients are not signifcant. In other words, if the interaction between X1 and X2 seems important, then we should include both X1 and X2 in the model even if their coefcient estimates have large p-values. The rationale for this principle is that if X1 × X2 is related to the response, then whether or not the coefcients of X1 or X2 are exactly zero is of little interest. Also X1 × X2 is typically correlated with X1 and X2, and so leaving them out tends to alter the meaning of the interaction.
In the previous example, we considered an interaction between TV and radio, both of which are quantitative variables. However, the concept of interactions applies just as well to qualitative variables, or to a combination of quantitative and qualitative variables. In fact, an interaction between a qualitative variable and a quantitative variable has a particularly nice interpretation. Consider the Credit data set from Section 3.3.1, and suppose that we wish to predict balance using the income (quantitative) and student (qualitative) variables. In the absence of an interaction term, the model takes the form
\[ \begin{array}{ll}\n\text{balance}_{i} & \approx \quad \beta_{0} + \beta_{1} \times \text{income}_{i} + \begin{cases} \beta_{2} & \text{if } i \text{th person is a student} \\ 0 & \text{if } i \text{th person is not a student} \end{cases} \\ & = \quad \beta_{1} \times \text{income}_{i} + \begin{cases} \beta_{0} + \beta_{2} & \text{if } i \text{th person is a student} \\ \beta_{0} & \text{if } i \text{th person is not a student.} \end{cases}\n\end{array} \] (3.34)
Notice that this amounts to ftting two parallel lines to the data, one for students and one for non-students. The lines for students and non-students have diferent intercepts, β0 + β2 versus β0, but the same slope, β1. This is illustrated in the left-hand panel of Figure 3.7. The fact that the lines are parallel means that the average efect on balance of a one-unit increase in income does not depend on whether or not the individual is a student. This represents a potentially serious limitation of the model, since in fact a change in income may have a very diferent efect on the credit card balance of a student versus a non-student.
This limitation can be addressed by adding an interaction variable, created by multiplying income with the dummy variable for student. Our model now becomes
\[ \begin{aligned}\n\text{balance}_{i} &\approx \beta_{0} + \beta_{1} \times \text{income}_{i} + \begin{cases}\n\beta_{2} + \beta_{3} \times \text{income}_{i} & \text{if student} \\ 0 & \text{if not student} \\ \text{if not student} \\ \beta_{0} + \beta_{2} + (\beta_{1} + \beta_{3}) \times \text{income}_{i} & \text{if student} \\ \beta_{0} + \beta_{1} \times \text{income}_{i} & \text{if not student.} \\ \end{cases}\n\end{aligned} \] \[ (3.35) \]
Once again, we have two diferent regression lines for the students and the non-students. But now those regression lines have diferent intercepts, β0+β2 versus β0, as well as diferent slopes, β1+β3 versus β1. This allows for the possibility that changes in income may afect the credit card balances of students and non-students diferently. The right-hand panel of Figure 3.7

FIGURE 3.7. For the Credit data, the least squares lines are shown for prediction of balance from income for students and non-students. Left: The model (3.34) was ft. There is no interaction between income and student. Right: The model (3.35) was ft. There is an interaction term between income and student.
shows the estimated relationships between income and balance for students and non-students in the model (3.35). We note that the slope for students is lower than the slope for non-students. This suggests that increases in income are associated with smaller increases in credit card balance among students as compared to non-students.
Non-linear Relationships
As discussed previously, the linear regression model (3.19) assumes a linear relationship between the response and predictors. But in some cases, the true relationship between the response and the predictors may be nonlinear. Here we present a very simple way to directly extend the linear model to accommodate non-linear relationships, using polynomial regression. In polynomial regression later chapters, we will present more complex approaches for performing non-linear fts in more general settings.
Consider Figure 3.8, in which the mpg (gas mileage in miles per gallon) versus horsepower is shown for a number of cars in the Auto data set. The orange line represents the linear regression ft. There is a pronounced relationship between mpg and horsepower, but it seems clear that this relationship is in fact non-linear: the data suggest a curved relationship. A simple approach for incorporating non-linear associations in a linear model is to include transformed versions of the predictors. For example, the points in Figure 3.8 seem to have a quadratic shape, suggesting that a model of the quadratic form
\[ mpg = \beta_0 + \beta_1 \times \text{horsepower} + \beta_2 \times \text{horsepower}^2 + \epsilon \tag{3.36} \]
may provide a better ft. Equation 3.36 involves predicting mpg using a non-linear function of horsepower. But it is still a linear model! That is, (3.36) is simply a multiple linear regression model with X1 = horsepower and X2 = horsepower2. So we can use standard linear regression software to estimate β0, β1, and β2 in order to produce a non-linear ft. The blue curve in Figure 3.8 shows the resulting quadratic ft to the data. The quadratic

FIGURE 3.8. The Auto data set. For a number of cars, mpg and horsepower are shown. The linear regression ft is shown in orange. The linear regression ft for a model that includes horsepower2 is shown as a blue curve. The linear regression ft for a model that includes all polynomials of horsepower up to ffth-degree is shown in green.
| Coefcient | Std. error | t-statistic | p-value | |
|---|---|---|---|---|
| Intercept | 56.9001 | 1.8004 | 31.6 | < 0.0001 |
| horsepower | −0.4662 | 0.0311 | −15.0 | < 0.0001 |
| horsepower2 | 0.0012 | 0.0001 | 10.1 | < 0.0001 |
TABLE 3.10. For the Auto data set, least squares coefcient estimates associated with the regression of mpg onto horsepower and horsepower2.
ft appears to be substantially better than the ft obtained when just the linear term is included. The R2 of the quadratic ft is 0.688, compared to 0.606 for the linear ft, and the p-value in Table 3.10 for the quadratic term is highly signifcant.
If including horsepower2 led to such a big improvement in the model, why not include horsepower3, horsepower4, or even horsepower5? The green curve in Figure 3.8 displays the ft that results from including all polynomials up to ffth degree in the model (3.36). The resulting ft seems unnecessarily wiggly—that is, it is unclear that including the additional terms really has led to a better ft to the data.
The approach that we have just described for extending the linear model to accommodate non-linear relationships is known as polynomial regression, since we have included polynomial functions of the predictors in the regression model. We further explore this approach and other non-linear extensions of the linear model in Chapter 7.
3.3.3 Potential Problems
When we ft a linear regression model to a particular data set, many problems may occur. Most common among these are the following:
- Non-linearity of the response-predictor relationships.
- Correlation of error terms.
- Non-constant variance of error terms.
- Outliers.
- High-leverage points.
- Collinearity.
In practice, identifying and overcoming these problems is as much an art as a science. Many pages in countless books have been written on this topic. Since the linear regression model is not our primary focus here, we will provide only a brief summary of some key points.
1. Non-linearity of the Data

FIGURE 3.9. Plots of residuals versus predicted (or ftted) values for the Auto data set. In each plot, the red line is a smooth ft to the residuals, intended to make it easier to identify a trend. Left: A linear regression of mpg on horsepower. A strong pattern in the residuals indicates non-linearity in the data. Right: A linear regression of mpg on horsepower and horsepower2. There is little pattern in the residuals.
The linear regression model assumes that there is a straight-line relationship between the predictors and the response. If the true relationship is far from linear, then virtually all of the conclusions that we draw from the ft are suspect. In addition, the prediction accuracy of the model can be signifcantly reduced.
Residual plots are a useful graphical tool for identifying non-linearity. residual plot Given a simple linear regression model, we can plot the residuals, ei =
yi − yˆi, versus the predictor xi. In the case of a multiple regression model, since there are multiple predictors, we instead plot the residuals versus the predicted (or ftted) values yˆi. Ideally, the residual plot will show no ftted discernible pattern. The presence of a pattern may indicate a problem with some aspect of the linear model.
The left panel of Figure 3.9 displays a residual plot from the linear regression of mpg onto horsepower on the Auto data set that was illustrated in Figure 3.8. The red line is a smooth ft to the residuals, which is displayed in order to make it easier to identify any trends. The residuals exhibit a clear U-shape, which provides a strong indication of non-linearity in the data. In contrast, the right-hand panel of Figure 3.9 displays the residual plot that results from the model (3.36), which contains a quadratic term. There appears to be little pattern in the residuals, suggesting that the quadratic term improves the ft to the data.
If the residual plot indicates that there are non-linear associations in the data, then a simple approach is to use non-linear transformations of the predictors, such as log X, √ X, and X2, in the regression model. In the later chapters of this book, we will discuss other more advanced non-linear approaches for addressing this issue.
2. Correlation of Error Terms
An important assumption of the linear regression model is that the error terms, “1,”2,…, “n, are uncorrelated. What does this mean? For instance, if the errors are uncorrelated, then the fact that”i is positive provides little or no information about the sign of “i+1. The standard errors that are computed for the estimated regression coefcients or the ftted values are based on the assumption of uncorrelated error terms. If in fact there is correlation among the error terms, then the estimated standard errors will tend to underestimate the true standard errors. As a result, confdence and prediction intervals will be narrower than they should be. For example, a 95 % confdence interval may in reality have a much lower probability than 0.95 of containing the true value of the parameter. In addition, pvalues associated with the model will be lower than they should be; this could cause us to erroneously conclude that a parameter is statistically signifcant. In short, if the error terms are correlated, we may have an unwarranted sense of confdence in our model.
As an extreme example, suppose we accidentally doubled our data, leading to observations and error terms identical in pairs. If we ignored this, our standard error calculations would be as if we had a sample of size 2n, when in fact we have only n samples. Our estimated parameters would be the same for the 2n samples as for the n samples, but the confdence intervals would be narrower by a factor of √2!
Why might correlations among the error terms occur? Such correlations frequently occur in the context of time series data, which consists of ob- time series servations for which measurements are obtained at discrete points in time. In many cases, observations that are obtained at adjacent time points will have positively correlated errors. In order to determine if this is the case for a given data set, we can plot the residuals from our model as a function of time. If the errors are uncorrelated, then there should be no discernible pat-

FIGURE 3.10. Plots of residuals from simulated time series data sets generated with difering levels of correlation ρ between error terms for adjacent time points.
tern. On the other hand, if the error terms are positively correlated, then we may see tracking in the residuals—that is, adjacent residuals may have tracking similar values. Figure 3.10 provides an illustration. In the top panel, we see the residuals from a linear regression ft to data generated with uncorrelated errors. There is no evidence of a time-related trend in the residuals. In contrast, the residuals in the bottom panel are from a data set in which adjacent errors had a correlation of 0.9. Now there is a clear pattern in the residuals—adjacent residuals tend to take on similar values. Finally, the center panel illustrates a more moderate case in which the residuals had a correlation of 0.5. There is still evidence of tracking, but the pattern is less clear.
Many methods have been developed to properly take account of correlations in the error terms in time series data. Correlation among the error terms can also occur outside of time series data. For instance, consider a study in which individuals’ heights are predicted from their weights. The assumption of uncorrelated errors could be violated if some of the individuals in the study are members of the same family, eat the same diet, or have been exposed to the same environmental factors. In general, the assumption of uncorrelated errors is extremely important for linear regression as well as for other statistical methods, and good experimental design is crucial in order to mitigate the risk of such correlations.

FIGURE 3.11. Residual plots. In each plot, the red line is a smooth ft to the residuals, intended to make it easier to identify a trend. The blue lines track the outer quantiles of the residuals, and emphasize patterns. Left: The funnel shape indicates heteroscedasticity. Right: The response has been log transformed, and there is now no evidence of heteroscedasticity.
3. Non-constant Variance of Error Terms
Another important assumption of the linear regression model is that the error terms have a constant variance, Var(“i) = σ2. The standard errors, confdence intervals, and hypothesis tests associated with the linear model rely upon this assumption.
Unfortunately, it is often the case that the variances of the error terms are non-constant. For instance, the variances of the error terms may increase with the value of the response. One can identify non-constant variances in the errors, or heteroscedasticity, from the presence of a funnel shape in heteroscedasticity the residual plot. An example is shown in the left-hand panel of Figure 3.11, in which the magnitude of the residuals tends to increase with the ftted values. When faced with this problem, one possible solution is to transform the response Y using a concave function such as log Y or √ Y . Such a transformation results in a greater amount of shrinkage of the larger responses, leading to a reduction in heteroscedasticity. The right-hand panel of Figure 3.11 displays the residual plot after transforming the response using log Y . The residuals now appear to have constant variance, though there is some evidence of a slight non-linear relationship in the data.
Sometimes we have a good idea of the variance of each response. For example, the ith response could be an average of ni raw observations. If each of these raw observations is uncorrelated with variance σ2, then their average has variance σ2 i = σ2/ni. In this case a simple remedy is to ft our model by weighted least squares, with weights proportional to the inverse weighted least squares variances—i.e. wi = ni in this case. Most linear regression software allows for observation weights.
4. Outliers
An outlier is a point for which yi is far from the value predicted by the outlier

FIGURE 3.12. Left: The least squares regression line is shown in red, and the regression line after removing the outlier is shown in blue. Center: The residual plot clearly identifes the outlier. Right: The outlier has a studentized residual of 6; typically we expect values between −3 and 3.
model. Outliers can arise for a variety of reasons, such as incorrect recording of an observation during data collection.
The red point (observation 20) in the left-hand panel of Figure 3.12 illustrates a typical outlier. The red solid line is the least squares regression ft, while the blue dashed line is the least squares ft after removal of the outlier. In this case, removing the outlier has little efect on the least squares line: it leads to almost no change in the slope, and a miniscule reduction in the intercept. It is typical for an outlier that does not have an unusual predictor value to have little efect on the least squares ft. However, even if an outlier does not have much efect on the least squares ft, it can cause other problems. For instance, in this example, the RSE is 1.09 when the outlier is included in the regression, but it is only 0.77 when the outlier is removed. Since the RSE is used to compute all confdence intervals and p-values, such a dramatic increase caused by a single data point can have implications for the interpretation of the ft. Similarly, inclusion of the outlier causes the R2 to decline from 0.892 to 0.805.
Residual plots can be used to identify outliers. In this example, the outlier is clearly visible in the residual plot illustrated in the center panel of Figure 3.12. But in practice, it can be difcult to decide how large a residual needs to be before we consider the point to be an outlier. To address this problem, instead of plotting the residuals, we can plot the studentized residuals, computed by dividing each residual ei by its estimated standard studentized residual error. Observations whose studentized residuals are greater than 3 in absolute value are possible outliers. In the right-hand panel of Figure 3.12, the outlier’s studentized residual exceeds 6, while all other observations have studentized residuals between −2 and 2.
If we believe that an outlier has occurred due to an error in data collection or recording, then one solution is to simply remove the observation. However, care should be taken, since an outlier may instead indicate a defciency with the model, such as a missing predictor.
5. High Leverage Points
We just saw that outliers are observations for which the response yi is unusual given the predictor xi. In contrast, observations with high leverage high leverage have an unusual value for xi. For example, observation 41 in the left-hand

FIGURE 3.13. Left: Observation 41 is a high leverage point, while 20 is not. The red line is the ft to all the data, and the blue line is the ft with observation 41 removed. Center: The red observation is not unusual in terms of its X1 value or its X2 value, but still falls outside the bulk of the data, and hence has high leverage. Right: Observation 41 has a high leverage and a high residual.
panel of Figure 3.13 has high leverage, in that the predictor value for this observation is large relative to the other observations. (Note that the data displayed in Figure 3.13 are the same as the data displayed in Figure 3.12, but with the addition of a single high leverage observation.) The red solid line is the least squares ft to the data, while the blue dashed line is the ft produced when observation 41 is removed. Comparing the left-hand panels of Figures 3.12 and 3.13, we observe that removing the high leverage observation has a much more substantial impact on the least squares line than removing the outlier. In fact, high leverage observations tend to have a sizable impact on the estimated regression line. It is cause for concern if the least squares line is heavily afected by just a couple of observations, because any problems with these points may invalidate the entire ft. For this reason, it is important to identify high leverage observations.
In a simple linear regression, high leverage observations are fairly easy to identify, since we can simply look for observations for which the predictor value is outside of the normal range of the observations. But in a multiple linear regression with many predictors, it is possible to have an observation that is well within the range of each individual predictor’s values, but that is unusual in terms of the full set of predictors. An example is shown in the center panel of Figure 3.13, for a data set with two predictors, X1 and X2. Most of the observations’ predictor values fall within the blue dashed ellipse, but the red observation is well outside of this range. But neither its value for X1 nor its value for X2 is unusual. So if we examine just X1 or just X2, we will fail to notice this high leverage point. This problem is more pronounced in multiple regression settings with more than two predictors, because then there is no simple way to plot all dimensions of the data simultaneously.
In order to quantify an observation’s leverage, we compute the leverage statistic. A large value of this statistic indicates an observation with high leverage statistic leverage. For a simple linear regression,
\[ h_i = \frac{1}{n} + \frac{(x_i - \bar{x})^2}{\sum_{i'=1}^n (x_{i'} - \bar{x})^2}. \] (3.37)

FIGURE 3.14. Scatterplots of the observations from the Credit data set. Left: A plot of age versus limit. These two variables are not collinear. Right: A plot of rating versus limit. There is high collinearity.
It is clear from this equation that hi increases with the distance of xi from x¯. There is a simple extension of hi to the case of multiple predictors, though we do not provide the formula here. The leverage statistic hi is always between 1/n and 1, and the average leverage for all the observations is always equal to (p + 1)/n. So if a given observation has a leverage statistic that greatly exceeds (p+1)/n, then we may suspect that the corresponding point has high leverage.
The right-hand panel of Figure 3.13 provides a plot of the studentized residuals versus hi for the data in the left-hand panel of Figure 3.13. Observation 41 stands out as having a very high leverage statistic as well as a high studentized residual. In other words, it is an outlier as well as a high leverage observation. This is a particularly dangerous combination! This plot also reveals the reason that observation 20 had relatively little efect on the least squares ft in Figure 3.12: it has low leverage.
6. Collinearity
Collinearity refers to the situation in which two or more predictor variables collinearity are closely related to one another. The concept of collinearity is illustrated in Figure 3.14 using the Credit data set. In the left-hand panel of Figure 3.14, the two predictors limit and age appear to have no obvious relationship. In contrast, in the right-hand panel of Figure 3.14, the predictors limit and rating are very highly correlated with each other, and we say that they are collinear. The presence of collinearity can pose problems in the regression context, since it can be difcult to separate out the individual efects of collinear variables on the response. In other words, since limit and rating tend to increase or decrease together, it can be difcult to determine how each one separately is associated with the response, balance.
Figure 3.15 illustrates some of the difculties that can result from collinearity. The left-hand panel of Figure 3.15 is a contour plot of the RSS (3.22) associated with diferent possible coefcient estimates for the regression of balance on limit and age. Each ellipse represents a set of coefcients

FIGURE 3.15. Contour plots for the RSS values as a function of the parameters β for various regressions involving the Credit data set. In each plot, the black dots represent the coefcient values corresponding to the minimum RSS. Left: A contour plot of RSS for the regression of balance onto age and limit. The minimum value is well defned. Right: A contour plot of RSS for the regression of balance onto rating and limit. Because of the collinearity, there are many pairs (βLimit, βRating) with a similar value for RSS.
that correspond to the same RSS, with ellipses nearest to the center taking on the lowest values of RSS. The black dots and associated dashed lines represent the coefcient estimates that result in the smallest possible RSS—in other words, these are the least squares estimates. The axes for limit and age have been scaled so that the plot includes possible coefcient estimates that are up to four standard errors on either side of the least squares estimates. Thus the plot includes all plausible values for the coefcients. For example, we see that the true limit coefcient is almost certainly somewhere between 0.15 and 0.20.
In contrast, the right-hand panel of Figure 3.15 displays contour plots of the RSS associated with possible coefcient estimates for the regression of balance onto limit and rating, which we know to be highly collinear. Now the contours run along a narrow valley; there is a broad range of values for the coefcient estimates that result in equal values for RSS. Hence a small change in the data could cause the pair of coefcient values that yield the smallest RSS—that is, the least squares estimates—to move anywhere along this valley. This results in a great deal of uncertainty in the coefcient estimates. Notice that the scale for the limit coefcient now runs from roughly −0.2 to 0.2; this is an eight-fold increase over the plausible range of the limit coefcient in the regression with age. Interestingly, even though the limit and rating coefcients now have much more individual uncertainty, they will almost certainly lie somewhere in this contour valley. For example, we would not expect the true value of the limit and rating coefcients to be −0.1 and 1 respectively, even though such a value is plausible for each coefcient individually.
Since collinearity reduces the accuracy of the estimates of the regression coefcients, it causes the standard error for βˆj to grow. Recall that the t-statistic for each predictor is calculated by dividing βˆj by its standard
| Coefcient | Std. error | t-statistic | p-value | ||
|---|---|---|---|---|---|
| Model 1 | Intercept | −173.411 | 43.828 | −3.957 | < 0.0001 |
| age | −2.292 | 0.672 | −3.407 | 0.0007 | |
| limit | 0.173 | 0.005 | 34.496 | < 0.0001 |
|
| Model 2 | Intercept | −377.537 | 45.254 | −8.343 | < 0.0001 |
| rating | 2.202 | 0.952 | 2.312 | 0.0213 | |
| limit | 0.025 | 0.064 | 0.384 | 0.7012 |
TABLE 3.11. The results for two multiple regression models involving the Credit data set are shown. Model 1 is a regression of balance on age and limit, and Model 2 a regression of balance on rating and limit. The standard error of βˆlimit increases 12-fold in the second regression, due to collinearity.
error. Consequently, collinearity results in a decline in the t-statistic. As a result, in the presence of collinearity, we may fail to reject H0 : βj = 0. This means that the power of the hypothesis test—the probability of correctly power detecting a non-zero coefcient—is reduced by collinearity.
Table 3.11 compares the coefcient estimates obtained from two separate multiple regression models. The frst is a regression of balance on age and limit, and the second is a regression of balance on rating and limit. In the frst regression, both age and limit are highly signifcant with very small pvalues. In the second, the collinearity between limit and rating has caused the standard error for the limit coefcient estimate to increase by a factor of 12 and the p-value to increase to 0.701. In other words, the importance of the limit variable has been masked due to the presence of collinearity. To avoid such a situation, it is desirable to identify and address potential collinearity problems while ftting the model.
A simple way to detect collinearity is to look at the correlation matrix of the predictors. An element of this matrix that is large in absolute value indicates a pair of highly correlated variables, and therefore a collinearity problem in the data. Unfortunately, not all collinearity problems can be detected by inspection of the correlation matrix: it is possible for collinearity to exist between three or more variables even if no pair of variables has a particularly high correlation. We call this situation multicollinearity. multicollinearity Instead of inspecting the correlation matrix, a better way to assess multicollinearity is to compute the variance infation factor (VIF). The VIF is variance the ratio of the variance of βˆj when ftting the full model divided by the variance of βˆj if ft on its own. The smallest possible value for VIF is 1, which indicates the complete absence of collinearity. Typically in practice there is a small amount of collinearity among the predictors. As a rule of thumb, a VIF value that exceeds 5 or 10 indicates a problematic amount of collinearity. The VIF for each variable can be computed using the formula
infation factor
\[ VIF(\hat{\beta}_j) = \frac{1}{1 - R_{X_j | X_{-j}}^2}, \]
where R2 Xj |X−j is the R2 from a regression of Xj onto all of the other predictors. If R2 Xj |X−j is close to one, then collinearity is present, and so the VIF will be large.
In the Credit data, a regression of balance on age, rating, and limit indicates that the predictors have VIF values of 1.01, 160.67, and 160.59. As we suspected, there is considerable collinearity in the data!
When faced with the problem of collinearity, there are two simple solutions. The frst is to drop one of the problematic variables from the regression. This can usually be done without much compromise to the regression ft, since the presence of collinearity implies that the information that this variable provides about the response is redundant in the presence of the other variables. For instance, if we regress balance onto age and limit, without the rating predictor, then the resulting VIF values are close to the minimum possible value of 1, and the R2 drops from 0.754 to 0.75. So dropping rating from the set of predictors has efectively solved the collinearity problem without compromising the ft. The second solution is to combine the collinear variables together into a single predictor. For instance, we might take the average of standardized versions of limit and rating in order to create a new variable that measures credit worthiness.
3.4 The Marketing Plan
We now briefy return to the seven questions about the Advertising data that we set out to answer at the beginning of this chapter.
- Is there a relationship between sales and advertising budget?
This question can be answered by ftting a multiple regression model of sales onto TV, radio, and newspaper, as in (3.20), and testing the hypothesis H0 : βTV = βradio = βnewspaper = 0. In Section 3.2.2, we showed that the F-statistic can be used to determine whether or not we should reject this null hypothesis. In this case the p-value corresponding to the F-statistic in Table 3.6 is very low, indicating clear evidence of a relationship between advertising and sales.
- How strong is the relationship?
We discussed two measures of model accuracy in Section 3.1.3. First, the RSE estimates the standard deviation of the response from the population regression line. For the Advertising data, the RSE is 1.69 units while the mean value for the response is 14.022, indicating a percentage error of roughly 12 %. Second, the R2 statistic records the percentage of variability in the response that is explained by the predictors. The predictors explain almost 90 % of the variance in sales. The RSE and R2 statistics are displayed in Table 3.6.
- Which media are associated with sales?
To answer this question, we can examine the p-values associated with each predictor’s t-statistic (Section 3.1.2). In the multiple linear regression displayed in Table 3.4, the p-values for TV and radio are low, but the p-value for newspaper is not. This suggests that only TV and radio are related to sales. In Chapter 6 we explore this question in greater detail.
- How large is the association between each medium and sales? We saw in Section 3.1.2 that the standard error of βˆj can be used to construct confdence intervals for βj . For the Advertising data, we can use the results in Table 3.4 to compute the 95 % confdence intervals for the coefcients in a multiple regression model using all three media budgets as predictors. The confdence intervals are as follows: (0.043, 0.049) for TV, (0.172, 0.206) for radio, and (−0.013, 0.011) for newspaper. The confdence intervals for TV and radio are narrow and far from zero, providing evidence that these media are related to sales. But the interval for newspaper includes zero, indicating that the variable is not statistically signifcant given the values of TV and radio.
We saw in Section 3.3.3 that collinearity can result in very wide standard errors. Could collinearity be the reason that the confdence interval associated with newspaper is so wide? The VIF scores are 1.005, 1.145, and 1.145 for TV, radio, and newspaper, suggesting no evidence of collinearity.
In order to assess the association of each medium individually on sales, we can perform three separate simple linear regressions. Results are shown in Tables 3.1 and 3.3. There is evidence of an extremely strong association between TV and sales and between radio and sales. There is evidence of a mild association between newspaper and sales, when the values of TV and radio are ignored.
- How accurately can we predict future sales?
The response can be predicted using (3.21). The accuracy associated with this estimate depends on whether we wish to predict an individual response, Y = f(X) + “, or the average response, f(X) (Section 3.2.2). If the former, we use a prediction interval, and if the latter, we use a confdence interval. Prediction intervals will always be wider than confdence intervals because they account for the uncertainty associated with”, the irreducible error.
- Is the relationship linear?
In Section 3.3.3, we saw that residual plots can be used in order to identify non-linearity. If the relationships are linear, then the residual plots should display no pattern. In the case of the Advertising data, we observe a non-linear efect in Figure 3.5, though this efect could also be observed in a residual plot. In Section 3.3.2, we discussed the inclusion of transformations of the predictors in the linear regression model in order to accommodate non-linear relationships.
- Is there synergy among the advertising media?
The standard linear regression model assumes an additive relationship between the predictors and the response. An additive model is easy to interpret because the association between each predictor and the response is unrelated to the values of the other predictors. However, the additive assumption may be unrealistic for certain data sets. In Section 3.3.2, we showed how to include an interaction term in the regression model in order to accommodate non-additive relationships. A small p-value associated with the interaction term indicates the presence of such relationships. Figure 3.5 suggested that the Advertising data may not be additive. Including an interaction term in the model results in a substantial increase in R2, from around 90 % to almost 97 %.
3.5 Comparison of Linear Regression with K-Nearest Neighbors
As discussed in Chapter 2, linear regression is an example of a parametric approach because it assumes a linear functional form for f(X). Parametric methods have several advantages. They are often easy to ft, because one need estimate only a small number of coefcients. In the case of linear regression, the coefcients have simple interpretations, and tests of statistical signifcance can be easily performed. But parametric methods do have a disadvantage: by construction, they make strong assumptions about the form of f(X). If the specifed functional form is far from the truth, and prediction accuracy is our goal, then the parametric method will perform poorly. For instance, if we assume a linear relationship between X and Y but the true relationship is far from linear, then the resulting model will provide a poor ft to the data, and any conclusions drawn from it will be suspect.
In contrast, non-parametric methods do not explicitly assume a parametric form for f(X), and thereby provide an alternative and more fexible approach for performing regression. We discuss various non-parametric methods in this book. Here we consider one of the simplest and best-known non-parametric methods, K-nearest neighbors regression (KNN regression). K-nearest The KNN regression method is closely related to the KNN classifer discussed in Chapter 2. Given a value for K and a prediction point x0, KNN regression frst identifes the K training observations that are closest to x0, represented by N0. It then estimates f(x0) using the average of all the training responses in N0. In other words,
neighbors regression
\[ \hat{f}(x_0) = \frac{1}{K} \sum_{x_i \in \mathcal{N}_0} y_i. \]
Figure 3.16 illustrates two KNN fts on a data set with p = 2 predictors. The ft with K = 1 is shown in the left-hand panel, while the right-hand panel corresponds to K = 9. We see that when K = 1, the KNN ft perfectly interpolates the training observations, and consequently takes the form of a step function. When K = 9, the KNN ft still is a step function, but averaging over nine observations results in much smaller regions of constant prediction, and consequently a smoother ft. In general, the optimal value for K will depend on the bias-variance tradeof, which we introduced in Chapter 2. A small value for K provides the most fexible ft, which will have low bias but high variance. This variance is due to the fact that the prediction in a given region is entirely dependent on just one observation.

FIGURE 3.16. Plots of ˆf(X) using KNN regression on a two-dimensional data set with 64 observations (orange dots). Left: K = 1 results in a rough step function ft. Right: K = 9 produces a much smoother ft.
In contrast, larger values of K provide a smoother and less variable ft; the prediction in a region is an average of several points, and so changing one observation has a smaller efect. However, the smoothing may cause bias by masking some of the structure in f(X). In Chapter 5, we introduce several approaches for estimating test error rates. These methods can be used to identify the optimal value of K in KNN regression.
In what setting will a parametric approach such as least squares linear regression outperform a non-parametric approach such as KNN regression? The answer is simple: the parametric approach will outperform the nonparametric approach if the parametric form that has been selected is close to the true form of f. Figure 3.17 provides an example with data generated from a one-dimensional linear regression model. The black solid lines represent f(X), while the blue curves correspond to the KNN fts using K = 1 and K = 9. In this case, the K = 1 predictions are far too variable, while the smoother K = 9 ft is much closer to f(X). However, since the true relationship is linear, it is hard for a non-parametric approach to compete with linear regression: a non-parametric approach incurs a cost in variance that is not ofset by a reduction in bias. The blue dashed line in the lefthand panel of Figure 3.18 represents the linear regression ft to the same data. It is almost perfect. The right-hand panel of Figure 3.18 reveals that linear regression outperforms KNN for this data. The green solid line, plotted as a function of 1/K, represents the test set mean squared error (MSE) for KNN. The KNN errors are well above the black dashed line, which is the test MSE for linear regression. When the value of K is large, then KNN performs only a little worse than least squares regression in terms of MSE. It performs far worse when K is small.
In practice, the true relationship between X and Y is rarely exactly linear. Figure 3.19 examines the relative performances of least squares regression and KNN under increasing levels of non-linearity in the relationship between X and Y . In the top row, the true relationship is nearly linear. In this case we see that the test MSE for linear regression is still superior

FIGURE 3.17. Plots of ˆf(X) using KNN regression on a one-dimensional data set with 50 observations. The true relationship is given by the black solid line. Left: The blue curve corresponds to K = 1 and interpolates (i.e. passes directly through) the training data. Right: The blue curve corresponds to K = 9, and represents a smoother ft.

FIGURE 3.18. The same data set shown in Figure 3.17 is investigated further. Left: The blue dashed line is the least squares ft to the data. Since f(X) is in fact linear (displayed as the black line), the least squares regression line provides a very good estimate of f(X). Right: The dashed horizontal line represents the least squares test set MSE, while the green solid line corresponds to the MSE for KNN as a function of 1/K (on the log scale). Linear regression achieves a lower test MSE than does KNN regression, since f(X) is in fact linear. For KNN regression, the best results occur with a very large value of K, corresponding to a small value of 1/K.

FIGURE 3.19. Top Left: In a setting with a slightly non-linear relationship between X and Y (solid black line), the KNN fts with K = 1 (blue) and K = 9 (red) are displayed. Top Right: For the slightly non-linear data, the test set MSE for least squares regression (horizontal black) and KNN with various values of 1/K (green) are displayed. Bottom Left and Bottom Right: As in the top panel, but with a strongly non-linear relationship between X and Y .
to that of KNN for low values of K. However, for K ≥ 4, KNN outperforms linear regression. The second row illustrates a more substantial deviation from linearity. In this situation, KNN substantially outperforms linear regression for all values of K. Note that as the extent of non-linearity increases, there is little change in the test set MSE for the non-parametric KNN method, but there is a large increase in the test set MSE of linear regression.
Figures 3.18 and 3.19 display situations in which KNN performs slightly worse than linear regression when the relationship is linear, but much better than linear regression for nonlinear situations. In a real life situation in which the true relationship is unknown, one might suspect that KNN should be favored over linear regression because it will at worst be slightly inferior to linear regression if the true relationship is linear, and may give substantially better results if the true relationship is non-linear. But in reality, even when the true relationship is highly non-linear, KNN may still provide inferior results to linear regression. In particular, both Figures 3.18

FIGURE 3.20. Test MSE for linear regression (black dashed lines) and KNN (green curves) as the number of variables p increases. The true function is nonlinear in the frst variable, as in the lower panel in Figure 3.19, and does not depend on the additional variables. The performance of linear regression deteriorates slowly in the presence of these additional noise variables, whereas KNN’s performance degrades much more quickly as p increases.
and 3.19 illustrate settings with p = 1 predictor. But in higher dimensions, KNN often performs worse than linear regression.
Figure 3.20 considers the same strongly non-linear situation as in the second row of Figure 3.19, except that we have added additional noise predictors that are not associated with the response. When p = 1 or p = 2, KNN outperforms linear regression. But for p = 3 the results are mixed, and for p ≥ 4 linear regression is superior to KNN. In fact, the increase in dimension has only caused a small deterioration in the linear regression test set MSE, but it has caused more than a ten-fold increase in the MSE for KNN. This decrease in performance as the dimension increases is a common problem for KNN, and results from the fact that in higher dimensions there is efectively a reduction in sample size. In this data set there are 50 training observations; when p = 1, this provides enough information to accurately estimate f(X). However, spreading 50 observations over p = 20 dimensions results in a phenomenon in which a given observation has no nearby neighbors—this is the so-called curse of dimensionality. That is, curse of dimensionality the K observations that are nearest to a given test observation x0 may be very far away from x0 in p-dimensional space when p is large, leading to a very poor prediction of f(x0) and hence a poor KNN ft. As a general rule, parametric methods will tend to outperform non-parametric approaches when there is a small number of observations per predictor.
Even when the dimension is small, we might prefer linear regression to KNN from an interpretability standpoint. If the test MSE of KNN is only slightly lower than that of linear regression, we might be willing to forego a little bit of prediction accuracy for the sake of a simple model that can be described in terms of just a few coefcients, and for which p-values are available.
3.6 Lab: Linear Regression
3.6.1 Importing packages
We import our standard libraries at this top level.
In [1]: import numpy as np
import pandas as pd
from matplotlib.pyplot import subplots
New imports
Throughout this lab we will introduce new functions and libraries. However, we will import them here to emphasize these are the new code objects in this lab. Keeping imports near the top of a notebook makes the code more readable, since scanning the frst few lines tells us what libraries are used.
In [2]: import statsmodels.api as sm
We will provide relevant details about the functions below as they are needed.
Besides importing whole modules, it is also possible to import only a few items from a given module. This will help keep the namespace clean. namespace We will use a few specifc objects from the statsmodels package which we statsmodels import here.
In [3]: from statsmodels.stats.outliers_influence import variance_inflation_factor as VIF from statsmodels.stats.anova import anova_lm
As one of the import statements above is quite a long line, we inserted a line break to ease readability.
We will also use some functions written for the labs in this book in the ISLP package.
In [4]: from ISLP import load_data
from ISLP.models import (ModelSpec as MS,
summarize,
poly)
Inspecting Objects and Namespaces
The function dir() provides a list of objects in a namespace. dir()
Out[5]: ['In',
'MS',
'_',
'__',
'___',
'__builtin__',
'__builtins__',
...
In [5]: dir()
'poly',
'quit',
'sm',
'summarize']
This shows you everything that Python can fnd at the top level. There are certain objects like __builtins__ that contain references to built-in functions like print().
Every python object has its own notion of namespace, also accessible with dir(). This will include both the attributes of the object as well as any methods associated with it. For instance, we see ‘sum’ in the listing for an array.
In [6]: A = np.array([3,5,11])
dir(A)
Out[6]: ...
'strides',
'sum',
'swapaxes',
...
This indicates that the object A.sum exists. In this case it is a method that can be used to compute the sum of the array A as can be seen by typing A.sum?.
In [7]: A.sum()
Out[7]: 19
3.6.2 Simple Linear Regression
In this section we will construct model matrices (also called design matrices) using the ModelSpec() transform from ISLP.models.
We will use the Boston housing data set, which is contained in the ISLP package. The Boston dataset records medv (median house value) for 506 neighborhoods around Boston. We will build a regression model to predict medv using 13 predictors such as rmvar (average number of rooms per house), age (proportion of owner-occupied units built prior to 1940), and lstat (percent of households with low socioeconomic status). We will use statsmodels for this task, a Python package that implements several commonly used regression methods.
We have included a simple loading function load_data() in the ISLP pack- load_data() age:
In [8]: Boston = load_data("Boston")
Boston.columns
Out[8]: Index(['crim', 'zn', 'indus', 'chas', 'nox', 'rm', 'age', 'dis',
'rad', 'tax', 'ptratio', 'black', 'lstat', 'medv'],
dtype='object')
118 3. Linear Regression
Type Boston? to fnd out more about these data.
We start by using the sm.OLS() function to ft a simple linear regression sm.OLS() model. Our response will be medv and lstat will be the single predictor. For this model, we can create the model matrix by hand.
In [9]: X = pd.DataFrame({'intercept': np.ones(Boston.shape[0]),
'lstat': Boston['lstat']})
X[:4]
Out[9]: intercept lstat
0 1.0 4.98
1 1.0 9.14
2 1.0 4.03
3 1.0 2.94
We extract the response, and ft the model.
In [10]: y = Boston['medv']
model = sm.OLS(y, X)
results = model.fit()
Note that sm.OLS() does not ft the model; it specifes the model, and then model.fit() does the actual ftting.
Our ISLP function summarize() produces a simple table of the parame- summarize() ter estimates, their standard errors, t-statistics and p-values. The function takes a single argument, such as the object results returned here by the fit method, and returns such a summary.
In [11]: summarize(results)
Out[11]: coef std err t P>|t| intercept 34.5538 0.563 61.415 0.0 lstat -0.9500 0.039 -24.528 0.0
Before we describe other methods for working with ftted models, we outline a more useful and general framework for constructing a model matrix X.
Using Transformations: Fit and Transform
Our model above has a single predictor, and constructing X was straightforward. In practice we often ft models with more than one predictor, typically selected from an array or data frame. We may wish to introduce transformations to the variables before ftting the model, specify interactions between variables, and expand some particular variables into sets of variables (e.g. polynomials). The sklearn package has a particular notion sklearn for this type of task: a transform. A transform is an object that is created with some parameters as arguments. The object has two main methods:
fit() and transform(). .fit() We provide a general approach for specifying models and constructing .transform() the model matrix through the transform ModelSpec() in the ISLP library. ModelSpec() ModelSpec() (renamed MS() in the preamble) creates a transform object, and then a pair of methods transform() and fit() are used to construct a corresponding model matrix.
We frst describe this process for our simple regression model using a single predictor lstat in the Boston data frame, but will use it repeatedly in more complex tasks in this and other labs in this book. In our case the transform is created by the expression design = MS([‘lstat’]).
The fit() method takes the original array and may do some initial computations on it, as specifed in the transform object. For example, it may compute means and standard deviations for centering and scaling. The transform() method applies the ftted transformation to the array of data, and produces the model matrix.
In [12]: design = MS(['lstat'])
design = design.fit(Boston)
X = design.transform(Boston)
X[:4]
Out[12]: intercept lstat
0 1.0 4.98
1 1.0 9.14
2 1.0 4.03
3 1.0 2.94
In this simple case, the fit() method does very little; it simply checks that the variable ‘lstat’ specifed in design exists in Boston. Then transform() constructs the model matrix with two columns: an intercept and the variable lstat.
These two operations can be combined with the fit_transform() method. .fit_
transform() In [13]: design = MS(['lstat'])
X = design.fit_transform(Boston)
X[:4]
| Out[13]: | intercept | lstat |
|---|---|---|
| 0 | 1.0 | 4.98 |
| 1 | 1.0 | 9.14 |
| 2 | 1.0 | 4.03 |
| 3 | 1.0 | 2.94 |
Note that, as in the previous code chunk when the two steps were done separately, the design object is changed as a result of the fit() operation. The power of this pipeline will become clearer when we ft more complex models that involve interactions and transformations.
Let’s return to our ftted regression model. The object results has several methods that can be used for inference. We already presented a function summarize() for showing the essentials of the ft. For a full and somewhat exhaustive summary of the ft, we can use the summary() method (output not shown).
In [14]: results.summary()
The ftted coefcients can also be retrieved as the params attribute of results.
In [15]: results.params
120 3. Linear Regression
Out[15]: intercept 34.553841
lstat -0.950049
dtype: float64
The get_prediction() method can be used to obtain predictions, and .get_ produce confdence intervals and prediction intervals for the prediction of prediction() medv for given values of lstat.
We frst create a new data frame, in this case containing only the variable lstat, with the values for this variable at which we wish to make predictions. We then use the transform() method of design to create the corresponding model matrix.
In [16]: new_df = pd.DataFrame({'lstat':[5, 10, 15]})
newX = design.transform(new_df)
newX
Out[16]: intercept lstat
0 1.0 5
1 1.0 10
2 1.0 15
Next we compute the predictions at newX, and view them by extracting the predicted_mean attribute.
In [17]: new_predictions = results.get_prediction(newX);
new_predictions.predicted_mean
Out[17]: array([29.80359411, 25.05334734, 20.30310057])
We can produce confdence intervals for the predicted values.
In [18]: new_predictions.conf_int(alpha=0.05)
Out[18]: array([[29.00741194, 30.59977628],
[24.47413202, 25.63256267],
[19.73158815, 20.87461299]])
Prediction intervals are computing by setting obs=True:
In [19]: new\_predictions.conf\_int(obs=True, alpha=0.05)
Out[19]: array([[17.56567478, 42.04151344],
[12.82762635, 37.27906833],
[ 8.0777421 , 32.52845905]])
For instance, the 95% confdence interval associated with an lstat value of 10 is (24.47, 25.63), and the 95% prediction interval is (12.82, 37.28). As expected, the confdence and prediction intervals are centered around the same point (a predicted value of 25.05 for medv when lstat equals 10), but the latter are substantially wider.
Next we will plot medv and lstat using DataFrame.plot.scatter(), and .plot. wish to add the regression line to the resulting plot. scatter()
Defning Functions
While there is a function within the ISLP package that adds a line to an existing plot, we take this opportunity to defne our frst function to do so. def
In [20]: def abline(ax, b, m):
"Add a line with slope m and intercept b to ax"
xlim = ax.get_xlim()
ylim = [m * xlim[0] + b, m * xlim[1] + b]
ax.plot(xlim, ylim)
A few things are illustrated above. First we see the syntax for defning a function: def funcname(…). The function has arguments ax, b, m where ax is an axis object for an exisiting plot, b is the intercept and m is the slope of the desired line. Other plotting options can be passed on to ax.plot by including additional optional arguments as follows:
In [21]: def abline(ax, b, m, *args, **kwargs):
"Add a line with slope m and intercept b to ax"
xlim = ax.get_xlim()
ylim = [m * xlim[0] + b, m * xlim[1] + b]
ax.plot(xlim, ylim, *args, **kwargs)
The addition of *args allows any number of non-named arguments to abline, while *kwargs allows any number of named arguments (such as linewidth=3) to abline. In our function, we pass these arguments verbatim to ax.plot above. Readers interested in learning more about functions are referred to the section on defning functions in docs.python.org/tutorial.
Let’s use our new function to add this regression line to a plot of medv vs. lstat.
In [22]: ax = Boston.plot.scatter('lstat', 'medv')
abline(ax,
results.params[0],
results.params[1],
'r--',
linewidth=3)
Thus, the fnal call to ax.plot() is ax.plot(xlim, ylim, ‘r–’, linewidth=3). We have used the argument ‘r–’ to produce a red dashed line, and added an argument to make it of width 3. There is some evidence for non-linearity in the relationship between lstat and medv. We will explore this issue later in this lab.
As mentioned above, there is an existing function to add a line to a plot — ax.axline() — but knowing how to write such functions empowers us to create more expressive displays.
Next we examine some diagnostic plots, several of which were discussed in Section 3.3.3. We can fnd the ftted values and residuals of the ft as attributes of the results object. Various infuence measures describing the regression model are computed with the get_influence() method. As we .get_ will not use the influence() fig component returned as the frst value from subplots(), we simply capture the second returned value in ax below.
122 3. Linear Regression
ax.scatter(results.fittedvalues , results.resid)
ax.set_xlabel('Fitted value')
ax.set_ylabel('Residual')
ax.axhline(0, c='k', ls='--');
We add a horizontal line at 0 for reference using the ax.axhline() method, .axhline() indicating it should be black (c=‘k’) and have a dashed linestyle (ls=‘–’).
On the basis of the residual plot (not shown), there is some evidence of non-linearity. Leverage statistics can be computed for any number of predictors using the hat_matrix_diag attribute of the value returned by the get_influence() method.
In [24]: infl = results.get_influence()
ax = subplots(figsize=(8,8))[1]
ax.scatter(np.arange(X.shape[0]), infl.hat_matrix_diag)
ax.set_xlabel('Index')
ax.set_ylabel('Leverage')
np.argmax(infl.hat_matrix_diag)
Out[24]: 374
The np.argmax() function identifes the index of the largest element of an np.argmax() array, optionally computed over an axis of the array. In this case, we maximized over the entire array to determine which observation has the largest leverage statistic.
3.6.3 Multiple Linear Regression
In order to ft a multiple linear regression model using least squares, we again use the ModelSpec() transform to construct the required model matrix and response. The arguments to ModelSpec() can be quite general, but in this case a list of column names sufce. We consider a ft here with the two variables lstat and age.
In [25]: X = MS(['lstat', 'age']).fit_transform(Boston)
model1 = sm.OLS(y, X)
results1 = model1.fit()
Out[25]: coef std err t P>|t| intercept 33.2228 0.731 45.458 0.000 lstat -1.0321 0.048 -21.416 0.000 age 0.0345 0.012 2.826 0.005
Notice how we have compacted the frst line into a succinct expression describing the construction of X.
The Boston data set contains 12 variables, and so it would be cumbersome to have to type all of these in order to perform a regression using all of the predictors. Instead, we can use the following short-hand: .columns.
drop() In [26]: terms = Boston.columns.drop('medv')
terms
summarize(results1)
Out[26]: Index(['crim', 'zn', 'indus', 'chas', 'nox', 'rm', 'age', 'dis',
'rad', 'tax', 'ptratio', 'lstat'],
dtype='object')
We can now ft the model with all the variables in terms using the same model matrix builder.
In [27]: X = MS(terms).fit_transform(Boston)
model = sm.OLS(y, X)
results = model.fit()
summarize(results)
| Out[27]: | coef | std err |
t | P> t | |
|---|---|---|---|---|---|
| intercept | 41.6173 | 4.936 | 8.431 | 0.000 | |
| crim | -0.1214 | 0.033 | -3.678 | 0.000 | |
| zn | 0.0470 | 0.014 | 3.384 | 0.001 | |
| indus | 0.0135 | 0.062 | 0.217 | 0.829 | |
| chas | 2.8400 | 0.870 | 3.264 | 0.001 | |
| nox | -18.7580 | 3.851 | -4.870 | 0.000 | |
| rm | 3.6581 | 0.420 | 8.705 | 0.000 | |
| age | 0.0036 | 0.013 | 0.271 | 0.787 | |
| dis | -1.4908 | 0.202 | -7.394 | 0.000 | |
| rad | 0.2894 | 0.067 | 4.325 | 0.000 | |
| tax | -0.0127 | 0.004 | -3.337 | 0.001 | |
| ptratio | -0.9375 | 0.132 | -7.091 | 0.000 | |
| lstat | -0.5520 | 0.051 | -10.897 | 0.000 |
What if we would like to perform a regression using all of the variables but one? For example, in the above regression output, age has a high p-value. So we may wish to run a regression excluding this predictor. The following syntax results in a regression using all predictors except age (output not shown).
In [28]: minus_age = Boston.columns.drop(['medv', 'age'])
Xma = MS(minus_age).fit_transform(Boston)
model1 = sm.OLS(y, Xma)
summarize(model1.fit())
3.6.4 Multivariate Goodness of Fit
We can access the individual components of results by name (dir(results) shows us what is available). Hence results.rsquared gives us the R2, and np.sqrt(results.scale) gives us the RSE.
Variance infation factors (section 3.3.3) are sometimes useful to assess the efect of collinearity in the model matrix of a regression model. We will compute the VIFs in our multiple regression ft, and use the opportunity to introduce the idea of list comprehension. list compre-
hension
List Comprehension
Often we encounter a sequence of objects which we would like to transform for some other task. Below, we compute the VIF for each feature in our X matrix and produce a data frame whose index agrees with the columns of X. The notion of list comprehension can often make such a task easier.
124 3. Linear Regression
List comprehensions are simple and powerful ways to form lists of Python objects. The language also supports dictionary and generator comprehension, though these are beyond our scope here. Let’s look at an example. We compute the VIF for each of the variables in the model matrix X, using the function variance_inflation_factor(). variance_
In [29]: vals = [VIF(X, i)
for i in range(1, X.shape[1])]
vif = pd.DataFrame({'vif':vals},
index=X.columns[1:])
inflation_ factor()
| Out[29]: | vif | |
|---|---|---|
| crim | 1.767 | |
| zn | 2.298 | |
| indus | 3.987 | |
| chas | 1.071 | |
| nox | 4.369 | |
| rm | 1.913 | |
| age | 3.088 | |
| dis | 3.954 | |
| rad | 7.445 | |
| tax | 9.002 | |
| ptratio | 1.797 | |
| lstat | 2.871 |
vif
The function VIF() takes two arguments: a dataframe or array, and a variable column index. In the code above we call VIF() on the fy for all columns in X. We have excluded column 0 above (the intercept), which is not of interest. In this case the VIFs are not that exciting.
The object vals above could have been constructed with the following for loop:
In [30]: vals = []
for i in range(1, X.values.shape[1]):
vals.append(VIF(X.values, i))
List comprehension allows us to perform such repetitive operations in a more straightforward way.
3.6.5 Interaction Terms
It is easy to include interaction terms in a linear model using ModelSpec(). Including a tuple (“lstat”,“age”) tells the model matrix builder to include an interaction term between lstat and age.
In [31]: X = MS(['lstat',
'age',
('lstat', 'age')]).fit_transform(Boston)
model2 = sm.OLS(y, X)
summarize(model2.fit())
Out[31]: coef std err t P>|t|
intercept 36.0885 1.470 24.553 0.000
lstat -1.3921 0.167 -8.313 0.000
| age | -0.0007 | 0.020 | -0.036 | 0.971 |
|---|---|---|---|---|
| lstat:age | 0.0042 | 0.002 | 2.244 | 0.025 |
3.6.6 Non-linear Transformations of the Predictors
The model matrix builder can include terms beyond just column names and interactions. For instance, the poly() function supplied in ISLP specifes poly() that columns representing polynomial functions of its frst argument are added to the model matrix.
In [32]: X = MS([poly('lstat', degree=2), 'age']).fit_transform(Boston)
model3 = sm.OLS(y, X)
results3 = model3.fit()
summarize(results3)
| Out[32]: | coef | std err |
t | P> t | |
|---|---|---|---|---|---|
| intercept | 17.7151 | 0.781 | 22.681 | 0.000 | |
| poly(lstat, | degree=2)[0] | -179.2279 | 6.733 | -26.620 | 0.000 |
| poly(lstat, | degree=2)[1] | 72.9908 | 5.482 | 13.315 | 0.000 |
| age | 0.0703 | 0.011 | 6.471 | 0.000 |
The efectively zero p-value associated with the quadratic term (i.e. the third row above) suggests that it leads to an improved model.
By default, poly() creates a basis matrix for inclusion in the model matrix whose columns are orthogonal polynomials, which are designed for sta- orthogonal polynomial ble least squares computations.13 Alternatively, had we included an argument raw=True in the above call to poly(), the basis matrix would consist simply of lstat and lstat**2. Since either of these bases represent quadratic polynomials, the ftted values would not change in this case, just the polynomial coefcients. Also by default, the columns created by poly() do not include an intercept column as that is automatically added by MS().
We use the anova_lm() function to further quantify the extent to which anova_lm() the quadratic ft is superior to the linear ft.
In [33]: anova_lm(results1, results3)
Out[33]: df_resid ssr df_diff ss_diff F Pr(>F)
0 503.0 19168.13 0.0 NaN NaN NaN
1 502.0 14165.61 1.0 5002.52 177.28 7.47e-35
Here results1 represents the linear submodel containing predictors lstat and age, while results3 corresponds to the larger model above with a quadratic term in lstat. The anova_lm() function performs a hypothesis test comparing the two models. The null hypothesis is that the quadratic term in the bigger model is not needed, and the alternative hypothesis is that the bigger model is superior. Here the F-statistic is 177.28 and the associated p-value is zero. In this case the F-statistic is the square of the t-statistic for the quadratic term in the linear model summary for results3 — a consequence of the fact that these nested models difer by one degree of
13Actually, poly() is a wrapper for the workhorse and standalone function Poly() that does the work in building the model matrix.
126 3. Linear Regression
freedom. This provides very clear evidence that the quadratic polynomial in lstat improves the linear model. This is not surprising, since earlier we saw evidence for non-linearity in the relationship between medv and lstat.
The function anova_lm() can take more than two nested models as input, in which case it compares every successive pair of models. That also explains why their are NaNs in the frst row above, since there is no previous model with which to compare the frst.
In [34]: ax = subplots(figsize=(8,8))[1]
ax.scatter(results3.fittedvalues , results3.resid)
ax.set_xlabel('Fitted value')
ax.set_ylabel('Residual')
ax.axhline(0, c='k', ls='--')
We see that when the quadratic term is included in the model, there is little discernible pattern in the residuals. In order to create a cubic or higher-degree polynomial ft, we can simply change the degree argument to poly().
3.6.7 Qualitative Predictors
Here we use the Carseats data, which is included in the ISLP package. We will attempt to predict Sales (child car seat sales) in 400 locations based on a number of predictors.
In [35]: Carseats = load_data('Carseats')
Carseats.columns
Out[35]: Index(['Sales', 'CompPrice', 'Income', 'Advertising',
'Population', 'Price', 'ShelveLoc', 'Age', 'Education',
'Urban', 'US'],
dtype='object')
The Carseats data includes qualitative predictors such as ShelveLoc, an indicator of the quality of the shelving location — that is, the space within a store in which the car seat is displayed. The predictor ShelveLoc takes on three possible values, Bad, Medium, and Good. Given a qualitative variable such as ShelveLoc, ModelSpec() generates dummy variables automatically. These variables are often referred to as a one-hot encoding of the categorical one-hot encoding feature. Their columns sum to one, so to avoid collinearity with an intercept, the frst column is dropped. Below we see the column ShelveLoc[Bad] has been dropped, since Bad is the frst level of ShelveLoc. Below we ft a multiple regression model that includes some interaction terms.
In [36]: allvars = list(Carseats.columns.drop('Sales'))
y = Carseats['Sales']
final = allvars + [('Income', 'Advertising'),
('Price', 'Age')]
X = MS(final).fit_transform(Carseats)
model = sm.OLS(y, X)
summarize(model.fit())
| Out[36]: | coef | std err |
t | P> t | |
|---|---|---|---|---|---|
| intercept | 6.5756 | 1.009 | 6.519 | 0.000 |
| CompPrice | 0.0929 | 0.004 | 22.567 | 0.000 |
|---|---|---|---|---|
| Income | 0.0109 | 0.003 | 4.183 | 0.000 |
| Advertising | 0.0702 | 0.023 | 3.107 | 0.002 |
| Population | 0.0002 | 0.000 | 0.433 | 0.665 |
| Price | -0.1008 | 0.007 | -13.549 | 0.000 |
| ShelveLoc[Good] | 4.8487 | 0.153 | 31.724 | 0.000 |
| ShelveLoc[Medium] | 1.9533 | 0.126 | 15.531 | 0.000 |
| Age | -0.0579 | 0.016 | -3.633 | 0.000 |
| Education | -0.0209 | 0.020 | -1.063 | 0.288 |
| Urban[Yes] | 0.1402 | 0.112 | 1.247 | 0.213 |
| US[Yes] | -0.1576 | 0.149 | -1.058 | 0.291 |
| Income:Advertising | 0.0008 | 0.000 | 2.698 | 0.007 |
| Price:Age | 0.0001 | 0.000 | 0.801 | 0.424 |
In the frst line above, we made allvars a list, so that we could add the interaction terms two lines down. Our model-matrix builder has created a ShelveLoc[Good] dummy variable that takes on a value of 1 if the shelving location is good, and 0 otherwise. It has also created a ShelveLoc[Medium] dummy variable that equals 1 if the shelving location is medium, and 0 otherwise. A bad shelving location corresponds to a zero for each of the two dummy variables. The fact that the coefcient for ShelveLoc[Good] in the regression output is positive indicates that a good shelving location is associated with high sales (relative to a bad location). And ShelveLoc[Medium] has a smaller positive coefcient, indicating that a medium shelving location leads to higher sales than a bad shelving location, but lower sales than a good shelving location.
3.7 Exercises
Conceptual
- Describe the null hypotheses to which the p-values given in Table 3.4 correspond. Explain what conclusions you can draw based on these p-values. Your explanation should be phrased in terms of sales, TV, radio, and newspaper, rather than in terms of the coefcients of the linear model.
- Carefully explain the diferences between the KNN classifer and KNN regression methods.
- Suppose we have a data set with fve predictors, X1 = GPA, X2 = IQ, X3 = Level (1 for College and 0 for High School), X4 = Interaction between GPA and IQ, and X5 = Interaction between GPA and Level. The response is starting salary after graduation (in thousands of dollars). Suppose we use least squares to ft the model, and get βˆ0 = 50, βˆ1 = 20, βˆ2 = 0.07, βˆ3 = 35, βˆ4 = 0.01, βˆ5 = −10.
- Which answer is correct, and why?
- For a fxed value of IQ and GPA, high school graduates earn more, on average, than college graduates.
- For a fxed value of IQ and GPA, college graduates earn more, on average, than high school graduates.
- For a fxed value of IQ and GPA, high school graduates earn more, on average, than college graduates provided that the GPA is high enough.
- For a fxed value of IQ and GPA, college graduates earn more, on average, than high school graduates provided that the GPA is high enough.
- Predict the salary of a college graduate with IQ of 110 and a GPA of 4.0.
- True or false: Since the coefcient for the GPA/IQ interaction term is very small, there is very little evidence of an interaction efect. Justify your answer.
- I collect a set of data (n = 100 observations) containing a single predictor and a quantitative response. I then ft a linear regression model to the data, as well as a separate cubic regression, i.e. Y = β0 + β1X + β2X2 + β3X3 + “.
- Suppose that the true relationship between X and Y is linear, i.e. Y = β0 + β1X + “. Consider the training residual sum of squares (RSS) for the linear regression, and also the training RSS for the cubic regression. Would we expect one to be lower than the other, would we expect them to be the same, or is there not enough information to tell? Justify your answer.
- Answer (a) using test rather than training RSS.
- Suppose that the true relationship between X and Y is not linear, but we don’t know how far it is from linear. Consider the training RSS for the linear regression, and also the training RSS for the cubic regression. Would we expect one to be lower than the other, would we expect them to be the same, or is there not enough information to tell? Justify your answer.
- Answer (c) using test rather than training RSS.
- Consider the ftted values that result from performing linear regression without an intercept. In this setting, the ith ftted value takes the form
\[ \hat{y}_i = x_i \hat{\beta}, \]
where
\[ \hat{\beta} = \left(\sum_{i=1}^{n} x_i y_i\right) / \left(\sum_{i'=1}^{n} x_{i'}^2\right). \tag{3.38} \]
Show that we can write
\[ \hat{y}_i = \sum_{i'=1}^n a_{i'} y_{i'}. \]
What is ai!?
Note: We interpret this result by saying that the ftted values from linear regression are linear combinations of the response values.
- Using (3.4), argue that in the case of simple linear regression, the least squares line always passes through the point (¯x, y¯).

Applied
- This question involves the use of simple linear regression on the Auto data set.
- Use the sm.OLS() function to perform a simple linear regression with mpg as the response and horsepower as the predictor. Use the summarize() function to print the results. Comment on the output. For example:
- Is there a relationship between the predictor and the response?
- How strong is the relationship between the predictor and the response?
- Is the relationship between the predictor and the response positive or negative?
- What is the predicted mpg associated with a horsepower of 98? What are the associated 95 % confdence and prediction intervals?
- Plot the response and the predictor in a new set of axes ax. Use the ax.axline() method or the abline() function defned in the lab to display the least squares regression line.
- Produce some of diagnostic plots of the least squares regression ft as described in the lab. Comment on any problems you see with the ft.
- This question involves the use of multiple linear regression on the Auto data set.
- Produce a scatterplot matrix which includes all of the variables in the data set.
- Compute the matrix of correlations between the variables using the DataFrame.corr() method. .corr()
- Use the sm.OLS() function to perform a multiple linear regression with mpg as the response and all other variables except name as the predictors. Use the summarize() function to print the results. Comment on the output. For instance:
- Is there a relationship between the predictors and the response? Use the anova_lm() function from statsmodels to answer this question.
- Which predictors appear to have a statistically signifcant relationship to the response?
- What does the coefcient for the year variable suggest?
- Produce some of diagnostic plots of the linear regression ft as described in the lab. Comment on any problems you see with the ft. Do the residual plots suggest any unusually large outliers? Does the leverage plot identify any observations with unusually high leverage?
- Fit some models with interactions as described in the lab. Do any interactions appear to be statistically signifcant?
- Try a few diferent transformations of the variables, such as log(X), √ X, X2. Comment on your fndings.
- This question should be answered using the Carseats data set.
- Fit a multiple regression model to predict Sales using Price, Urban, and US.
- Provide an interpretation of each coefcient in the model. Be careful—some of the variables in the model are qualitative!
- Write out the model in equation form, being careful to handle the qualitative variables properly.
- For which of the predictors can you reject the null hypothesis H0 : βj = 0?
- On the basis of your response to the previous question, ft a smaller model that only uses the predictors for which there is evidence of association with the outcome.
- How well do the models in (a) and (e) ft the data?
- Using the model from (e), obtain 95 % confdence intervals for the coefcient(s).
- Is there evidence of outliers or high leverage observations in the model from (e)?
- In this problem we will investigate the t-statistic for the null hypothesis H0 : β = 0 in simple linear regression without an intercept. To begin, we generate a predictor x and a response y as follows.
rng = np.random.default_rng(1)
x = rng.normal(size=100)
y = 2 * x + rng.normal(size=100)
- Perform a simple linear regression of y onto x, without an intercept. Report the coefcient estimate βˆ, the standard error of this coefcient estimate, and the t-statistic and p-value associated with the null hypothesis H0 : β = 0. Comment on these results. (You can perform regression without an intercept using the keywords argument intercept=False to ModelSpec().)
- Now perform a simple linear regression of x onto y without an intercept, and report the coefcient estimate, its standard error, and the corresponding t-statistic and p-values associated with the null hypothesis H0 : β = 0. Comment on these results.
- What is the relationship between the results obtained in (a) and (b)?
- For the regression of Y onto X without an intercept, the tstatistic for H0 : β = 0 takes the form βˆ/SE(βˆ), where βˆ is given by (3.38), and where
SE( \[ \hat{\beta} \] ) = \(\sqrt{\frac{\sum_{i=1}^{n} (y_i - x_i \hat{\beta})^2}{(n-1) \sum_{i'=1}^{n} x_{i'}^2}}\) .
(These formulas are slightly diferent from those given in Sections 3.1.1 and 3.1.2, since here we are performing regression without an intercept.) Show algebraically, and confrm numerically in R, that the t-statistic can be written as
\[ \frac{(\sqrt{n-1})\sum_{i=1}^n x_i y_i}{\sqrt{(\sum_{i=1}^n x_i^2)(\sum_{i'=1}^n y_{i'}^2) - (\sum_{i'=1}^n x_{i'} y_{i'})^2}}. \]
- Using the results from (d), argue that the t-statistic for the regression of y onto x is the same as the t-statistic for the regression of x onto y.
- In R, show that when regression is performed with an intercept, the t-statistic for H0 : β1 = 0 is the same for the regression of y onto x as it is for the regression of x onto y.
- This problem involves simple linear regression without an intercept.
- Recall that the coefcient estimate βˆ for the linear regression of Y onto X without an intercept is given by (3.38). Under what circumstance is the coefcient estimate for the regression of X onto Y the same as the coefcient estimate for the regression of Y onto X?
- Generate an example in Python with n = 100 observations in which the coefcient estimate for the regression of X onto Y is diferent from the coefcient estimate for the regression of Y onto X.
- Generate an example in Python with n = 100 observations in which the coefcient estimate for the regression of X onto Y is the same as the coefcient estimate for the regression of Y onto X.
- In this exercise you will create some simulated data and will ft simple linear regression models to it. Make sure to use the default random number generator with seed set to 1 prior to starting part (a) to ensure consistent results.
- Using the normal() method of your random number generator, create a vector, x, containing 100 observations drawn from a N(0, 1) distribution. This represents a feature, X.
- Using the normal() method, create a vector, eps, containing 100 observations drawn from a N(0, 0.25) distribution—a normal distribution with mean zero and variance 0.25.
- Using x and eps, generate a vector y according to the model
\[ Y = -1 + 0.5X + \epsilon. \tag{3.39} \]
What is the length of the vector y? What are the values of β0 and β1 in this linear model?
- Create a scatterplot displaying the relationship between x and y. Comment on what you observe.
- Fit a least squares linear model to predict y using x. Comment on the model obtained. How do βˆ0 and βˆ1 compare to β0 and β1?
- Display the least squares line on the scatterplot obtained in (d). Draw the population regression line on the plot, in a diferent color. Use the legend() method of the axes to create an appropriate legend.
- Now ft a polynomial regression model that predicts y using x and x2. Is there evidence that the quadratic term improves the model ft? Explain your answer.
- Repeat (a)–(f) after modifying the data generation process in such a way that there is less noise in the data. The model (3.39) should remain the same. You can do this by decreasing the variance of the normal distribution used to generate the error term ” in (b). Describe your results.
- Repeat (a)–(f) after modifying the data generation process in such a way that there is more noise in the data. The model (3.39) should remain the same. You can do this by increasing the variance of the normal distribution used to generate the error term ” in (b). Describe your results.
- What are the confdence intervals for β0 and β1 based on the original data set, the noisier data set, and the less noisy data set? Comment on your results.
- This problem focuses on the collinearity problem.
- Perform the following commands in Python:
rng = np.random.default_rng(10)
x1 = rng.uniform(0, 1, size=100)
x2 = 0.5 * x1 + rng.normal(size=100) / 10
y = 2 + 2 * x1 + 0.3 * x2 + rng.normal(size=100)
The last line corresponds to creating a linear model in which y is a function of x1 and x2. Write out the form of the linear model. What are the regression coefcients?
- What is the correlation between x1 and x2? Create a scatterplot displaying the relationship between the variables.
- Using this data, ft a least squares regression to predict y using x1 and x2. Describe the results obtained. What are βˆ0, βˆ1, and βˆ2? How do these relate to the true β0, β1, and β2? Can you reject the null hypothesis H0 : β1 = 0? How about the null hypothesis H0 : β2 = 0?
- Now ft a least squares regression to predict y using only x1. Comment on your results. Can you reject the null hypothesis H0 : β1 = 0?
- Now ft a least squares regression to predict y using only x2. Comment on your results. Can you reject the null hypothesis H0 : β1 = 0?
- Do the results obtained in (c)–(e) contradict each other? Explain your answer.
- Suppose we obtain one additional observation, which was unfortunately mismeasured. We use the function np.concatenate() to np.concaadd this additional observation to each of x1, x2 and y. tenate()
x1 = np.concatenate([x1, [0.1]])
x2 = np.concatenate([x2, [0.8]])
y = np.concatenate([y, [6]])
Re-ft the linear models from (c) to (e) using this new data. What efect does this new observation have on the each of the models? In each model, is this observation an outlier? A high-leverage point? Both? Explain your answers.
- This problem involves the Boston data set, which we saw in the lab for this chapter. We will now try to predict per capita crime rate using the other variables in this data set. In other words, per capita crime rate is the response, and the other variables are the predictors.
- For each predictor, ft a simple linear regression model to predict the response. Describe your results. In which of the models is there a statistically signifcant association between the predictor and the response? Create some plots to back up your assertions.
- Fit a multiple regression model to predict the response using all of the predictors. Describe your results. For which predictors can we reject the null hypothesis H0 : βj = 0?
- How do your results from (a) compare to your results from (b)? Create a plot displaying the univariate regression coefcients from (a) on the x-axis, and the multiple regression coefcients from (b) on the y-axis. That is, each predictor is displayed as a single point in the plot. Its coefcient in a simple linear regression model is shown on the x-axis, and its coefcient estimate in the multiple linear regression model is shown on the y-axis.
- Is there evidence of non-linear association between any of the predictors and the response? To answer this question, for each predictor X, ft a model of the form
\[ Y = \beta_0 + \beta_1 X + \beta_2 X^2 + \beta_3 X^3 + \epsilon. \]
4 Classifcation

The linear regression model discussed in Chapter 3 assumes that the response variable Y is quantitative. But in many situations, the response variable is instead qualitative. For example, eye color is qualitative. Of- qualitative ten qualitative variables are referred to as categorical; we will use these terms interchangeably. In this chapter, we study approaches for predicting qualitative responses, a process that is known as classifcation. Predicting classifcation a qualitative response for an observation can be referred to as classifying that observation, since it involves assigning the observation to a category, or class. On the other hand, often the methods used for classifcation frst predict the probability that the observation belongs to each of the categories of a qualitative variable, as the basis for making the classifcation. In this sense they also behave like regression methods.
There are many possible classifcation techniques, or classifers, that one classifer might use to predict a qualitative response. We touched on some of these in Sections 2.1.5 and 2.2.3. In this chapter we discuss some widely-used classifers: logistic regression, linear discriminant analysis, quadratic dis- logistic criminant analysis, naive Bayes, and K-nearest neighbors. The discussion of logistic regression is used as a jumping-of point for a discussion of generalized linear models, and in particular, Poisson regression. We discuss more computer-intensive classifcation methods in later chapters: these include generalized additive models (Chapter 7); trees, random forests, and boosting (Chapter 8); and support vector machines (Chapter 9).
4.1 An Overview of Classifcation
Classifcation problems occur often, perhaps even more so than regression problems. Some examples include:
G. James et al., An Introduction to Statistical Learning, Springer Texts in Statistics, https://doi.org/10.1007/978-3-031-38747-0\_4
regression linear discriminant analysis quadratic discriminant analysis naive Bayes K-nearest neighbors generalized linear models Poisson regression
© Springer Nature Switzerland AG 2023
- A person arrives at the emergency room with a set of symptoms that could possibly be attributed to one of three medical conditions. Which of the three conditions does the individual have?
- An online banking service must be able to determine whether or not a transaction being performed on the site is fraudulent, on the basis of the user’s IP address, past transaction history, and so forth.
- On the basis of DNA sequence data for a number of patients with and without a given disease, a biologist would like to fgure out which DNA mutations are deleterious (disease-causing) and which are not.
Just as in the regression setting, in the classifcation setting we have a set of training observations (x1, y1),…,(xn, yn) that we can use to build a classifer. We want our classifer to perform well not only on the training data, but also on test observations that were not used to train the classifer.
In this chapter, we will illustrate the concept of classifcation using the simulated Default data set. We are interested in predicting whether an individual will default on his or her credit card payment, on the basis of annual income and monthly credit card balance. The data set is displayed in Figure 4.1. In the left-hand panel of Figure 4.1, we have plotted annual income and monthly credit card balance for a subset of 10, 000 individuals. The individuals who defaulted in a given month are shown in orange, and those who did not in blue. (The overall default rate is about 3 %, so we have plotted only a fraction of the individuals who did not default.) It appears that individuals who defaulted tended to have higher credit card balances than those who did not. In the center and right-hand panels of Figure 4.1, two pairs of boxplots are shown. The frst shows the distribution of balance split by the binary default variable; the second is a similar plot for income. In this chapter, we learn how to build a model to predict default (Y ) for any given value of balance (X1) and income (X2). Since Y is not quantitative, the simple linear regression model of Chapter 3 is not a good choice: we will elaborate on this further in Section 4.2.
It is worth noting that Figure 4.1 displays a very pronounced relationship between the predictor balance and the response default. In most real applications, the relationship between the predictor and the response will not be nearly so strong. However, for the sake of illustrating the classifcation procedures discussed in this chapter, we use an example in which the relationship between the predictor and the response is somewhat exaggerated.
4.2 Why Not Linear Regression?
We have stated that linear regression is not appropriate in the case of a qualitative response. Why not?
Suppose that we are trying to predict the medical condition of a patient in the emergency room on the basis of her symptoms. In this simplifed example, there are three possible diagnoses: stroke, drug overdose, and

FIGURE 4.1. The Default data set. Left: The annual incomes and monthly credit card balances of a number of individuals. The individuals who defaulted on their credit card payments are shown in orange, and those who did not are shown in blue. Center: Boxplots of balance as a function of default status. Right: Boxplots of income as a function of default status.
epileptic seizure. We could consider encoding these values as a quantitative response variable, Y , as follows:
\[ Y = \begin{cases} 1 & \text{if stroke;} \\ 2 & \text{if drug overdose;} \\ 3 & \text{if epilepticו} \end{cases} \]
Using this coding, least squares could be used to ft a linear regression model to predict Y on the basis of a set of predictors X1,…,Xp. Unfortunately, this coding implies an ordering on the outcomes, putting drug overdose in between stroke and epileptic seizure, and insisting that the diference between stroke and drug overdose is the same as the diference between drug overdose and epileptic seizure. In practice there is no particular reason that this needs to be the case. For instance, one could choose an equally reasonable coding,
\[ Y = \begin{cases} 1 & \text{if epileptic seizure;} \\ 2 & \text{if stroke;} \\ 3 & \text{if drug overdose,} \end{cases} \]
which would imply a totally diferent relationship among the three conditions. Each of these codings would produce fundamentally diferent linear models that would ultimately lead to diferent sets of predictions on test observations.
If the response variable’s values did take on a natural ordering, such as mild, moderate, and severe, and we felt the gap between mild and moderate was similar to the gap between moderate and severe, then a 1, 2, 3 coding would be reasonable. Unfortunately, in general there is no natural way to convert a qualitative response variable with more than two levels into a quantitative response that is ready for linear regression.
For a binary (two level) qualitative response, the situation is better. For binary instance, perhaps there are only two possibilities for the patient’s medical condition: stroke and drug overdose. We could then potentially use the dummy variable approach from Section 3.3.1 to code the response as follows:
\[ Y = \begin{cases} 0 & \text{if stroke;} \\ 1 & \text{if drug overdose.} \end{cases} \]
We could then ft a linear regression to this binary response, and predict drug overdose if Y >ˆ 0.5 and stroke otherwise. In the binary case it is not hard to show that even if we fip the above coding, linear regression will produce the same fnal predictions.
For a binary response with a 0/1 coding as above, regression by least squares is not completely unreasonable: it can be shown that the Xβˆ obtained using linear regression is in fact an estimate of Pr(drug overdose|X) in this special case. However, if we use linear regression, some of our estimates might be outside the [0, 1] interval (see Figure 4.2), making them hard to interpret as probabilities! Nevertheless, the predictions provide an ordering and can be interpreted as crude probability estimates. Curiously, it turns out that the classifcations that we get if we use linear regression to predict a binary response will be the same as for the linear discriminant analysis (LDA) procedure we discuss in Section 4.4.
To summarize, there are at least two reasons not to perform classifcation using a regression method: (a) a regression method cannot accommodate a qualitative response with more than two classes; (b) a regression method will not provide meaningful estimates of Pr(Y |X), even with just two classes. Thus, it is preferable to use a classifcation method that is truly suited for qualitative response values. In the next section, we present logistic regression, which is well-suited for the case of a binary qualitative response; in later sections we will cover classifcation methods that are appropriate when the qualitative response has two or more classes.
4.3 Logistic Regression
Consider again the Default data set, where the response default falls into one of two categories, Yes or No. Rather than modeling this response Y directly, logistic regression models the probability that Y belongs to a particular category.
For the Default data, logistic regression models the probability of default. For example, the probability of default given balance can be written as
\[ Pr(\texttt{default} = \texttt{Yes} | \texttt{balance}). \]
The values of Pr(default = Yes|balance), which we abbreviate p(balance), will range between 0 and 1. Then for any given value of balance, a prediction can be made for default. For example, one might predict default = Yes for any individual for whom p(balance) > 0.5. Alternatively, if a company wishes to be conservative in predicting individuals who are at risk for default, then they may choose to use a lower threshold, such as p(balance) > 0.1.

FIGURE 4.2. Classification using the Default data. Left: Estimated probability of default using linear regression. Some estimated probabilities are negative! The orange ticks indicate the 0/1 values coded for default(No or Yes). Right: Predicted probabilities of default using logistic regression. All probabilities lie between 0 and 1.
4.3.1 The Logistic Model
How should we model the relationship between p(X) = Pr(Y = 1|X) and X? (For convenience we are using the generic 0/1 coding for the response.) In Section 4.2 we considered using a linear regression model to represent these probabilities:
\[ p(X) = \beta_0 + \beta_1 X. \tag{4.1} \]
If we use this approach to predict default=Yes using balance, then we obtain the model shown in the left-hand panel of Figure 4.2. Here we see the problem with this approach: for balances close to zero we predict a negative probability of default; if we were to predict for very large balances, we would get values bigger than 1. These predictions are not sensible, since of course the true probability of default, regardless of credit card balance, must fall between 0 and 1. This problem is not unique to the credit default data. Any time a straight line is fit to a binary response that is coded as 0 or 1, in principle we can always predict p(X) < 0 for some values of X and p(X) > 1 for others (unless the range of X is limited). To avoid this problem, we must model p(X) using a function that gives outputs between 0 and 1 for all values of X. Many functions meet this description. In logistic regression, we use the logistic function,
\[ p(X) = \frac{e^{\beta_0 + \beta_1 X}}{1 + e^{\beta_0 + \beta_1 X}}. \tag{4.2} \]
To fit the model (4.2), we use a method called maximum likelihood, which we discuss in the next section. The right-hand panel of Figure 4.2 illustrates the fit of the logistic regression model to the Default data. Notice that for low balances we now predict the probability of default as close to, but never below, zero. Likewise, for high balances we predict a default probability close to, but never above, one. The logistic function will always produce an S-shaped curve of this form, and so regardless of the value of X, we will obtain a sensible prediction. We also see that the logistic model is better able to capture the range of probabilities than is the linear regression model in the left-hand plot. The average ftted probability in both cases is 0.0333 (averaged over the training data), which is the same as the overall proportion of defaulters in the data set.
After a bit of manipulation of (4.2), we fnd that
\[ \frac{p(X)}{1 - p(X)} = e^{\beta_0 + \beta_1 X}. \tag{4.3} \]
The quantity p(X)/[1−p(X)] is called the odds, and can take on any value odds between 0 and ∞. Values of the odds close to 0 and ∞ indicate very low and very high probabilities of default, respectively. For example, on average 1 in 5 people with an odds of 1/4 will default, since p(X)=0.2 implies an odds of 0.2 1−0.2 = 1/4. Likewise, on average nine out of every ten people with an odds of 9 will default, since p(X)=0.9 implies an odds of 0.9 1−0.9 = 9. Odds are traditionally used instead of probabilities in horse-racing, since they relate more naturally to the correct betting strategy.
By taking the logarithm of both sides of (4.3), we arrive at
\[ \log\left(\frac{p(X)}{1-p(X)}\right) = \beta_0 + \beta_1 X. \tag{4.4} \]
The left-hand side is called the log odds or logit. We see that the logistic log odds logit regression model (4.2) has a logit that is linear in X.
Recall from Chapter 3 that in a linear regression model, β1 gives the average change in Y associated with a one-unit increase in X. By contrast, in a logistic regression model, increasing X by one unit changes the log odds by β1 (4.4). Equivalently, it multiplies the odds by eβ1 (4.3). However, because the relationship between p(X) and X in (4.2) is not a straight line, β1 does not correspond to the change in p(X) associated with a one-unit increase in X. The amount that p(X) changes due to a one-unit change in X depends on the current value of X. But regardless of the value of X, if β1 is positive then increasing X will be associated with increasing p(X), and if β1 is negative then increasing X will be associated with decreasing p(X). The fact that there is not a straight-line relationship between p(X) and X, and the fact that the rate of change in p(X) per unit change in X depends on the current value of X, can also be seen by inspection of the right-hand panel of Figure 4.2.
4.3.2 Estimating the Regression Coefcients
The coefcients β0 and β1 in (4.2) are unknown, and must be estimated based on the available training data. In Chapter 3, we used the least squares approach to estimate the unknown linear regression coefcients. Although we could use (non-linear) least squares to ft the model (4.4), the more general method of maximum likelihood is preferred, since it has better statistical properties. The basic intuition behind using maximum likelihood to ft a logistic regression model is as follows: we seek estimates for β0 and β1 such that the predicted probability pˆ(xi) of default for each individual, using (4.2), corresponds as closely as possible to the individual’s observed default status. In other words, we try to fnd βˆ0 and βˆ1 such that plugging these estimates into the model for p(X), given in (4.2), yields a number close to one for all individuals who defaulted, and a number close to zero for all individuals who did not. This intuition can be formalized using a mathematical equation called a likelihood function: likelihood
function
\[ \ell(\beta_0, \beta_1) = \prod_{i:y_i=1} p(x_i) \prod_{i':y_{i'}=0} (1 - p(x_{i'})). \] (4.5)
The estimates βˆ0 and βˆ1 are chosen to maximize this likelihood function.
Maximum likelihood is a very general approach that is used to ft many of the non-linear models that we examine throughout this book. In the linear regression setting, the least squares approach is in fact a special case of maximum likelihood. The mathematical details of maximum likelihood are beyond the scope of this book. However, in general, logistic regression and other models can be easily ft using statistical software such as R, and so we do not need to concern ourselves with the details of the maximum likelihood ftting procedure.
Table 4.1 shows the coefcient estimates and related information that result from ftting a logistic regression model on the Default data in order to predict the probability of default=Yes using balance. We see that βˆ1 = 0.0055; this indicates that an increase in balance is associated with an increase in the probability of default. To be precise, a one-unit increase in balance is associated with an increase in the log odds of default by 0.0055 units.
Many aspects of the logistic regression output shown in Table 4.1 are similar to the linear regression output of Chapter 3. For example, we can measure the accuracy of the coefcient estimates by computing their standard errors. The z-statistic in Table 4.1 plays the same role as the t-statistic in the linear regression output, for example in Table 3.1 on page 77. For instance, the z-statistic associated with β1 is equal to βˆ1/SE(βˆ1), and so a large (absolute) value of the z-statistic indicates evidence against the null hypothesis H0 : β1 = 0. This null hypothesis implies that p(X) = eβ0 1+eβ0 : in other words, that the probability of default does not depend on balance. Since the p-value associated with balance in Table 4.1 is tiny, we can reject H0. In other words, we conclude that there is indeed an association between balance and probability of default. The estimated intercept in Table 4.1 is typically not of interest; its main purpose is to adjust the average ftted probabilities to the proportion of ones in the data (in this case, the overall default rate).
4.3.3 Making Predictions
Once the coefcients have been estimated, we can compute the probability of default for any given credit card balance. For example, using the coefcient estimates given in Table 4.1, we predict that the default probability
| Coefcient | Std. error | z-statistic | p-value | |
|---|---|---|---|---|
| Intercept | −10.6513 | 0.3612 | −29.5 | <0.0001 |
| balance | 0.0055 | 0.0002 | 24.9 | <0.0001 |
TABLE 4.1. For the Default data, estimated coefcients of the logistic regression model that predicts the probability of default using balance. A one-unit increase in balance is associated with an increase in the log odds of default by 0.0055 units.
| Coefcient | Std. error | z-statistic | p-value | |
|---|---|---|---|---|
| Intercept | −3.5041 | 0.0707 | −49.55 | <0.0001 |
| student[Yes] | 0.4049 | 0.1150 | 3.52 | 0.0004 |
TABLE 4.2. For the Default data, estimated coefcients of the logistic regression model that predicts the probability of default using student status. Student status is encoded as a dummy variable, with a value of 1 for a student and a value of 0 for a non-student, and represented by the variable student[Yes] in the table.
for an individual with a balance of $1, 000 is
\[ \hat{p}(X) = \frac{e^{\hat{\beta}_0 + \hat{\beta}_1 X}}{1 + e^{\hat{\beta}_0 + \hat{\beta}_1 X}} = \frac{e^{-10.6513 + 0.0055 \times 1,000}}{1 + e^{-10.6513 + 0.0055 \times 1,000}} = 0.00576, \]
which is below 1 %. In contrast, the predicted probability of default for an individual with a balance of $2, 000 is much higher, and equals 0.586 or 58.6 %.
One can use qualitative predictors with the logistic regression model using the dummy variable approach from Section 3.3.1. As an example, the Default data set contains the qualitative variable student. To ft a model that uses student status as a predictor variable, we simply create a dummy variable that takes on a value of 1 for students and 0 for non-students. The logistic regression model that results from predicting probability of default from student status can be seen in Table 4.2. The coefcient associated with the dummy variable is positive, and the associated p-value is statistically signifcant. This indicates that students tend to have higher default probabilities than non-students:
\[ \widehat{\Pr}(\text{default}=Yes|student=Yes) = \frac{e^{-3.5041 + 0.4049 \times 1}}{1 + e^{-3.5041 + 0.4049 \times 1}} = 0.0431, \] \[ \widehat{\Pr}(\text{default}=Yes|student=No) = \frac{e^{-3.5041 + 0.4049 \times 0}}{1 + e^{-3.5041 + 0.4049 \times 0}} = 0.0292. \]
4.3.4 Multiple Logistic Regression
We now consider the problem of predicting a binary response using multiple predictors. By analogy with the extension from simple to multiple linear regression in Chapter 3, we can generalize (4.4) as follows:
\[ \log\left(\frac{p(X)}{1 - p(X)}\right) = \beta_0 + \beta_1 X_1 + \dots + \beta_p X_p, \] (4.6)
where X = (X1,…,Xp) are p predictors. Equation 4.6 can be rewritten as
\[ p(X) = \frac{e^{\beta_0 + \beta_1 X_1 + \dots + \beta_p X_p}}{1 + e^{\beta_0 + \beta_1 X_1 + \dots + \beta_p X_p}}. \] (4.7)
| Coefcient | Std. error | z-statistic | p-value | |
|---|---|---|---|---|
| Intercept | −10.8690 | 0.4923 | −22.08 | <0.0001 |
| balance | 0.0057 | 0.0002 | 24.74 | <0.0001 |
| income | 0.0030 | 0.0082 | 0.37 | 0.7115 |
| student[Yes] | −0.6468 | 0.2362 | −2.74 | 0.0062 |
TABLE 4.3. For the Default data, estimated coefcients of the logistic regression model that predicts the probability of default using balance, income, and student status. Student status is encoded as a dummy variable student[Yes], with a value of 1 for a student and a value of 0 for a non-student. In ftting this model, income was measured in thousands of dollars.
Just as in Section 4.3.2, we use the maximum likelihood method to estimate β0, β1,…, βp.
Table 4.3 shows the coefcient estimates for a logistic regression model that uses balance, income (in thousands of dollars), and student status to predict probability of default. There is a surprising result here. The pvalues associated with balance and the dummy variable for student status are very small, indicating that each of these variables is associated with the probability of default. However, the coefcient for the dummy variable is negative, indicating that students are less likely to default than nonstudents. In contrast, the coefcient for the dummy variable is positive in Table 4.2. How is it possible for student status to be associated with an increase in probability of default in Table 4.2 and a decrease in probability of default in Table 4.3? The left-hand panel of Figure 4.3 provides a graphical illustration of this apparent paradox. The orange and blue solid lines show the average default rates for students and non-students, respectively, as a function of credit card balance. The negative coefcient for student in the multiple logistic regression indicates that for a fxed value of balance and income, a student is less likely to default than a non-student. Indeed, we observe from the left-hand panel of Figure 4.3 that the student default rate is at or below that of the non-student default rate for every value of balance. But the horizontal broken lines near the base of the plot, which show the default rates for students and non-students averaged over all values of balance and income, suggest the opposite efect: the overall student default rate is higher than the non-student default rate. Consequently, there is a positive coefcient for student in the single variable logistic regression output shown in Table 4.2.
The right-hand panel of Figure 4.3 provides an explanation for this discrepancy. The variables student and balance are correlated. Students tend to hold higher levels of debt, which is in turn associated with higher probability of default. In other words, students are more likely to have large credit card balances, which, as we know from the left-hand panel of Figure 4.3, tend to be associated with high default rates. Thus, even though an individual student with a given credit card balance will tend to have a lower probability of default than a non-student with the same credit card balance, the fact that students on the whole tend to have higher credit card balances means that overall, students tend to default at a higher rate than non-students. This is an important distinction for a credit card company that is trying to determine to whom they should ofer credit. A student is riskier than a non-student if no information about the student’s credit card

FIGURE 4.3. Confounding in the Default data. Left: Default rates are shown for students (orange) and non-students (blue). The solid lines display default rate as a function of balance, while the horizontal broken lines display the overall default rates. Right: Boxplots of balance for students (orange) and non-students (blue) are shown.
balance is available. However, that student is less risky than a non-student with the same credit card balance!
This simple example illustrates the dangers and subtleties associated with performing regressions involving only a single predictor when other predictors may also be relevant. As in the linear regression setting, the results obtained using one predictor may be quite diferent from those obtained using multiple predictors, especially when there is correlation among the predictors. In general, the phenomenon seen in Figure 4.3 is known as
confounding. confounding By substituting estimates for the regression coefcients from Table 4.3 into (4.7), we can make predictions. For example, a student with a credit card balance of $1, 500 and an income of $40, 000 has an estimated probability of default of
\[ \hat{p}(X) = \frac{e^{-10.869 + 0.00574 \times 1,500 + 0.003 \times 40 - 0.6468 \times 1}}{1 + e^{-10.869 + 0.00574 \times 1,500 + 0.003 \times 40 - 0.6468 \times 1}} = 0.058. \] (4.8)
A non-student with the same balance and income has an estimated probability of default of
\[ \hat{p}(X) = \frac{e^{-10.869 + 0.00574 \times 1,500 + 0.003 \times 40 - 0.6468 \times 0}}{1 + e^{-10.869 + 0.00574 \times 1,500 + 0.003 \times 40 - 0.6468 \times 0}} = 0.105. \] (4.9)
(Here we multiply the income coefcient estimate from Table 4.3 by 40, rather than by 40,000, because in that table the model was ft with income measured in units of $1, 000.)
4.3.5 Multinomial Logistic Regression
We sometimes wish to classify a response variable that has more than two classes. For example, in Section 4.2 we had three categories of medical condition in the emergency room: stroke, drug overdose, epileptic seizure. However, the logistic regression approach that we have seen in this section only allows for K = 2 classes for the response variable.
It turns out that it is possible to extend the two-class logistic regression approach to the setting of K > 2 classes. This extension is sometimes known as multinomial logistic regression. To do this, we frst select a single multinomial class to serve as the baseline; without loss of generality, we select the Kth class for this role. Then we replace the model (4.7) with the model
logistic regression
\[ \Pr(Y = k | X = x) = \frac{e^{\beta_{k0} + \beta_{k1} x_1 + \dots + \beta_{kp} x_p}}{1 + \sum_{l=1}^{K-1} e^{\beta_{l0} + \beta_{l1} x_1 + \dots + \beta_{lp} x_p}} \] (4.10)
for k = 1,…,K−1, and
\[ \Pr(Y = K | X = x) = \frac{1}{1 + \sum_{l=1}^{K-1} e^{\beta_{l0} + \beta_{l1} x_1 + \dots + \beta_{lp} x_p}}. \] (4.11)
It is not hard to show that for k = 1,…,K−1,
\[ \log \left( \frac{\Pr(Y = k | X = x)}{\Pr(Y = K | X = x)} \right) = \beta_{k0} + \beta_{k1} x_1 + \dots + \beta_{kp} x_p. \] (4.12)
Notice that (4.12) is quite similar to (4.6). Equation 4.12 indicates that once again, the log odds between any pair of classes is linear in the features.
It turns out that in (4.10)–(4.12), the decision to treat the Kth class as the baseline is unimportant. For example, when classifying emergency room visits into stroke, drug overdose, and epileptic seizure, suppose that we ft two multinomial logistic regression models: one treating stroke as the baseline, another treating drug overdose as the baseline. The coefcient estimates will difer between the two ftted models due to the difering choice of baseline, but the ftted values (predictions), the log odds between any pair of classes, and the other key model outputs will remain the same.
Nonetheless, interpretation of the coefcients in a multinomial logistic regression model must be done with care, since it is tied to the choice of baseline. For example, if we set epileptic seizure to be the baseline, then we can interpret βstroke0 as the log odds of stroke versus epileptic seizure, given that x1 = ··· = xp = 0. Furthermore, a one-unit increase in Xj is associated with a βstrokej increase in the log odds of stroke over epileptic seizure. Stated another way, if Xj increases by one unit, then
\[ \frac{\Pr(Y = \text{stroke}|X = x)}{\Pr(Y = \text{epileptic seizure}|X = x)} \]
increases by eβstrokej .
We now briefy present an alternative coding for multinomial logistic regression, known as the softmax coding. The softmax coding is equivalent softmax to the coding just described in the sense that the ftted values, log odds between any pair of classes, and other key model outputs will remain the same, regardless of coding. But the softmax coding is used extensively in some areas of the machine learning literature (and will appear again in Chapter 10), so it is worth being aware of it. In the softmax coding, rather than selecting a baseline class, we treat all K classes symmetrically, and assume that for k = 1,…,K,
\[ \Pr(Y = k | X = x) = \frac{e^{\beta_{k0} + \beta_{k1} x_1 + \dots + \beta_{kp} x_p}}{\sum_{l=1}^{K} e^{\beta_{l0} + \beta_{l1} x_1 + \dots + \beta_{lp} x_p}}. \] (4.13)
Thus, rather than estimating coefcients for K − 1 classes, we actually estimate coefcients for all K classes. It is not hard to see that as a result of (4.13), the log odds ratio between the kth and k$ th classes equals
\[ \log\left(\frac{\Pr(Y=k|X=x)}{\Pr(Y=k'|X=x)}\right) = (\beta_{k0} - \beta_{k'0}) + (\beta_{k1} - \beta_{k'1})x_1 + \dots + (\beta_{kp} - \beta_{k'p})x_p. \] (4.14)
4.4 Generative Models for Classifcation
Logistic regression involves directly modeling Pr(Y = k|X = x) using the logistic function, given by (4.7) for the case of two response classes. In statistical jargon, we model the conditional distribution of the response Y , given the predictor(s) X. We now consider an alternative and less direct approach to estimating these probabilities. In this new approach, we model the distribution of the predictors X separately in each of the response classes (i.e. for each value of Y ). We then use Bayes’ theorem to fip these around into estimates for Pr(Y = k|X = x). When the distribution of X within each class is assumed to be normal, it turns out that the model is very similar in form to logistic regression.
Why do we need another method, when we have logistic regression? There are several reasons:
- When there is substantial separation between the two classes, the parameter estimates for the logistic regression model are surprisingly unstable. The methods that we consider in this section do not sufer from this problem.
- If the distribution of the predictors X is approximately normal in each of the classes and the sample size is small, then the approaches in this section may be more accurate than logistic regression.
- The methods in this section can be naturally extended to the case of more than two response classes. (In the case of more than two response classes, we can also use multinomial logistic regression from Section 4.3.5.)
Suppose that we wish to classify an observation into one of K classes, where K ≥ 2. In other words, the qualitative response variable Y can take on K possible distinct and unordered values. Let πk represent the overall or prior probability that a randomly chosen observation comes from the prior kth class. Let fk(X) ≡ Pr(X|Y = k)1 denote the density function of X density function for an observation that comes from the kth class. In other words, fk(x) is relatively large if there is a high probability that an observation in the kth class has X ≈ x, and fk(x) is small if it is very unlikely that an observation in the kth class has X ≈ x. Then Bayes’ theorem states that Bayes’
theorem
1Technically, this defnition is only correct if X is a qualitative random variable. If X is quantitative, then fk(x)dx corresponds to the probability of X falling in a small region dx around x.
4.4 Generative Models for Classifcation 147
\[ \Pr(Y = k | X = x) = \frac{\pi_k f_k(x)}{\sum_{l=1}^K \pi_l f_l(x)}.\tag{4.15} \]
In accordance with our earlier notation, we will use the abbreviation pk(x) = Pr(Y = k|X = x); this is the posterior probability that an observation posterior X = x belongs to the kth class. That is, it is the probability that the observation belongs to the kth class, given the predictor value for that observation.
Equation 4.15 suggests that instead of directly computing the posterior probability pk(x) as in Section 4.3.1, we can simply plug in estimates of πk and fk(x) into (4.15). In general, estimating πk is easy if we have a random sample from the population: we simply compute the fraction of the training observations that belong to the kth class. However, estimating the density function fk(x) is much more challenging. As we will see, to estimate fk(x), we will typically have to make some simplifying assumptions.
We know from Chapter 2 that the Bayes classifer, which classifes an observation x to the class for which pk(x) is largest, has the lowest possible error rate out of all classifers. (Of course, this is only true if all of the terms in (4.15) are correctly specifed.) Therefore, if we can fnd a way to estimate fk(x), then we can plug it into (4.15) in order to approximate the Bayes classifer.
In the following sections, we discuss three classifers that use diferent estimates of fk(x) in (4.15) to approximate the Bayes classifer: linear discriminant analysis, quadratic discriminant analysis, and naive Bayes.
4.4.1 Linear Discriminant Analysis for p* = 1
For now, assume that p = 1—that is, we have only one predictor. We would like to obtain an estimate for fk(x) that we can plug into (4.15) in order to estimate pk(x). We will then classify an observation to the class for which pk(x) is greatest. To estimate fk(x), we will frst make some assumptions about its form.
In particular, we assume that fk(x) is normal or Gaussian. In the one- normal Gaussian dimensional setting, the normal density takes the form
\[ f_k(x) = \frac{1}{\sqrt{2\pi}\sigma_k} \exp\left(-\frac{1}{2\sigma_k^2}(x - \mu_k)^2\right),\tag{4.16} \]
where µk and σ2 k are the mean and variance parameters for the kth class. For now, let us further assume that σ2 1 = ··· = σ2 K: that is, there is a shared variance term across all K classes, which for simplicity we can denote by σ2. Plugging (4.16) into (4.15), we fnd that
\[ p_k(x) = \frac{\pi_k \frac{1}{\sqrt{2\pi\sigma}} \exp\left(-\frac{1}{2\sigma^2} (x - \mu_k)^2\right)}{\sum_{l=1}^K \pi_l \frac{1}{\sqrt{2\pi\sigma}} \exp\left(-\frac{1}{2\sigma^2} (x - \mu_l)^2\right)}. \] (4.17)
(Note that in (4.17), πk denotes the prior probability that an observation belongs to the kth class, not to be confused with π ≈ 3.14159, the mathematical constant.) The Bayes classifer2 involves assigning an observation
2Recall that the Bayes classifer assigns an observation to the class for which pk(x) is largest. This is diferent from Bayes’ theorem in (4.15), which allows us to manipulate conditional distributions.

FIGURE 4.4. Left: Two one-dimensional normal density functions are shown. The dashed vertical line represents the Bayes decision boundary. Right: 20 observations were drawn from each of the two classes, and are shown as histograms. The Bayes decision boundary is again shown as a dashed vertical line. The solid vertical line represents the LDA decision boundary estimated from the training data.
X = x to the class for which (4.17) is largest. Taking the log of (4.17) and rearranging the terms, it is not hard to show3 that this is equivalent to assigning the observation to the class for which
\[ \delta_k(x) = x \cdot \frac{\mu_k}{\sigma^2} - \frac{\mu_k^2}{2\sigma^2} + \log(\pi_k) \] (4.18)
is largest. For instance, if K = 2 and π1 = π2, then the Bayes classifer assigns an observation to class 1 if 2x (µ1 − µ2) > µ2 1 − µ2 2, and to class 2 otherwise. The Bayes decision boundary is the point for which δ1(x) = δ2(x); one can show that this amounts to
\[ x = \frac{\mu_1^2 - \mu_2^2}{2(\mu_1 - \mu_2)} = \frac{\mu_1 + \mu_2}{2}. \] (4.19)
An example is shown in the left-hand panel of Figure 4.4. The two normal density functions that are displayed, f1(x) and f2(x), represent two distinct classes. The mean and variance parameters for the two density functions are µ1 = −1.25, µ2 = 1.25, and σ2 1 = σ2 2 = 1. The two densities overlap, and so given that X = x, there is some uncertainty about the class to which the observation belongs. If we assume that an observation is equally likely to come from either class—that is, π1 = π2 = 0.5—then by inspection of (4.19), we see that the Bayes classifer assigns the observation to class 1 if x < 0 and class 2 otherwise. Note that in this case, we can compute the Bayes classifer because we know that X is drawn from a Gaussian distribution within each class, and we know all of the parameters involved. In a real-life situation, we are not able to calculate the Bayes classifer.
In practice, even if we are quite certain of our assumption that X is drawn from a Gaussian distribution within each class, to apply the Bayes classifer we still have to estimate the parameters µ1,…,µK, π1,…, πK, and σ2. The linear discriminant analysis (LDA) method approximates the linear Bayes classifer by plugging estimates for πk, µk, and σ2 into (4.18). In
discriminant analysis
3See Exercise 2 at the end of this chapter.
particular, the following estimates are used:
\[ \hat{\mu}_k = \frac{1}{n_k} \sum_{i:y_i=k} x_i \] \[ \hat{\sigma}^2 = \frac{1}{n-K} \sum_{k=1}^K \sum_{i:y_i=k} (x_i - \hat{\mu}_k)^2 \] (4.20)
where n is the total number of training observations, and nk is the number of training observations in the kth class. The estimate for µk is simply the average of all the training observations from the kth class, while σˆ2 can be seen as a weighted average of the sample variances for each of the K classes. Sometimes we have knowledge of the class membership probabilities π1,…, πK, which can be used directly. In the absence of any additional information, LDA estimates πk using the proportion of the training observations that belong to the kth class. In other words,
\[ \hat{\pi}_k = n_k/n. \tag{4.21} \]
The LDA classifer plugs the estimates given in (4.20) and (4.21) into (4.18), and assigns an observation X = x to the class for which
\[ \hat{\delta}_k(x) = x \cdot \frac{\hat{\mu}_k}{\hat{\sigma}^2} - \frac{\hat{\mu}_k^2}{2\hat{\sigma}^2} + \log(\hat{\pi}_k) \] (4.22)
is largest. The word linear in the classifer’s name stems from the fact that the discriminant functions ˆδk(x) in (4.22) are linear functions of x (as discriminant function opposed to a more complex function of x).
The right-hand panel of Figure 4.4 displays a histogram of a random sample of 20 observations from each class. To implement LDA, we began by estimating πk, µk, and σ2 using (4.20) and (4.21). We then computed the decision boundary, shown as a black solid line, that results from assigning an observation to the class for which (4.22) is largest. All points to the left of this line will be assigned to the green class, while points to the right of this line are assigned to the purple class. In this case, since n1 = n2 = 20, we have πˆ1 = ˆπ2. As a result, the decision boundary corresponds to the midpoint between the sample means for the two classes, (ˆµ1 + ˆµ2)/2. The fgure indicates that the LDA decision boundary is slightly to the left of the optimal Bayes decision boundary, which instead equals (µ1 + µ2)/2 = 0. How well does the LDA classifer perform on this data? Since this is simulated data, we can generate a large number of test observations in order to compute the Bayes error rate and the LDA test error rate. These are 10.6 % and 11.1 %, respectively. In other words, the LDA classifer’s error rate is only 0.5 % above the smallest possible error rate! This indicates that LDA is performing pretty well on this data set.
To reiterate, the LDA classifer results from assuming that the observations within each class come from a normal distribution with a classspecifc mean and a common variance σ2, and plugging estimates for these parameters into the Bayes classifer. In Section 4.4.3, we will consider a less stringent set of assumptions, by allowing the observations in the kth class to have a class-specifc variance, σ2 k.

FIGURE 4.5. Two multivariate Gaussian density functions are shown, with p = 2. Left: The two predictors are uncorrelated. Right: The two variables have a correlation of 0.7.
4.4.2 Linear Discriminant Analysis for p >1
We now extend the LDA classifer to the case of multiple predictors. To do this, we will assume that X = (X1, X2,…,Xp) is drawn from a multivariate Gaussian (or multivariate normal) distribution, with a class-specifc multivariate mean vector and a common covariance matrix. We begin with a brief review Gaussian of this distribution.
The multivariate Gaussian distribution assumes that each individual predictor follows a one-dimensional normal distribution, as in (4.16), with some correlation between each pair of predictors. Two examples of multivariate Gaussian distributions with p = 2 are shown in Figure 4.5. The height of the surface at any particular point represents the probability that both X1 and X2 fall in a small region around that point. In either panel, if the surface is cut along the X1 axis or along the X2 axis, the resulting cross-section will have the shape of a one-dimensional normal distribution. The left-hand panel of Figure 4.5 illustrates an example in which Var(X1) = Var(X2) and Cor(X1, X2)=0; this surface has a characteristic bell shape. However, the bell shape will be distorted if the predictors are correlated or have unequal variances, as is illustrated in the right-hand panel of Figure 4.5. In this situation, the base of the bell will have an elliptical, rather than circular, shape. To indicate that a p-dimensional random variable X has a multivariate Gaussian distribution, we write X ∼ N(µ, Σ). Here E(X) = µ is the mean of X (a vector with p components), and Cov(X) = Σ is the p × p covariance matrix of X. Formally, the multivariate Gaussian density is defned as
\[ f(x) = \frac{1}{(2\pi)^{p/2} |\Sigma|^{1/2}} \exp\left(-\frac{1}{2}(x-\mu)^T \Sigma^{-1} (x-\mu)\right). \] (4.23)
In the case of p > 1 predictors, the LDA classifer assumes that the observations in the kth class are drawn from a multivariate Gaussian distribution N(µk, Σ), where µk is a class-specifc mean vector, and Σ is a covariance matrix that is common to all K classes. Plugging the density function for the kth class, fk(X = x), into (4.15) and performing a little bit of algebra reveals that the Bayes classifer assigns an observation X = x

FIGURE 4.6. An example with three classes. The observations from each class are drawn from a multivariate Gaussian distribution with p = 2, with a class-specifc mean vector and a common covariance matrix. Left: Ellipses that contain 95 % of the probability for each of the three classes are shown. The dashed lines are the Bayes decision boundaries. Right: 20 observations were generated from each class, and the corresponding LDA decision boundaries are indicated using solid black lines. The Bayes decision boundaries are once again shown as dashed lines.
to the class for which
\[ \delta_k(x) = x^T \Sigma^{-1} \mu_k - \frac{1}{2} \mu_k^T \Sigma^{-1} \mu_k + \log \pi_k \tag{4.24} \]
is largest. This is the vector/matrix version of (4.18).
An example is shown in the left-hand panel of Figure 4.6. Three equallysized Gaussian classes are shown with class-specifc mean vectors and a common covariance matrix. The three ellipses represent regions that contain 95 % of the probability for each of the three classes. The dashed lines are the Bayes decision boundaries. In other words, they represent the set of values x for which δk(x) = δ$(x); i.e.
\[ x^T \Sigma^{-1} \mu_k - \frac{1}{2} \mu_k^T \Sigma^{-1} \mu_k = x^T \Sigma^{-1} \mu_l - \frac{1}{2} \mu_l^T \Sigma^{-1} \mu_l \tag{4.25} \]
for k =% l. (The log πk term from (4.24) has disappeared because each of the three classes has the same number of training observations; i.e. πk is the same for each class.) Note that there are three lines representing the Bayes decision boundaries because there are three pairs of classes among the three classes. That is, one Bayes decision boundary separates class 1 from class 2, one separates class 1 from class 3, and one separates class 2 from class 3. These three Bayes decision boundaries divide the predictor space into three regions. The Bayes classifer will classify an observation according to the region in which it is located.
Once again, we need to estimate the unknown parameters µ1,…,µK, π1,…, πK, and Σ; the formulas are similar to those used in the onedimensional case, given in (4.20). To assign a new observation X = x, LDA plugs these estimates into (4.24) to obtain quantities ˆδk(x), and classifes to the class for which ˆδk(x) is largest. Note that in (4.24) δk(x) is a linear function of x; that is, the LDA decision rule depends on x only
| True default status | ||||
|---|---|---|---|---|
| No | Yes | Total | ||
| Predicted | No | 9644 | 252 | 9896 |
| default status | Yes | 23 | 81 | 104 |
| Total | 9667 | 333 | 10000 |
TABLE 4.4. A confusion matrix compares the LDA predictions to the true default statuses for the 10,000 training observations in the Default data set. Elements on the diagonal of the matrix represent individuals whose default statuses were correctly predicted, while of-diagonal elements represent individuals that were misclassifed. LDA made incorrect predictions for 23 individuals who did not default and for 252 individuals who did default.
through a linear combination of its elements. As previously discussed, this is the reason for the word linear in LDA.
In the right-hand panel of Figure 4.6, 20 observations drawn from each of the three classes are displayed, and the resulting LDA decision boundaries are shown as solid black lines. Overall, the LDA decision boundaries are pretty close to the Bayes decision boundaries, shown again as dashed lines. The test error rates for the Bayes and LDA classifers are 0.0746 and 0.0770, respectively. This indicates that LDA is performing well on this data.
We can perform LDA on the Default data in order to predict whether or not an individual will default on the basis of credit card balance and student status.4 The LDA model ft to the 10,000 training samples results in a training error rate of 2.75 %. This sounds like a low error rate, but two caveats must be noted.
- First of all, training error rates will usually be lower than test error rates, which are the real quantity of interest. In other words, we might expect this classifer to perform worse if we use it to predict whether or not a new set of individuals will default. The reason is that we specifcally adjust the parameters of our model to do well on the training data. The higher the ratio of parameters p to number of samples n, the more we expect this overftting to play a role. For overftting these data we don’t expect this to be a problem, since p = 2 and n = 10, 000.
- Second, since only 3.33 % of the individuals in the training sample defaulted, a simple but useless classifer that always predicts that an individual will not default, regardless of his or her credit card balance and student status, will result in an error rate of 3.33 %. In other words, the trivial null classifer will achieve an error rate that null is only a bit higher than the LDA training set error rate.
In practice, a binary classifer such as this one can make two types of errors: it can incorrectly assign an individual who defaults to the no default category, or it can incorrectly assign an individual who does not default to
4The careful reader will notice that student status is qualitative — thus, the normality assumption made by LDA is clearly violated in this example! However, LDA is often remarkably robust to model violations, as this example shows. Naive Bayes, discussed in Section 4.4.4, provides an alternative to LDA that does not assume normally distributed predictors.
the default category. It is often of interest to determine which of these two types of errors are being made. A confusion matrix, shown for the Default confusion matrix data in Table 4.4, is a convenient way to display this information. The table reveals that LDA predicted that a total of 104 people would default. Of these people, 81 actually defaulted and 23 did not. Hence only 23 out of 9,667 of the individuals who did not default were incorrectly labeled. This looks like a pretty low error rate! However, of the 333 individuals who defaulted, 252 (or 75.7 %) were missed by LDA. So while the overall error rate is low, the error rate among individuals who defaulted is very high. From the perspective of a credit card company that is trying to identify high-risk individuals, an error rate of 252/333 = 75.7 % among individuals who default may well be unacceptable.
Class-specifc performance is also important in medicine and biology, where the terms sensitivity and specifcity characterize the performance of sensitivity specifcity a classifer or screening test. In this case the sensitivity is the percentage of true defaulters that are identifed; it equals 24.3 %. The specifcity is the percentage of non-defaulters that are correctly identifed; it equals (1 − 23/9667) = 99.8 %.
Why does LDA do such a poor job of classifying the customers who default? In other words, why does it have such low sensitivity? As we have seen, LDA is trying to approximate the Bayes classifer, which has the lowest total error rate out of all classifers. That is, the Bayes classifer will yield the smallest possible total number of misclassifed observations, regardless of the class from which the errors stem. Some misclassifcations will result from incorrectly assigning a customer who does not default to the default class, and others will result from incorrectly assigning a customer who defaults to the non-default class. In contrast, a credit card company might particularly wish to avoid incorrectly classifying an individual who will default, whereas incorrectly classifying an individual who will not default, though still to be avoided, is less problematic. We will now see that it is possible to modify LDA in order to develop a classifer that better meets the credit card company’s needs.
The Bayes classifer works by assigning an observation to the class for which the posterior probability pk(X) is greatest. In the two-class case, this amounts to assigning an observation to the default class if
\[ Pr(\text{default} = \text{Yes}|X = x) > 0.5. \tag{4.26} \]
Thus, the Bayes classifer, and by extension LDA, uses a threshold of 50 % for the posterior probability of default in order to assign an observation to the default class. However, if we are concerned about incorrectly predicting the default status for individuals who default, then we can consider lowering this threshold. For instance, we might label any customer with a posterior probability of default above 20 % to the default class. In other words, instead of assigning an observation to the default class if (4.26) holds, we could instead assign an observation to this class if
\[ Pr(\text{default} = \text{Yes}|X = x) > 0.2. \tag{4.27} \]
The error rates that result from taking this approach are shown in Table 4.5. Now LDA predicts that 430 individuals will default. Of the 333 individuals who default, LDA correctly predicts all but 138, or 41.4 %. This is a vast
| True default status | ||||
|---|---|---|---|---|
| No | Yes | Total | ||
| Predicted | No | 9432 | 138 | 9570 |
| default status | Yes | 235 | 195 | 430 |
| Total | 9667 | 333 | 10000 |
TABLE 4.5. A confusion matrix compares the LDA predictions to the true default statuses for the 10,000 training observations in the Default data set, using a modifed threshold value that predicts default for any individuals whose posterior default probability exceeds 20 %.

FIGURE 4.7. For the Default data set, error rates are shown as a function of the threshold value for the posterior probability that is used to perform the assignment. The black solid line displays the overall error rate. The blue dashed line represents the fraction of defaulting customers that are incorrectly classifed, and the orange dotted line indicates the fraction of errors among the non-defaulting customers.
improvement over the error rate of 75.7 % that resulted from using the threshold of 50 %. However, this improvement comes at a cost: now 235 individuals who do not default are incorrectly classifed. As a result, the overall error rate has increased slightly to 3.73 %. But a credit card company may consider this slight increase in the total error rate to be a small price to pay for more accurate identifcation of individuals who do indeed default.
Figure 4.7 illustrates the trade-of that results from modifying the threshold value for the posterior probability of default. Various error rates are shown as a function of the threshold value. Using a threshold of 0.5, as in (4.26), minimizes the overall error rate, shown as a black solid line. This is to be expected, since the Bayes classifer uses a threshold of 0.5 and is known to have the lowest overall error rate. But when a threshold of 0.5 is used, the error rate among the individuals who default is quite high (blue dashed line). As the threshold is reduced, the error rate among individuals who default decreases steadily, but the error rate among the individuals who do not default increases. How can we decide which threshold value is best? Such a decision must be based on domain knowledge, such as detailed information about the costs associated with default.
The ROC curve is a popular graphic for simultaneously displaying the ROC curve two types of errors for all possible thresholds. The name “ROC” is historic, and comes from communications theory. It is an acronym for receiver operating characteristics. Figure 4.8 displays the ROC curve for the LDA classifer on the training data. The overall performance of a classifer, sum-

FIGURE 4.8. A ROC curve for the LDA classifer on the Default data. It traces out two types of error as we vary the threshold value for the posterior probability of default. The actual thresholds are not shown. The true positive rate is the sensitivity: the fraction of defaulters that are correctly identifed, using a given threshold value. The false positive rate is 1-specifcity: the fraction of non-defaulters that we classify incorrectly as defaulters, using that same threshold value. The ideal ROC curve hugs the top left corner, indicating a high true positive rate and a low false positive rate. The dotted line represents the “no information” classifer; this is what we would expect if student status and credit card balance are not associated with probability of default.
marized over all possible thresholds, is given by the area under the (ROC) curve (AUC). An ideal ROC curve will hug the top left corner, so the larger area under the AUC the better the classifer. For this data the AUC is 0.95, which is close to the maximum of 1.0, so would be considered very good. We expect a classifer that performs no better than chance to have an AUC of 0.5 (when evaluated on an independent test set not used in model training). ROC curves are useful for comparing diferent classifers, since they take into account all possible thresholds. It turns out that the ROC curve for the logistic regression model of Section 4.3.4 ft to these data is virtually indistinguishable from this one for the LDA model, so we do not display it here.
As we have seen above, varying the classifer threshold changes its true positive and false positive rate. These are also called the sensitivity and one sensitivity minus the specifcity of our classifer. Since there is an almost bewildering specifcity array of terms used in this context, we now give a summary. Table 4.6 shows the possible results when applying a classifer (or diagnostic test) to a population. To make the connection with the epidemiology literature, we think of “+” as the “disease” that we are trying to detect, and “−” as the “non-disease” state. To make the connection to the classical hypothesis testing literature, we think of “−” as the null hypothesis and “+” as the
the (ROC) curve
| True class | |||||
|---|---|---|---|---|---|
| − or Null | + or Non-null | Total | |||
| Predicted | − or Null | True Neg. (TN) | False Neg. (FN) | N∗ | |
| class | + or Non-null | False Pos. (FP) | True Pos. (TP) | P∗ | |
| Total | N | P |
TABLE 4.6. Possible results when applying a classifer or diagnostic test to a population.
| Name | Defnition | Synonyms |
|---|---|---|
| False Pos. rate | FP/N | Type I error, 1−Specifcity |
| True Pos. rate | TP/P | 1−Type II error, power, sensitivity, recall |
| Pos. Pred. value | TP/P∗ | Precision, 1−false discovery proportion |
| Neg. Pred. value | TN/N∗ |
TABLE 4.7. Important measures for classifcation and diagnostic testing, derived from quantities in Table 4.6.
alternative (non-null) hypothesis. In the context of the Default data, “+” indicates an individual who defaults, and “−” indicates one who does not.
Table 4.7 lists many of the popular performance measures that are used in this context. The denominators for the false positive and true positive rates are the actual population counts in each class. In contrast, the denominators for the positive predictive value and the negative predictive value are the total predicted counts for each class.
4.4.3 Quadratic Discriminant Analysis
As we have discussed, LDA assumes that the observations within each class are drawn from a multivariate Gaussian distribution with a class-specifc mean vector and a covariance matrix that is common to all K classes. Quadratic discriminant analysis (QDA) provides an alternative approach. quadratic Like LDA, the QDA classifer results from assuming that the observations from each class are drawn from a Gaussian distribution, and plugging estimates for the parameters into Bayes’ theorem in order to perform prediction. However, unlike LDA, QDA assumes that each class has its own covariance matrix. That is, it assumes that an observation from the kth class is of the form X ∼ N(µk, Σk), where Σk is a covariance matrix for the kth class. Under this assumption, the Bayes classifer assigns an observation X = x to the class for which
\[ \begin{array}{c} \text{discriminant} \\ \text{analysis} \end{array} \]
\[ \delta_k(x) = -\frac{1}{2}(x - \mu_k)^T \Sigma_k^{-1} (x - \mu_k) - \frac{1}{2} \log |\Sigma_k| + \log \pi_k \]
= \[ -\frac{1}{2} x^T \Sigma_k^{-1} x + x^T \Sigma_k^{-1} \mu_k - \frac{1}{2} \mu_k^T \Sigma_k^{-1} \mu_k - \frac{1}{2} \log |\Sigma_k| + \log \pi_k \] (4.28)
is largest. So the QDA classifer involves plugging estimates for Σk, µk, and πk into (4.28), and then assigning an observation X = x to the class for which this quantity is largest. Unlike in (4.24), the quantity x appears as a quadratic function in (4.28). This is where QDA gets its name.
Why does it matter whether or not we assume that the K classes share a common covariance matrix? In other words, why would one prefer LDA to

FIGURE 4.9. Left: The Bayes (purple dashed), LDA (black dotted), and QDA (green solid) decision boundaries for a two-class problem with Σ1 = Σ2. The shading indicates the QDA decision rule. Since the Bayes decision boundary is linear, it is more accurately approximated by LDA than by QDA. Right: Details are as given in the left-hand panel, except that Σ1 =” Σ2. Since the Bayes decision boundary is non-linear, it is more accurately approximated by QDA than by LDA.
QDA, or vice-versa? The answer lies in the bias-variance trade-of. When there are p predictors, then estimating a covariance matrix requires estimating p(p+1)/2 parameters. QDA estimates a separate covariance matrix for each class, for a total of Kp(p+1)/2 parameters. With 50 predictors this is some multiple of 1,275, which is a lot of parameters. By instead assuming that the K classes share a common covariance matrix, the LDA model becomes linear in x, which means there are Kp linear coefcients to estimate. Consequently, LDA is a much less fexible classifer than QDA, and so has substantially lower variance. This can potentially lead to improved prediction performance. But there is a trade-of: if LDA’s assumption that the K classes share a common covariance matrix is badly of, then LDA can sufer from high bias. Roughly speaking, LDA tends to be a better bet than QDA if there are relatively few training observations and so reducing variance is crucial. In contrast, QDA is recommended if the training set is very large, so that the variance of the classifer is not a major concern, or if the assumption of a common covariance matrix for the K classes is clearly untenable.
Figure 4.9 illustrates the performances of LDA and QDA in two scenarios. In the left-hand panel, the two Gaussian classes have a common correlation of 0.7 between X1 and X2. As a result, the Bayes decision boundary is linear and is accurately approximated by the LDA decision boundary. The QDA decision boundary is inferior, because it sufers from higher variance without a corresponding decrease in bias. In contrast, the right-hand panel displays a situation in which the orange class has a correlation of 0.7 between the variables and the blue class has a correlation of −0.7. Now the Bayes decision boundary is quadratic, and so QDA more accurately approximates this boundary than does LDA.
4.4.4 Naive Bayes
In previous sections, we used Bayes’ theorem (4.15) to develop the LDA and QDA classifers. Here, we use Bayes’ theorem to motivate the popular
naive Bayes classifer. naive Bayes Recall that Bayes’ theorem (4.15) provides an expression for the posterior probability pk(x) = Pr(Y = k|X = x) in terms of π1,…, πK and f1(x),…,fK(x). To use (4.15) in practice, we need estimates for π1,…, πK and f1(x),…,fK(x). As we saw in previous sections, estimating the prior probabilities π1,…, πK is typically straightforward: for instance, we can estimate πˆk as the proportion of training observations belonging to the kth class, for k = 1,…,K.
However, estimating f1(x),…,fK(x) is more subtle. Recall that fk(x) is the p-dimensional density function for an observation in the kth class, for k = 1,…,K. In general, estimating a p-dimensional density function is challenging. In LDA, we make a very strong assumption that greatly simplifes the task: we assume that fk is the density function for a multivariate normal random variable with class-specifc mean µk, and shared covariance matrix Σ. By contrast, in QDA, we assume that fk is the density function for a multivariate normal random variable with class-specifc mean µk, and class-specifc covariance matrix Σk. By making these very strong assumptions, we are able to replace the very challenging problem of estimating K p-dimensional density functions with the much simpler problem of estimating K p-dimensional mean vectors and one (in the case of LDA) or K (in the case of QDA) (p × p)-dimensional covariance matrices.
The naive Bayes classifer takes a diferent tack for estimating f1(x),…, fK(x). Instead of assuming that these functions belong to a particular family of distributions (e.g. multivariate normal), we instead make a single assumption:
Within the kth class, the p predictors are independent.
Stated mathematically, this assumption means that for k = 1,…,K,
\[ f_k(x) = f_{k1}(x_1) \times f_{k2}(x_2) \times \cdots \times f_{kp}(x_p), \qquad (4.29) \]
where fkj is the density function of the jth predictor among observations in the kth class.
Why is this assumption so powerful? Essentially, estimating a p-dimensional density function is challenging because we must consider not only the marginal distribution of each predictor — that is, the distribution of marginal distribution each predictor on its own — but also the joint distribution of the predictors — that is, the association between the diferent predictors. In the case of a multivariate normal distribution, the association between the diferent predictors is summarized by the of-diagonal elements of the covariance matrix. However, in general, this association can be very hard to characterize, and exceedingly challenging to estimate. But by assuming that the p covariates are independent within each class, we completely eliminate the need to worry about the association between the p predictors, because we have simply assumed that there is no association between the predictors!
Do we really believe the naive Bayes assumption that the p covariates are independent within each class? In most settings, we do not. But even though this modeling assumption is made for convenience, it often leads to
joint distribution pretty decent results, especially in settings where n is not large enough relative to p for us to efectively estimate the joint distribution of the predictors within each class. In fact, since estimating a joint distribution requires such a huge amount of data, naive Bayes is a good choice in a wide range of settings. Essentially, the naive Bayes assumption introduces some bias, but reduces variance, leading to a classifer that works quite well in practice as a result of the bias-variance trade-of.
Once we have made the naive Bayes assumption, we can plug (4.29) into (4.15) to obtain an expression for the posterior probability,
\[ \Pr(Y = k | X = x) = \frac{\pi_k \times f_{k1}(x_1) \times f_{k2}(x_2) \times \dots \times f_{kp}(x_p)}{\sum_{l=1}^K \pi_l \times f_{l1}(x_1) \times f_{l2}(x_2) \times \dots \times f_{lp}(x_p)} \] (4.30)
for k = 1,…,K.
To estimate the one-dimensional density function fkj using training data x1j ,…,xnj , we have a few options.
- If Xj is quantitative, then we can assume that Xj |Y = k ∼ N(µjk, σ2 jk). In other words, we assume that within each class, the jth predictor is drawn from a (univariate) normal distribution. While this may sound a bit like QDA, there is one key diference, in that here we are assuming that the predictors are independent; this amounts to QDA with an additional assumption that the class-specifc covariance matrix is diagonal.
- If Xj is quantitative, then another option is to use a non-parametric estimate for fkj . A very simple way to do this is by making a histogram for the observations of the jth predictor within each class. Then we can estimate fkj (xj ) as the fraction of the training observations in the kth class that belong to the same histogram bin as xj . Alternatively, we can use a kernel density estimator, which is kernel essentially a smoothed version of a histogram.
density estimator
• If Xj is qualitative, then we can simply count the proportion of training observations for the jth predictor corresponding to each class. For instance, suppose that Xj ∈ {1, 2, 3}, and we have 100 observations in the kth class. Suppose that the jth predictor takes on values of 1, 2, and 3 in 32, 55, and 13 of those observations, respectively. Then we can estimate fkj as
\[ \hat{f}_{kj}(x_j) = \begin{cases} 0.32 & \text{if } x_j = 1 \\ 0.55 & \text{if } x_j = 2 \\ 0.13 & \text{if } x_j = 3. \end{cases} \]
We now consider the naive Bayes classifer in a toy example with p = 3 predictors and K = 2 classes. The frst two predictors are quantitative, and the third predictor is qualitative with three levels. Suppose further that πˆ1 = ˆπ2 = 0.5. The estimated density functions ˆfkj for k = 1, 2 and j = 1, 2, 3 are displayed in Figure 4.10. Now suppose that we wish to classify a new observation, x∗ = (0.4, 1.5, 1)T . It turns out that in this


FIGURE 4.10. In the toy example in Section 4.4.4, we generate data with p = 3 predictors and K = 2 classes. The frst two predictors are quantitative, and the third predictor is qualitative with three levels. In each class, the estimated density for each of the three predictors is displayed. If the prior probabilities for the two classes are equal, then the observation x∗ = (0.4, 1.5, 1)T has a 94.4% posterior probability of belonging to the frst class.
| True default status | ||||
|---|---|---|---|---|
| No | Yes | Total | ||
| Predicted | No | 9621 | 244 | 9865 |
| default status | Yes | 46 | 89 | 135 |
| Total | 9667 | 333 | 10000 |
TABLE 4.8. Comparison of the naive Bayes predictions to the true default status for the 10, 000 training observations in the Default data set, when we predict default for any observation for which P(Y = default|X = x) > 0.5.
example, ˆf11(0.4) = 0.368, ˆf12(1.5) = 0.484, ˆf13(1) = 0.226, and ˆf21(0.4) = 0.030, ˆf22(1.5) = 0.130, ˆf23(1) = 0.616. Plugging these estimates into (4.30) results in posterior probability estimates of Pr(Y = 1|X = x∗)=0.944 and Pr(Y = 2|X = x∗)=0.056.
Table 4.8 provides the confusion matrix resulting from applying the naive Bayes classifer to the Default data set, where we predict a default if the posterior probability of a default — that is, P(Y = default|X = x) — exceeds 0.5. Comparing this to the results for LDA in Table 4.4, our fndings are mixed. While LDA has a slightly lower overall error rate, naive Bayes
| True default status | ||||
|---|---|---|---|---|
| No | Yes | Total | ||
| Predicted | No | 9339 | 130 | 9469 |
| default status | Yes | 328 | 203 | 531 |
| Total | 9667 | 333 | 10000 |
TABLE 4.9. Comparison of the naive Bayes predictions to the true default status for the 10, 000 training observations in the Default data set, when we predict default for any observation for which P(Y = default|X = x) > 0.2.
correctly predicts a higher fraction of the true defaulters. In this implementation of naive Bayes, we have assumed that each quantitative predictor is drawn from a Gaussian distribution (and, of course, that within each class, each predictor is independent).
Just as with LDA, we can easily adjust the probability threshold for predicting a default. For example, Table 4.9 provides the confusion matrix resulting from predicting a default if P(Y = default|X = x) > 0.2. Again, the results are mixed relative to LDA with the same threshold (Table 4.5). Naive Bayes has a higher error rate, but correctly predicts almost two-thirds of the true defaults.
In this example, it should not be too surprising that naive Bayes does not convincingly outperform LDA: this data set has n = 10,000 and p = 2, and so the reduction in variance resulting from the naive Bayes assumption is not necessarily worthwhile. We expect to see a greater pay-of to using naive Bayes relative to LDA or QDA in instances where p is larger or n is smaller, so that reducing the variance is very important.
4.5 A Comparison of Classifcation Methods
4.5.1 An Analytical Comparison
We now perform an analytical (or mathematical) comparison of LDA, QDA, naive Bayes, and logistic regression. We consider these approaches in a setting with K classes, so that we assign an observation to the class that maximizes Pr(Y = k|X = x). Equivalently, we can set K as the baseline class and assign an observation to the class that maximizes
\[ \log\left(\frac{\Pr(Y=k|X=x)}{\Pr(Y=K|X=x)}\right) \] (4.31)
for k = 1,…,K. Examining the specifc form of (4.31) for each method provides a clear understanding of their similarities and diferences.
First, for LDA, we can make use of Bayes’ theorem (4.15) as well as the assumption that the predictors within each class are drawn from a multivariate normal density (4.23) with class-specifc mean and shared covariance matrix in order to show that
\[ \log \left( \frac{\Pr(Y = k | X = x)}{\Pr(Y = K | X = x)} \right) = \log \left( \frac{\pi_k f_k(x)}{\pi_K f_K(x)} \right) \]
\[ = \log \left( \frac{\pi_k \exp \left( -\frac{1}{2} (x - \mu_k)^T \Sigma^{-1} (x - \mu_k) \right)}{\pi_K \exp \left( -\frac{1}{2} (x - \mu_K)^T \Sigma^{-1} (x - \mu_K) \right)} \right) \]
\[ = \log \left( \frac{\pi_k}{\pi_K} \right) - \frac{1}{2} (x - \mu_k)^T \Sigma^{-1} (x - \mu_k) \]
\[ + \frac{1}{2} (x - \mu_K)^T \Sigma^{-1} (x - \mu_K) \]
\[ = \log \left( \frac{\pi_k}{\pi_K} \right) - \frac{1}{2} (\mu_k + \mu_K)^T \Sigma^{-1} (\mu_k - \mu_K) \]
\[ + x^T \Sigma^{-1} (\mu_k - \mu_K) \]
\[ = a_k + \sum_{j=1}^p b_{kj} x_j, \qquad (4.32) \]
where ak = log 1 πk πK 2 − 1 2 (µk + µK)T Σ−1(µk − µK) and bkj is the jth component of Σ−1(µk − µK). Hence LDA, like logistic regression, assumes that the log odds of the posterior probabilities is linear in x.
Using similar calculations, in the QDA setting (4.31) becomes
\[ \log\left(\frac{\Pr(Y=k|X=x)}{\Pr(Y=K|X=x)}\right) = a_k + \sum_{j=1}^p b_{kj}x_j + \sum_{j=1}^p \sum_{l=1}^p c_{kjl}x_jx_l, \quad (4.33) \]
where ak, bkj , and ckjl are functions of πk, πK, µk, µK, Σk and ΣK. Again, as the name suggests, QDA assumes that the log odds of the posterior probabilities is quadratic in x.
Finally, we examine (4.31) in the naive Bayes setting. Recall that in this setting, fk(x) is modeled as a product of p one-dimensional functions fkj (xj ) for j = 1,…,p. Hence,
\[ \log\left(\frac{\Pr(Y=k|X=x)}{\Pr(Y=K|X=x)}\right) = \log\left(\frac{\pi_k f_k(x)}{\pi_K f_K(x)}\right) \] \[ = \log\left(\frac{\pi_k \prod_{j=1}^p f_{kj}(x_j)}{\pi_K \prod_{j=1}^p f_{Kj}(x_j)}\right) \] \[ = \log\left(\frac{\pi_k}{\pi_K}\right) + \sum_{j=1}^p \log\left(\frac{f_{kj}(x_j)}{f_{Kj}(x_j)}\right) \] \[ = a_k + \sum_{j=1}^p g_{kj}(x_j), \qquad (4.34) \]
where ak = log 1 πk πK 2 and gkj (xj ) = log 1 fkj (xj ) fKj (xj ) 2 . Hence, the right-hand side of (4.34) takes the form of a generalized additive model, a topic that is discussed further in Chapter 7.
Inspection of (4.32), (4.33), and (4.34) yields the following observations about LDA, QDA, and naive Bayes:
- LDA is a special case of QDA with ckjl = 0 for all j = 1,…,p, l = 1,…,p, and k = 1,…,K. (Of course, this is not surprising, since LDA is simply a restricted version of QDA with Σ1 = ··· = ΣK = Σ.)
- Any classifer with a linear decision boundary is a special case of naive Bayes with gkj (xj ) = bkjxj . In particular, this means that LDA is a special case of naive Bayes! This is not at all obvious from the descriptions of LDA and naive Bayes earlier in this chapter, since each method makes very diferent assumptions: LDA assumes that the features are normally distributed with a common within-class covariance matrix, and naive Bayes instead assumes independence of the features.
- If we model fkj (xj ) in the naive Bayes classifer using a one-dimensional Gaussian distribution N(µkj , σ2 j ), then we end up with gkj (xj ) = bkjxj where bkj = (µkj−µKj )/σ2 j . In this case, naive Bayes is actually a special case of LDA with Σ restricted to be a diagonal matrix with jth diagonal element equal to σ2 j .
- Neither QDA nor naive Bayes is a special case of the other. Naive Bayes can produce a more fexible ft, since any choice can be made for gkj (xj ). However, it is restricted to a purely additive ft, in the sense that in (4.34), a function of xj is added to a function of xl, for j %= l; however, these terms are never multiplied. By contrast, QDA includes multiplicative terms of the form ckjlxjxl. Therefore, QDA has the potential to be more accurate in settings where interactions among the predictors are important in discriminating between classes.
None of these methods uniformly dominates the others: in any setting, the choice of method will depend on the true distribution of the predictors in each of the K classes, as well as other considerations, such as the values of n and p. The latter ties into the bias-variance trade-of.
How does logistic regression tie into this story? Recall from (4.12) that multinomial logistic regression takes the form
\[ \log \left( \frac{\Pr(Y = k | X = x)}{\Pr(Y = K | X = x)} \right) = \beta_{k0} + \sum_{j=1}^{p} \beta_{kj} x_j. \]
This is identical to the linear form of LDA (4.32): in both cases, log 1 Pr(Y =k|X=x) Pr(Y =K|X=x) 2 is a linear function of the predictors. In LDA, the coefcients in this linear function are functions of estimates for πk, πK, µk, µK, and Σ obtained by assuming that X1,…,Xp follow a normal distribution within each class. By contrast, in logistic regression, the coefcients are chosen to maximize the likelihood function (4.5). Thus, we expect LDA to outperform logistic regression when the normality assumption (approximately) holds, and we expect logistic regression to perform better when it does not.
We close with a brief discussion of K-nearest neighbors (KNN), introduced in Chapter 2. Recall that KNN takes a completely diferent approach from the classifers seen in this chapter. In order to make a prediction for an observation X = x, the training observations that are closest to x are identifed. Then X is assigned to the class to which the plurality of these observations belong. Hence KNN is a completely non-parametric approach: no assumptions are made about the shape of the decision boundary. We make the following observations about KNN:
- Because KNN is completely non-parametric, we can expect this approach to dominate LDA and logistic regression when the decision boundary is highly non-linear, provided that n is very large and p is small.
- In order to provide accurate classifcation, KNN requires a lot of observations relative to the number of predictors—that is, n much larger than p. This has to do with the fact that KNN is non-parametric, and thus tends to reduce the bias while incurring a lot of variance.
- In settings where the decision boundary is non-linear but n is only modest, or p is not very small, then QDA may be preferred to KNN. This is because QDA can provide a non-linear decision boundary while taking advantage of a parametric form, which means that it requires a smaller sample size for accurate classifcation, relative to KNN.
- • Unlike logistic regression, KNN does not tell us which predictors are important: we don’t get a table of coefcients as in Table 4.3.
4.5.2 An Empirical Comparison
We now compare the empirical (practical) performance of logistic regression, LDA, QDA, naive Bayes, and KNN. We generated data from six different scenarios, each of which involves a binary (two-class) classifcation problem. In three of the scenarios, the Bayes decision boundary is linear, and in the remaining scenarios it is non-linear. For each scenario, we produced 100 random training data sets. On each of these training sets, we ft each method to the data and computed the resulting test error rate on a large test set. Results for the linear scenarios are shown in Figure 4.11, and the results for the non-linear scenarios are in Figure 4.12. The KNN method requires selection of K, the number of neighbors (not to be confused with the number of classes in earlier sections of this chapter). We performed KNN with two values of K: K = 1, and a value of K that was chosen automatically using an approach called cross-validation, which we discuss further in Chapter 5. We applied naive Bayes assuming univariate Gaussian densities for the features within each class (and, of course — since this is the key characteristic of naive Bayes — assuming independence of the features).
In each of the six scenarios, there were p = 2 quantitative predictors. The scenarios were as follows:

FIGURE 4.11. Boxplots of the test error rates for each of the linear scenarios described in the main text.
Scenario 1: There were 20 training observations in each of two classes. The observations within each class were uncorrelated random normal variables with a diferent mean in each class. The left-hand panel of Figure 4.11 shows that LDA performed well in this setting, as one would expect since this is the model assumed by LDA. Logistic regression also performed quite well, since it assumes a linear decision boundary. KNN performed poorly because it paid a price in terms of variance that was not ofset by a reduction in bias. QDA also performed worse than LDA, since it ft a more fexible classifer than necessary. The performance of naive Bayes was slightly better than QDA, because the naive Bayes assumption of independent predictors is correct.
Scenario 2: Details are as in Scenario 1, except that within each class, the two predictors had a correlation of −0.5. The center panel of Figure 4.11 indicates that the performance of most methods is similar to the previous scenario. The notable exception is naive Bayes, which performs very poorly here, since the naive Bayes assumption of independent predictors is violated.
Scenario 3: As in the previous scenario, there is substantial negative correlation between the predictors within each class. However, this time we generated X1 and X2 from the t-distribution, with 50 observations per class. t- The distribution t-distribution has a similar shape to the normal distribution, but it has a tendency to yield more extreme points—that is, more points that are far from the mean. In this setting, the decision boundary was still linear, and so ft into the logistic regression framework. The set-up violated the assumptions of LDA, since the observations were not drawn from a normal distribution. The right-hand panel of Figure 4.11 shows that logistic regression outperformed LDA, though both methods were superior to the other approaches. In particular, the QDA results deteriorated considerably as a consequence of non-normality. Naive Bayes performed very poorly because the independence assumption is violated.
Scenario 4: The data were generated from a normal distribution, with a correlation of 0.5 between the predictors in the frst class, and correlation of −0.5 between the predictors in the second class. This setup corresponded to the QDA assumption, and resulted in quadratic decision boundaries. The left-hand panel of Figure 4.12 shows that QDA outperformed all of the

FIGURE 4.12. Boxplots of the test error rates for each of the non-linear scenarios described in the main text.
other approaches. The naive Bayes assumption of independent predictors is violated, so naive Bayes performs poorly.
Scenario 5: The data were generated from a normal distribution with uncorrelated predictors. Then the responses were sampled from the logistic function applied to a complicated non-linear function of the predictors. The center panel of Figure 4.12 shows that both QDA and naive Bayes gave slightly better results than the linear methods, while the much more fexible KNN-CV method gave the best results. But KNN with K = 1 gave the worst results out of all methods. This highlights the fact that even when the data exhibits a complex non-linear relationship, a non-parametric method such as KNN can still give poor results if the level of smoothness is not chosen correctly.
Scenario 6: The observations were generated from a normal distribution with a diferent diagonal covariance matrix for each class. However, the sample size was very small: just n = 6 in each class. Naive Bayes performed very well, because its assumptions are met. LDA and logistic regression performed poorly because the true decision boundary is non-linear, due to the unequal covariance matrices. QDA performed a bit worse than naive Bayes, because given the very small sample size, the former incurred too much variance in estimating the correlation between the predictors within each class. KNN’s performance also sufered due to the very small sample size.
These six examples illustrate that no one method will dominate the others in every situation. When the true decision boundaries are linear, then the LDA and logistic regression approaches will tend to perform well. When the boundaries are moderately non-linear, QDA or naive Bayes may give better results. Finally, for much more complicated decision boundaries, a non-parametric approach such as KNN can be superior. But the level of smoothness for a non-parametric approach must be chosen carefully. In the next chapter we examine a number of approaches for choosing the correct level of smoothness and, in general, for selecting the best overall method.
Finally, recall from Chapter 3 that in the regression setting we can accommodate a non-linear relationship between the predictors and the response by performing regression using transformations of the predictors. A similar approach could be taken in the classifcation setting. For instance, we could
| Coefcient | Std. error | t-statistic | p-value | |
|---|---|---|---|---|
| Intercept | 73.60 | 5.13 | 14.34 | 0.00 |
| workingday | 1.27 | 1.78 | 0.71 | 0.48 |
| temp | 157.21 | 10.26 | 15.32 | 0.00 |
| weathersit[cloudy/misty] | -12.89 | 1.96 | -6.56 | 0.00 |
| weathersit[light rain/snow] | -66.49 | 2.97 | -22.43 | 0.00 |
| weathersit[heavy rain/snow] | -109.75 | 76.67 | -1.43 | 0.15 |
TABLE 4.10. Results for a least squares linear model ft to predict bikers in the Bikeshare data. The predictors mnth and hr are omitted from this table due to space constraints, and can be seen in Figure 4.13. For the qualitative variable weathersit, the baseline level corresponds to clear skies.
create a more fexible version of logistic regression by including X2, X3, and even X4 as predictors. This may or may not improve logistic regression’s performance, depending on whether the increase in variance due to the added fexibility is ofset by a sufciently large reduction in bias. We could do the same for LDA. If we added all possible quadratic terms and cross-products to LDA, the form of the model would be the same as the QDA model, although the parameter estimates would be diferent. This device allows us to move somewhere between an LDA and a QDA model.
4.6 Generalized Linear Models
In Chapter 3, we assumed that the response Y is quantitative, and explored the use of least squares linear regression to predict Y . Thus far in this chapter, we have instead assumed that Y is qualitative. However, we may sometimes be faced with situations in which Y is neither qualitative nor quantitative, and so neither linear regression from Chapter 3 nor the classifcation approaches covered in this chapter is applicable.
As a concrete example, we consider the Bikeshare data set. The response is bikers, the number of hourly users of a bike sharing program in Washington, DC. This response value is neither qualitative nor quantitative: instead, it takes on non-negative integer values, or counts. We will consider counts predicting bikers using the covariates mnth (month of the year), hr (hour of the day, from 0 to 23), workingday (an indicator variable that equals 1 if it is neither a weekend nor a holiday), temp (the normalized temperature, in Celsius), and weathersit (a qualitative variable that takes on one of four possible values: clear; misty or cloudy; light rain or light snow; or heavy rain or heavy snow.)
In the analyses that follow, we will treat mnth, hr, and weathersit as qualitative variables.
4.6.3 Generalized Linear Models in Greater Generality
We have now discussed three types of regression models: linear, logistic and Poisson. These approaches share some common characteristics:
- Each approach uses predictors X1,…,Xp to predict a response Y . We assume that, conditional on X1,…,Xp, Y belongs to a certain family of distributions. For linear regression, we typically assume that Y follows a Gaussian or normal distribution. For logistic regression, we assume that Y follows a Bernoulli distribution. Finally, for Poisson regression, we assume that Y follows a Poisson distribution.
- Each approach models the mean of Y as a function of the predictors. In linear regression, the mean of Y takes the form
\[ E(Y|X_1, ..., X_p) = \beta_0 + \beta_1 X_1 + \dots + \beta_p X_p, \qquad (4.39) \]
i.e. it is a linear function of the predictors. For logistic regression, the mean instead takes the form
\[ E(Y|X_1, ..., X_p) = Pr(Y = 1|X_1, ..., X_p) \]
= \[ \frac{e^{\beta_0 + \beta_1 X_1 + ... + \beta_p X_p}}{1 + e^{\beta_0 + \beta_1 X_1 + ... + \beta_p X_p}}, \] (4.40)
while for Poisson regression it takes the form
\[ E(Y|X_1, ..., X_p) = \lambda(X_1, ..., X_p) = e^{\beta_0 + \beta_1 X_1 + ... + \beta_p X_p}. \] (4.41)
Equations (4.39)–(4.41) can be expressed using a link function, η, which link function
5In fact, the variance in the Bikeshare data appears to be much higher than the mean, a situation referred to as overdispersion. This causes the Z-values to be infated in Table 4.11. A more careful analysis should account for this overdispersion to obtain more accurate Z-values, and there are a variety of methods for doing this. But they are beyond the scope of this book.
applies a transformation to E(Y |X1,…,Xp) so that the transformed mean is a linear function of the predictors. That is,
\[ \eta(E(Y|X_1,\ldots,X_p)) = \beta_0 + \beta_1 X_1 + \cdots + \beta_p X_p. \] (4.42)
The link functions for linear, logistic and Poisson regression are η(µ) = µ, η(µ) = log(µ/(1 − µ)), and η(µ) = log(µ), respectively.
The Gaussian, Bernoulli and Poisson distributions are all members of a wider class of distributions, known as the exponential family. Other well- exponential family known members of this family are the exponential distribution, the Gamma distribution, and the negative binomial distribution. In general, we can perform a regression by modeling the response Y as coming from a particular member of the exponential family, and then transforming the mean of the response so that the transformed mean is a linear function of the predictors via (4.42). Any regression approach that follows this very general recipe is known as a generalized linear model (GLM). Thus, linear regression, logistic generalized linear model regression, and Poisson regression are three examples of GLMs. Other examples not covered here include Gamma regression and negative binomial regression.
exponential Gamma negative binomial
4.7 Lab: Logistic Regression, LDA, QDA, and KNN
4.7.1 The Stock Market Data
In this lab we will examine the Smarket data, which is part of the ISLP library. This data set consists of percentage returns for the S&P 500 stock index over 1,250 days, from the beginning of 2001 until the end of 2005. For each date, we have recorded the percentage returns for each of the fve previous trading days, Lag1 through Lag5. We have also recorded Volume (the number of shares traded on the previous day, in billions), Today (the percentage return on the date in question) and Direction (whether the market was Up or Down on this date).
We start by importing our libraries at this top level; these are all imports we have seen in previous labs.
In [1]: import numpy as np
import pandas as pd
from matplotlib.pyplot import subplots
import statsmodels.api as sm
from ISLP import load_data
from ISLP.models import (ModelSpec as MS,
summarize)
We also collect together the new imports needed for this lab.
In [2]: from ISLP import confusion_table
from ISLP.models import contrast
from sklearn.discriminant_analysis import \
(LinearDiscriminantAnalysis as LDA,
QuadraticDiscriminantAnalysis as QDA)
from sklearn.naive_bayes import GaussianNB
from sklearn.neighbors import KNeighborsClassifier
from sklearn.preprocessing import StandardScaler
174 4. Classifcation
from sklearn.model_selection import train_test_split
from sklearn.linear_model import LogisticRegression
Now we are ready to load the Smarket data.
In [3]: Smarket = load_data('Smarket')
Smarket
This gives a truncated listing of the data, which we do not show here. We can see what the variable names are.
In [4]: Smarket.columns
Out[4]: Index(['Year', 'Lag1', 'Lag2', 'Lag3', 'Lag4', 'Lag5', 'Volume',
'Today', 'Direction'],
dtype='object')
We compute the correlation matrix using the corr() method for data .corr() frames, which produces a matrix that contains all of the pairwise correlations among the variables. (We suppress the output here.) The pandas library does not report a correlation for the Direction variable because it is qualitative.
In [5]: Smarket.corr()
As one would expect, the correlations between the lagged return variables and today’s return are close to zero. The only substantial correlation is between Year and Volume. By plotting the data we see that Volume is increasing over time. In other words, the average number of shares traded daily increased from 2001 to 2005.
In [6]: Smarket.plot(y=‘Volume’);
4.7.2 Logistic Regression
Next, we will ft a logistic regression model in order to predict Direction using Lag1 through Lag5 and Volume. The sm.GLM() function fts gener- sm.GLM() alized linear models, a class of models that includes logistic regression. generalized Alternatively, the function linear model sm.Logit() fts a logistic regression model directly. The syntax of sm.GLM() is similar to that of sm.OLS(), except that we must pass in the argument family=sm.families.Binomial() in order to tell statsmodels to run a logistic regression rather than some other type of generalized linear model.
In [7]: allvars = Smarket.columns.drop(['Today', 'Direction', 'Year'])
design = MS(allvars)
X = design.fit_transform(Smarket)
y = Smarket.Direction == 'Up'
glm = sm.GLM(y,
X,
family=sm.families.Binomial())
results = glm.fit()
summarize(results)
| Out[7]: | coef | std err |
z | P> z | |
|---|---|---|---|---|---|
| intercept | -0.1260 | 0.241 | -0.523 | 0.601 | |
| Lag1 | -0.0731 | 0.050 | -1.457 | 0.145 | |
| Lag2 | -0.0423 | 0.050 | -0.845 | 0.398 | |
| Lag3 | 0.0111 | 0.050 | 0.222 | 0.824 | |
| Lag4 | 0.0094 | 0.050 | 0.187 | 0.851 | |
| Lag5 | 0.0103 | 0.050 | 0.208 | 0.835 | |
| Volume | 0.1354 | 0.158 | 0.855 | 0.392 | |
The smallest p-value here is associated with Lag1. The negative coefcient for this predictor suggests that if the market had a positive return yesterday, then it is less likely to go up today. However, at a value of 0.15, the p-value is still relatively large, and so there is no clear evidence of a real association between Lag1 and Direction.
We use the params attribute of results in order to access just the coefcients for this ftted model.
In [8]: results.params
Out[8]: intercept -0.126000
Lag1 -0.073074
Lag2 -0.042301
Lag3 0.011085
Lag4 0.009359
Lag5 0.010313
Volume 0.135441
dtype: float64
Likewise we can use the pvalues attribute to access the p-values for the coefcients (not shown).
In [9]: results.pvalues
The predict() method of results can be used to predict the probability that the market will go up, given values of the predictors. This method returns predictions on the probability scale. If no data set is supplied to the predict() function, then the probabilities are computed for the training data that was used to ft the logistic regression model. As with linear regression, one can pass an optional exog argument consistent with a design matrix if desired. Here we have printed only the frst ten probabilities.
In [10]: probs = results.predict()
probs[:10]
Out[10]: array([0.5070841, 0.4814679, 0.4811388, 0.5152223, 0.5107812, 0.5069565, 0.4926509, 0.5092292, 0.5176135, 0.4888378])
In order to make a prediction as to whether the market will go up or down on a particular day, we must convert these predicted probabilities into class labels, Up or Down. The following two commands create a vector of class predictions based on whether the predicted probability of a market increase is greater than or less than 0.5.
In [11]: labels = np.array(['Down']*1250)
labels[probs >0.5] = "Up"
176 4. Classifcation
The confusion_table() function from the ISLP package summarizes these confusion_ table() predictions, showing how many observations were correctly or incorrectly classifed. Our function, which is adapted from a similar function in the module sklearn.metrics, transposes the resulting matrix and includes row and column labels. The confusion_table() function takes as frst argument the predicted labels, and second argument the true labels.
In [12]: confusion_table(labels, Smarket.Direction)
Out[12]: Truth Down Up
Predicted
Down 145 141
Up 457 507
The diagonal elements of the confusion matrix indicate correct predictions, while the of-diagonals represent incorrect predictions. Hence our model correctly predicted that the market would go up on 507 days and that it would go down on 145 days, for a total of 507 + 145 = 652 correct predictions. The np.mean() function can be used to compute the fraction of days for which the prediction was correct. In this case, logistic regression correctly predicted the movement of the market 52.2% of the time.
In [13]: (507+145)/1250, np.mean(labels == Smarket.Direction)
Out[13]: (0.5216, 0.5216)
At frst glance, it appears that the logistic regression model is working a little better than random guessing. However, this result is misleading because we trained and tested the model on the same set of 1,250 observations. In other words, 100 − 52.2 = 47.8% is the training error rate. As we have seen previously, the training error rate is often overly optimistic — it tends to underestimate the test error rate. In order to better assess the accuracy of the logistic regression model in this setting, we can ft the model using part of the data, and then examine how well it predicts the held out data. This will yield a more realistic error rate, in the sense that in practice we will be interested in our model’s performance not on the data that we used to ft the model, but rather on days in the future for which the market’s movements are unknown.
To implement this strategy, we frst create a Boolean vector corresponding to the observations from 2001 through 2004. We then use this vector to create a held out data set of observations from 2005.
In [14]: train = (Smarket.Year < 2005)
Smarket_train = Smarket.loc[train]
Smarket_test = Smarket.loc[∼train]
Smarket_test.shape
Out[14]: (252, 9)
The object train is a vector of 1,250 elements, corresponding to the observations in our data set. The elements of the vector that correspond to observations that occurred before 2005 are set to True, whereas those that correspond to observations in 2005 are set to False. Hence train is a boolean array, since its elements are True and False. Boolean arrays can be used to obtain a subset of the rows or columns of a data frame using the
loc method. For instance, the command Smarket.loc[train] would pick out a submatrix of the stock market data set, corresponding only to the dates before 2005, since those are the ones for which the elements of train are True. The ∼ symbol can be used to negate all of the elements of a Boolean vector. That is, ∼train is a vector similar to train, except that the elements that are True in train get swapped to False in ∼train, and vice versa. Therefore, Smarket.loc[∼train] yields a subset of the rows of the data frame of the stock market data containing only the observations for which train is False. The output above indicates that there are 252 such observations.
We now ft a logistic regression model using only the subset of the observations that correspond to dates before 2005. We then obtain predicted probabilities of the stock market going up for each of the days in our test set — that is, for the days in 2005.
In [15]: X_train, X_test = X.loc[train], X.loc[∼train]
y_train, y_test = y.loc[train], y.loc[∼train]
glm_train = sm.GLM(y_train,
X_train,
family=sm.families.Binomial())
results = glm_train.fit()
probs = results.predict(exog=X_test)
Notice that we have trained and tested our model on two completely separate data sets: training was performed using only the dates before 2005, and testing was performed using only the dates in 2005.
Finally, we compare the predictions for 2005 to the actual movements of the market over that time period. We will frst store the test and training labels (recall y_test is binary).
In [16]: D = Smarket.Direction
L_train, L_test = D.loc[train], D.loc[∼train]
Now we threshold the ftted probability at 50% to form our predicted labels.
In [17]: labels = np.array(['Down']*252)
labels[probs >0.5] = 'Up'
confusion_table(labels, L_test)
Out[17]: Truth Down Up
Predicted
Down 77 97
Up 34 44
The test accuracy is about 48% while the error rate is about 52%
In [18]: np.mean(labels == L_test), np.mean(labels != L_test)
Out[18]: (0.4802, 0.5198)
The != notation means not equal to, and so the last command computes != the test set error rate. The results are rather disappointing: the test error rate is 52%, which is worse than random guessing! Of course this result is not all that surprising, given that one would not generally expect to be able to use previous days’ returns to predict future market performance. (After all, if it were possible to do so, then the authors of this book would be out striking it rich rather than writing a statistics textbook.)
178 4. Classifcation
We recall that the logistic regression model had very underwhelming pvalues associated with all of the predictors, and that the smallest p-value, though not very small, corresponded to Lag1. Perhaps by removing the variables that appear not to be helpful in predicting Direction, we can obtain a more efective model. After all, using predictors that have no relationship with the response tends to cause a deterioration in the test error rate (since such predictors cause an increase in variance without a corresponding decrease in bias), and so removing such predictors may in turn yield an improvement. Below we reft the logistic regression using just Lag1 and Lag2, which seemed to have the highest predictive power in the original logistic regression model.
In [19]: model = MS(['Lag1', 'Lag2']).fit(Smarket)
X = model.transform(Smarket)
X_train, X_test = X.loc[train], X.loc[∼train]
glm_train = sm.GLM(y_train,
X_train,
family=sm.families.Binomial())
results = glm_train.fit()
probs = results.predict(exog=X_test)
labels = np.array(['Down']*252)
labels[probs >0.5] = 'Up'
confusion_table(labels, L_test)
Out[19]: Truth Down Up Predicted Down 35 35
Up 76 106
Let’s evaluate the overall accuracy as well as the accuracy within the days when logistic regression predicts an increase.
In [20]: (35+106)/252,106/(106+76)
Out[20]: (0.5595, 0.5824)
Now the results appear to be a little better: 56% of the daily movements have been correctly predicted. It is worth noting that in this case, a much simpler strategy of predicting that the market will increase every day will also be correct 56% of the time! Hence, in terms of overall error rate, the logistic regression method is no better than the naive approach. However, the confusion matrix shows that on days when logistic regression predicts an increase in the market, it has a 58% accuracy rate. This suggests a possible trading strategy of buying on days when the model predicts an increasing market, and avoiding trades on days when a decrease is predicted. Of course one would need to investigate more carefully whether this small improvement was real or just due to random chance.
Suppose that we want to predict the returns associated with particular values of Lag1 and Lag2. In particular, we want to predict Direction on a day when Lag1 and Lag2 equal 1.2 and 1.1, respectively, and on a day when they equal 1.5 and −0.8. We do this using the predict() function.
newX = model.transform(newdata)
results.predict(newX)
Out[21]: 0 0.4791
1 0.4961
dtype: float64
4.7.3 Linear Discriminant Analysis
We begin by performing LDA on the Smarket data, using the function LinearDiscriminantAnalysis(), which we have abbreviated LDA(). We ft Linear Discriminant the model using only the observations before 2005.
In [22]: lda = LDA(store_covariance=True)
Since the LDA estimator automatically adds an intercept, we should remove the column corresponding to the intercept in both X_train and X_test. We can also directly use the labels rather than the Boolean vectors y_train.
In [23]: X_train, X_test = [M.drop(columns=['intercept'])
for M in [X_train, X_test]]
lda.fit(X_train, L_train)
Out[23]: LinearDiscriminantAnalysis(store\_covariance=True)
Here we have used the list comprehensions introduced in Section 3.6.4. Looking at our frst line above, we see that the right-hand side is a list of length two. This is because the code for M in [X_train, X_test] iterates over a list of length two. While here we loop over a list, the list comprehension method works when looping over any iterable object. We then apply the drop() method to each element in the iteration, collecting the result .drop() in a list. The left-hand side tells Python to unpack this list of length two, assigning its elements to the variables X_train and X_test. Of course, this overwrites the previous values of X_train and X_test.
Analysis()
Having ft the model, we can extract the means in the two classes with the means_ attribute. These are the average of each predictor within each class, and are used by LDA as estimates of µk. These suggest that there is a tendency for the previous 2 days’ returns to be negative on days when the market increases, and a tendency for the previous days’ returns to be positive on days when the market declines.
In [24]: lda.means_
Out[24]: array([[ 0.04, 0.03],
[-0.04, -0.03]])
The estimated prior probabilities are stored in the priors_ attribute. The package sklearn typically uses this trailing _ to denote a quantity estimated when using the fit() method. We can be sure of which entry corresponds to which label by looking at the classes_ attribute.
In [25]: lda.classes_
Out[25]: array(['Down', 'Up'], dtype='<U4')
The LDA output indicates that πˆDown = 0.492 and πˆUp = 0.508.
In [26]: lda.priors_
Out[26]: array([0.492, 0.508])
The linear discriminant vectors can be found in the scalings_ attribute:
In [27]: lda.scalings_
Out[27]: array([[-0.642], [-0.513]])
These values provide the linear combination of Lag1 and Lag2 that are used to form the LDA decision rule. In other words, these are the multipliers of the elements of X = x in (4.24). If −0.64 × Lag1 − 0.51 × Lag2 is large, then the LDA classifer will predict a market increase, and if it is small, then the LDA classifer will predict a market decline.
In [28]: lda\_pred = lda.predict(X\_test)
As we observed in our comparison of classifcation methods (Section 4.5), the LDA and logistic regression predictions are almost identical.
In [29]: confusion_table(lda_pred, L_test)
Out[29]: Truth Down Up
Predicted
Down 35 35
Up 76 106
We can also estimate the probability of each class for each point in a training set. Applying a 50% threshold to the posterior probabilities of being in class one allows us to recreate the predictions contained in lda_pred.
In [30]: lda_prob = lda.predict_proba(X_test)
np.all(
np.where(lda_prob[:,1] >= 0.5, 'Up','Down') == lda_pred
)
Out[30]: True
Above, we used the np.where() function that creates an array with value np.where() ‘Up’ for indices where the second column of lda_prob (the estimated posterior probability of ‘Up’) is greater than 0.5. For problems with more than two classes the labels are chosen as the class whose posterior probability is highest:
In [31]: np.all(
[lda.classes_[i] for i in np.argmax(lda_prob, 1)] ==
lda_pred
)
Out[31]: True
If we wanted to use a posterior probability threshold other than 50% in order to make predictions, then we could easily do so. For instance, suppose that we wish to predict a market decrease only if we are very certain that the market will indeed decrease on that day — say, if the posterior probability is at least 90%. We know that the frst column of lda_prob corresponds to the label Down after having checked the classes_ attribute, hence we use the column index 0 rather than 1 as we did above.
In [32]: np.sum(lda\_prob[:,0] > 0.9)
Out[32]: 0
No days in 2005 meet that threshold! In fact, the greatest posterior probability of decrease in all of 2005 was 52.02%.
The LDA classifer above is the frst classifer from the sklearn library. We will use several other objects from this library. The objects follow a common structure that simplifes tasks such as cross-validation, which we will see in Chapter 5. Specifcally, the methods frst create a generic classifer without referring to any data. This classifer is then ft to data with the fit() method and predictions are always produced with the predict() method. This pattern of frst instantiating the classifer, followed by ftting it, and then producing predictions is an explicit design choice of sklearn. This uniformity makes it possible to cleanly copy the classifer so that it can be ft on diferent data; e.g. diferent training sets arising in cross-validation. This standard pattern also allows for a predictable formation of workfows.
4.7.4 Quadratic Discriminant Analysis
We will now ft a QDA model to the Smarket data. QDA is implemented via QuadraticDiscriminantAnalysis() in the sklearn package, which we ab- Quadratic Discriminant breviate to QDA(). The syntax is very similar to LDA().
Analysis()
In [33]: qda = QDA(store_covariance=True)
qda.fit(X_train, L_train)
Out[33]: QuadraticDiscriminantAnalysis(store\_covariance=True)
The QDA() function will again compute means_ and priors_.
In [34]: qda.means_, qda.priors_
Out[34]: (array([[ 0.04279022, 0.03389409],
[-0.03954635, -0.03132544]]),
array([0.49198397, 0.50801603]))
The QDA() classifer will estimate one covariance per class. Here is the estimated covariance in the frst class:
In [35]: qda.covariance_[0]
Out[35]: array([[ 1.50662277, -0.03924806],
[-0.03924806, 1.53559498]])
The output contains the group means. But it does not contain the coeffcients of the linear discriminants, because the QDA classifer involves a quadratic, rather than a linear, function of the predictors. The predict() function works in exactly the same fashion as for LDA.
In [36]: qda_pred = qda.predict(X_test)
confusion_table(qda_pred, L_test)
Out[36]: Truth Down Up
Predicted
Down 30 20
Up 81 121
Interestingly, the QDA predictions are accurate almost 60% of the time, even though the 2005 data was not used to ft the model.
In [37]: np.mean(qda_pred == L_test)
Out[37]: 0.599
This level of accuracy is quite impressive for stock market data, which is known to be quite hard to model accurately. This suggests that the quadratic form assumed by QDA may capture the true relationship more accurately than the linear forms assumed by LDA and logistic regression. However, we recommend evaluating this method’s performance on a larger test set before betting that this approach will consistently beat the market!
4.7.5 Naive Bayes
Next, we ft a naive Bayes model to the Smarket data. The syntax is similar to that of LDA() and QDA(). By default, this implementation GaussianNB() of GaussianNB() the naive Bayes classifer models each quantitative feature using a Gaussian distribution. However, a kernel density method can also be used to estimate the distributions.
In [38]: NB = GaussianNB()
NB.fit(X_train, L_train)
Out[38]: GaussianNB()
The classes are stored as classes_.
In [39]: NB.classes_
Out[39]: array(['Down', 'Up'], dtype='<U4')
The class prior probabilities are stored in the class_prior_ attribute.
In [40]: NB.class\_prior\_
Out[40]: array([0.49, 0.51])
The parameters of the features can be found in the theta_ and var_ attributes. The number of rows is equal to the number of classes, while the number of columns is equal to the number of features. We see below that the mean for feature Lag1 in the Down class is 0.043.
In [41]: NB.theta\_
Out[41]: array([[ 0.043, 0.034],
[-0.040, -0.031]])
Its variance is 1.503.
In [42]: NB.var\_
Out[42]: array([[1.503, 1.532],
[1.514, 1.487]])
How do we know the names of these attributes? We use NB? (or ?NB). We can easily verify the mean computation:
In [43]: X_train[L_train == 'Down'].mean()
Out[43]: Lag1 0.042790
Lag2 0.033894
dtype: float64
Similarly for the variance:
In [44]: X_train[L_train == 'Down'].var(ddof=0)
Out[44]: Lag1 1.503554
Lag2 1.532467
dtype: float64
The GaussianNB() function calculates variances using the 1/n formula.6 Since NB() is a classifer in the sklearn library, making predictions uses the same syntax as for LDA() and QDA() above.
In [45]: nb_labels = NB.predict(X_test)
confusion_table(nb_labels, L_test)
Out[45]: Truth Down Up
Predicted
Down 29 20
Up 82 121
Naive Bayes performs well on these data, with accurate predictions over 59% of the time. This is slightly worse than QDA, but much better than LDA.
As for LDA, the predict_proba() method estimates the probability that each observation belongs to a particular class.
In [46]: NB.predict_proba(X_test)[:5]
Out[46]: array([[0.4873, 0.5127],
[0.4762, 0.5238],
[0.4653, 0.5347],
[0.4748, 0.5252],
[0.4902, 0.5098]])
4.7.6 K-Nearest Neighbors
We will now perform KNN using the KNeighborsClassifier() function. This KNeighbors
Classifier()
6There are two formulas for computing the sample variance of n observations x1,…,xn: 1 n !n i=1(xi − x¯)2 and 1 n−1 !n i=1(xi − x¯)2 where x¯ is the sample mean. In most cases the distinction is not important.
function works similarly to the other model-ftting functions that we have encountered thus far.
As is the case for LDA and QDA, we ft the classifer using the fit method. New predictions are formed using the predict method of the object returned by fit().
In [47]: knn1 = KNeighborsClassifier(n_neighbors=1)
knn1.fit(X_train, L_train)
knn1_pred = knn1.predict(X_test)
confusion_table(knn1_pred, L_test)
Out[47]: Truth Down Up
Predicted
Down 43 58
Up 68 83
The results using K = 1 are not very good, since only 50% of the observations are correctly predicted. Of course, it may be that K = 1 results in an overly-fexible ft to the data.
In [48]: (83+43)/252, np.mean(knn1\_pred == L\_test)
Out[48]: (0.5, 0.5)
We repeat the analysis below using K = 3.
In [49]: knn3 = KNeighborsClassifier(n_neighbors=3)
knn3_pred = knn3.fit(X_train, L_train).predict(X_test)
np.mean(knn3_pred == L_test)
Out[49]: 0.532
The results have improved slightly. But increasing K further provides no further improvements. It appears that for these data, and this train/test split, QDA gives the best results of the methods that we have examined so far.
KNN does not perform well on the Smarket data, but it often does provide impressive results. As an example we will apply the KNN approach to the Caravan data set, which is part of the ISLP library. This data set includes 85 predictors that measure demographic characteristics for 5,822 individuals. The response variable is Purchase, which indicates whether or not a given individual purchases a caravan insurance policy. In this data set, only 6% of people purchased caravan insurance.
In [50]: Caravan = load_data('Caravan')
Purchase = Caravan.Purchase
Purchase.value_counts()
Out[50]: No 5474 Yes 348 Name: Purchase, dtype: int64
The method value_counts() takes a pd.Series or pd.DataFrame and returns a pd.Series with the corresponding counts for each unique element. In this case Purchase has only Yes and No values and returns how many values of each there are.
In [51]: 348 / 5822
Out[51]: 0.0598
Our features will include all columns except Purchase.
In [52]: feature\_df = Caravan.drop(columns=['Purchase'])
Because the KNN classifer predicts the class of a given test observation by identifying the observations that are nearest to it, the scale of the variables matters. Any variables that are on a large scale will have a much larger efect on the distance between the observations, and hence on the KNN classifer, than variables that are on a small scale. For instance, imagine a data set that contains two variables, salary and age (measured in dollars and years, respectively). As far as KNN is concerned, a diference of 1,000 USD in salary is enormous compared to a diference of 50 years in age. Consequently, salary will drive the KNN classifcation results, and age will have almost no efect. This is contrary to our intuition that a salary diference of 1,000 USD is quite small compared to an age diference of 50 years. Furthermore, the importance of scale to the KNN classifer leads to another issue: if we measured salary in Japanese yen, or if we measured age in minutes, then we’d get quite diferent classifcation results from what we get if these two variables are measured in dollars and years.
A good way to handle this problem is to standardize the data so that all standardize variables are given a mean of zero and a standard deviation of one. Then all variables will be on a comparable scale. This is accomplished using the StandardScaler() transformation. Standard
In [53]: scaler = StandardScaler(with_mean=True, Scaler() with_std=True, copy=True)
The argument with_mean indicates whether or not we should subtract the mean, while with_std indicates whether or not we should scale the columns to have standard deviation of 1 or not. Finally, the argument copy=True indicates that we will always copy data, rather than trying to do calculations in place where possible.
This transformation can be ft and then applied to arbitrary data. In the frst line below, the parameters for the scaling are computed and stored in scaler, while the second line actually constructs the standardized set of features.
In [54]: scaler.fit(feature_df)
X_std = scaler.transform(feature_df)
Now every column of feature_std below has a standard deviation of one and a mean of zero.
In [55]: feature_std = pd.DataFrame(
X_std,
columns=feature_df.columns);
feature_std.std()
Out[55]: MOSTYPE 1.000086
MAANTHUI 1.000086
| 4. | ||
|---|---|---|
| 1.000086 | ||
| 1.000086 | ||
| 1.000086 | ||
| 1.000086 | ||
| 1.000086 | ||
| 1.000086 | ||
| 1.000086 | ||
| 1.000086 | ||
| 85, | dtype: | float64 |
| MGEMLEEF MOSHOOFD APLEZIER ABYSTAND |
Classifcation |
Notice that the standard deviations are not quite 1 here; this is again due to some procedures using the 1/n convention for variances (in this case scaler()), while others use 1/(n − 1) (the std() method). See the footnote .std() on page 183. In this case it does not matter, as long as the variables are all on the same scale.
Using the function train_test_split() we now split the observations into train_test_ split() a test set, containing 1000 observations, and a training set containing the remaining observations. The argument random_state=0 ensures that we get the same split each time we rerun the code.
In [56]: (X_train,
X_test,
y_train,
y_test) = train_test_split(feature_std,
Purchase,
test_size=1000,
random_state=0)
?train_test_split reveals that the non-keyword arguments can be lists, arrays, pandas dataframes etc that all have the same length (shape[0]) and hence are indexable. In this case they are the dataframe feature_std and indexable the response variable Purchase. We ft a KNN model on the training data using K = 1, and evaluate its performance on the test data.
In [57]: knn1 = KNeighborsClassifier(n_neighbors=1)
knn1_pred = knn1.fit(X_train, y_train).predict(X_test)
np.mean(y_test != knn1_pred), np.mean(y_test != "No")
Out[57]: (0.111, 0.067)
The KNN error rate on the 1,000 test observations is about 11%. At frst glance, this may appear to be fairly good. However, since just over 6% of customers purchased insurance, we could get the error rate down to almost 6% by always predicting No regardless of the values of the predictors! This is known as the null rate. null rate Suppose that there is some non-trivial cost to trying to sell insurance
to a given individual. For instance, perhaps a salesperson must visit each potential customer. If the company tries to sell insurance to a random selection of customers, then the success rate will be only 6%, which may be far too low given the costs involved. Instead, the company would like to try to sell insurance only to customers who are likely to buy it. So the overall error rate is not of interest. Instead, the fraction of individuals that are correctly predicted to buy insurance is of interest.
Out[58]: Truth No Yes
Predicted
No 880 58
Yes 53 9
It turns out that KNN with K = 1 does far better than random guessing among the customers that are predicted to buy insurance. Among 62 such customers, 9, or 14.5%, actually do purchase insurance. This is double the rate that one would obtain from random guessing.
In [59]: 9/(53+9)
Out[59]: 0.145
Tuning Parameters
The number of neighbors in KNN is referred to as a tuning parameter, also tuning parameter referred to as a hyperparameter. We do not know a priori what value to use. It is therefore of interest to see how the classifer performs on test data as we vary these parameters. This can be achieved with a for loop, described in Section 2.3.8. Here we use a for loop to look at the accuracy of our classifer in the group predicted to purchase insurance as we vary the number of neighbors from 1 to 5:
In [60]: for K in range(1,6):
knn = KNeighborsClassifier(n_neighbors=K)
knn_pred = knn.fit(X_train, y_train).predict(X_test)
C = confusion_table(knn_pred, y_test)
templ = ('K={0:d}: # predicted to rent: {1:>2},' +
' # who did rent {2:d}, accuracy {3:.1%}')
pred = C.loc['Yes'].sum()
did_rent = C.loc['Yes','Yes']
print(templ.format(
K,
pred,
did_rent,
did_rent / pred))
K=1: # predicted to rent: 62,# who did rent 9, accuracy 14.5% K=2: # predicted to rent: 6,# who did rent 1, accuracy 16.7% K=3: # predicted to rent: 20,# who did rent 3, accuracy 15.0% K=4: # predicted to rent: 3,# who did rent 0, accuracy 0.0% K=5: # predicted to rent: 7,# who did rent 1, accuracy 14.3%
We see some variability — the numbers for K=4 are very diferent from the rest.
Comparison to Logistic Regression
As a comparison, we can also ft a logistic regression model to the data. This can also be done with sklearn, though by default it fts something like the ridge regression version of logistic regression, which we introduce in Chapter 6. This can be modifed by appropriately setting the argument C below. Its default value is 1 but by setting it to a very large number, the algorithm converges to the same solution as the usual (unregularized) logistic regression estimator discussed above.
Unlike the statsmodels package, sklearn focuses less on inference and more on classifcation. Hence, the summary methods seen in statsmodels and our simplifed version seen with summarize are not generally available for the classifers in sklearn.
In [61]: logit = LogisticRegression(C=1e10, solver='liblinear')
logit.fit(X_train, y_train)
logit_pred = logit.predict_proba(X_test)
logit_labels = np.where(logit_pred[:,1] > 5, 'Yes', 'No')
confusion_table(logit_labels, y_test)
Out[61]: Truth No Yes
Predicted
No 933 67
Yes 0 0
We used the argument solver=‘liblinear’ above to avoid a warning with the default solver which would indicate that the algorithm does not converge.
If we use 0.5 as the predicted probability cut-of for the classifer, then we have a problem: none of the test observations are predicted to purchase insurance. However, we are not required to use a cut-of of 0.5. If we instead predict a purchase any time the predicted probability of purchase exceeds 0.25, we get much better results: we predict that 29 people will purchase insurance, and we are correct for about 31% of these people. This is almost fve times better than random guessing!
In [62]: logit_labels = np.where(logit_pred[:,1]>0.25, 'Yes', 'No')
confusion_table(logit_labels, y_test)
Out[62]: Truth No Yes
Predicted
No 913 58
Yes 20 9
In [63]: 9/(20+9)
Out[63]: 0.310
4.8 Exercises
Conceptual
- It was stated in the text that classifying an observation to the class for which (4.17) is largest is equivalent to classifying an observation to the class for which (4.18) is largest. Prove that this is the case. In other words, under the assumption that the observations in the kth class are drawn from a N(µk, σ2) distribution, the Bayes classifer assigns an observation to the class for which the discriminant function is maximized.
- This problem relates to the QDA model, in which the observations within each class are drawn from a normal distribution with a classspecifc mean vector and a class specifc covariance matrix. We consider the simple case where p = 1; i.e. there is only one feature.
Suppose that we have K classes, and that if an observation belongs to the kth class then X comes from a one-dimensional normal distribution, X ∼ N(µk, σ2 k). Recall that the density function for the one-dimensional normal distribution is given in (4.16). Prove that in this case, the Bayes classifer is not linear. Argue that it is in fact quadratic.
Hint: For this problem, you should follow the arguments laid out in Section 4.4.1, but without making the assumption that σ2 1 = ··· = σ2 K.
- When the number of features p is large, there tends to be a deterioration in the performance of KNN and other local approaches that perform prediction using only observations that are near the test observation for which a prediction must be made. This phenomenon is known as the curse of dimensionality, and it ties into the fact that curse of dimensionality non-parametric approaches often perform poorly when p is large. We will now investigate this curse.

- Suppose that we have a set of observations, each with measurements on p = 1 feature, X. We assume that X is uniformly (evenly) distributed on [0, 1]. Associated with each observation is a response value. Suppose that we wish to predict a test observation’s response using only observations that are within 10 % of the range of X closest to that test observation. For instance, in order to predict the response for a test observation with X = 0.6, we will use observations in the range [0.55, 0.65]. On average, what fraction of the available observations will we use to make the prediction?
- Now suppose that we have a set of observations, each with measurements on p = 2 features, X1 and X2. We assume that (X1, X2) are uniformly distributed on [0, 1] × [0, 1]. We wish to predict a test observation’s response using only observations that are within 10 % of the range of X1 and within 10 % of the range of X2 closest to that test observation. For instance, in order to predict the response for a test observation with X1 = 0.6 and X2 = 0.35, we will use observations in the range [0.55, 0.65] for X1 and in the range [0.3, 0.4] for X2. On average, what fraction of the available observations will we use to make the prediction?
- Now suppose that we have a set of observations on p = 100 features. Again the observations are uniformly distributed on each feature, and again each feature ranges in value from 0 to 1. We wish to predict a test observation’s response using observations within the 10 % of each feature’s range that is closest to that test observation. What fraction of the available observations will we use to make the prediction?
- Using your answers to parts (a)–(c), argue that a drawback of KNN when p is large is that there are very few training observations “near” any given test observation.
- Now suppose that we wish to make a prediction for a test observation by creating a p-dimensional hypercube centered around the test observation that contains, on average, 10 % of the training observations. For p = 1, 2, and 100, what is the length of each side of the hypercube? Comment on your answer.
Note: A hypercube is a generalization of a cube to an arbitrary number of dimensions. When p = 1, a hypercube is simply a line segment, when p = 2 it is a square, and when p = 100 it is a 100-dimensional cube.
- We now examine the diferences between LDA and QDA.
- If the Bayes decision boundary is linear, do we expect LDA or QDA to perform better on the training set? On the test set?
- If the Bayes decision boundary is non-linear, do we expect LDA or QDA to perform better on the training set? On the test set?
- In general, as the sample size n increases, do we expect the test prediction accuracy of QDA relative to LDA to improve, decline, or be unchanged? Why?
- True or False: Even if the Bayes decision boundary for a given problem is linear, we will probably achieve a superior test error rate using QDA rather than LDA because QDA is fexible enough to model a linear decision boundary. Justify your answer.
- Suppose we collect data for a group of students in a statistics class with variables X1 = hours studied, X2 = undergrad GPA, and Y = receive an A. We ft a logistic regression and produce estimated coefcient, βˆ0 = −6, βˆ1 = 0.05, βˆ2 = 1.
- Estimate the probability that a student who studies for 40 h and has an undergrad GPA of 3.5 gets an A in the class.
- How many hours would the student in part (a) need to study to have a 50 % chance of getting an A in the class?
- Suppose that we wish to predict whether a given stock will issue a dividend this year (“Yes” or “No”) based on X, last year’s percent proft. We examine a large number of companies and discover that the mean value of X for companies that issued a dividend was X¯ = 10, while the mean for those that didn’t was X¯ = 0. In addition, the variance of X for these two sets of companies was σˆ2 = 36. Finally, 80 % of companies issued dividends. Assuming that X follows a normal distribution, predict the probability that a company will issue a dividend this year given that its percentage proft was X = 4 last year.
Hint: Recall that the density function for a normal random variable is f(x) = √ 1 2πσ2 e−(x−µ)2/2σ2 . You will need to use Bayes’ theorem.
- Suppose that we take a data set, divide it into equally-sized training and test sets, and then try out two diferent classifcation procedures. First we use logistic regression and get an error rate of 20 % on the training data and 30 % on the test data. Next we use 1-nearest neighbors (i.e. K = 1) and get an average error rate (averaged over both test and training data sets) of 18 %. Based on these results, which method should we prefer to use for classifcation of new observations? Why?
- This problem has to do with odds.
- On average, what fraction of people with an odds of 0.37 of defaulting on their credit card payment will in fact default?
- Suppose that an individual has a 16 % chance of defaulting on her credit card payment. What are the odds that she will default?
- Equation 4.32 derived an expression for log 1 Pr(Y =k|X=x) Pr(Y =K|X=x) 2 in the setting where p > 1, so that the mean for the kth class, µk, is a pdimensional vector, and the shared covariance Σ is a p × p matrix. However, in the setting with p = 1, (4.32) takes a simpler form, since the means µ1,…,µK and the variance σ2 are scalars. In this simpler setting, repeat the calculation in (4.32), and provide expressions for ak and bkj in terms of πk, πK, µk, µK, and σ2.

- Work out the detailed forms of ak, bkj , and bkjl in (4.33). Your answer should involve πk, πK, µk, µK, Σk, and ΣK.
- Suppose that you wish to classify an observation X ∈ R into apples and oranges. You ft a logistic regression model and fnd that
\[ \widehat{\Pr}(Y = \texttt{orange}|X = x) = \frac{\exp(\hat{\beta}_0 + \hat{\beta}_1 x)}{1 + \exp(\hat{\beta}_0 + \hat{\beta}_1 x)}. \]
Your friend fts a logistic regression model to the same data using the softmax formulation in (4.13), and fnds that
\[ Pr(Y = \text{orange} | X = x) = \]
\[ \frac{\exp(\hat{\alpha}_{\text{orange}} + \hat{\alpha}_{\text{orange}1} x)}{\exp(\hat{\alpha}_{\text{orange}} + \hat{\alpha}_{\text{orange}1} x) + \exp(\hat{\alpha}_{\text{apple}} + \hat{\alpha}_{\text{apple}1} x)}. \]
- What is the log odds of orange versus apple in your model?
- What is the log odds of orange versus apple in your friend’s model?
- Suppose that in your model, βˆ0 = 2 and βˆ1 = −1. What are the coefcient estimates in your friend’s model? Be as specifc as possible.
- Now suppose that you and your friend ft the same two models on a diferent data set. This time, your friend gets the coefcient estimates αˆorange0 = 1.2, αˆorange1 = −2, αˆorange0 = 3, αˆorange1 = 0.6. What are the coefcient estimates in your model?
- Finally, suppose you apply both models from (d) to a data set with 2,000 test observations. What fraction of the time do you expect the predicted class labels from your model to agree with those from your friend’s model? Explain your answer.
Applied
- This question should be answered using the Weekly data set, which is part of the ISLP package. This data is similar in nature to the Smarket data from this chapter’s lab, except that it contains 1, 089 weekly returns for 21 years, from the beginning of 1990 to the end of 2010.
- Produce some numerical and graphical summaries of the Weekly data. Do there appear to be any patterns?
- Use the full data set to perform a logistic regression with Direction as the response and the fve lag variables plus Volume as predictors. Use the summary function to print the results. Do any of the predictors appear to be statistically signifcant? If so, which ones?
- Compute the confusion matrix and overall fraction of correct predictions. Explain what the confusion matrix is telling you about the types of mistakes made by logistic regression.
- Now ft the logistic regression model using a training data period from 1990 to 2008, with Lag2 as the only predictor. Compute the confusion matrix and the overall fraction of correct predictions for the held out data (that is, the data from 2009 and 2010).
- Repeat (d) using LDA.
- Repeat (d) using QDA.
- Repeat (d) using KNN with K = 1.
- Repeat (d) using naive Bayes.
- Which of these methods appears to provide the best results on this data?
- Experiment with diferent combinations of predictors, including possible transformations and interactions, for each of the methods. Report the variables, method, and associated confusion matrix that appears to provide the best results on the held out data. Note that you should also experiment with values for K in the KNN classifer.
- In this problem, you will develop a model to predict whether a given car gets high or low gas mileage based on the Auto data set.
- Create a binary variable, mpg01, that contains a 1 if mpg contains a value above its median, and a 0 if mpg contains a value below its median. You can compute the median using the median() method of the data frame. Note you may fnd it helpful to add a column mpg01 to the data frame by assignment. Assuming you have stored the data frame as Auto, this can be done as follows:
Auto['mpg01'] = mpg01
- Explore the data graphically in order to investigate the association between mpg01 and the other features. Which of the other features seem most likely to be useful in predicting mpg01? Scatterplots and boxplots may be useful tools to answer this question. Describe your fndings.
- Split the data into a training set and a test set.
- Perform LDA on the training data in order to predict mpg01 using the variables that seemed most associated with mpg01 in (b). What is the test error of the model obtained?
- Perform QDA on the training data in order to predict mpg01 using the variables that seemed most associated with mpg01 in (b). What is the test error of the model obtained?
- Perform logistic regression on the training data in order to predict mpg01 using the variables that seemed most associated with mpg01 in (b). What is the test error of the model obtained?
- Perform naive Bayes on the training data in order to predict mpg01 using the variables that seemed most associated with mpg01 in (b). What is the test error of the model obtained?
- Perform KNN on the training data, with several values of K, in order to predict mpg01. Use only the variables that seemed most associated with mpg01 in (b). What test errors do you obtain? Which value of K seems to perform the best on this data set?
- This problem involves writing functions.
- Write a function, Power(), that prints out the result of raising 2 to the 3rd power. In other words, your function should compute 23 and print out the results.
Hint: Recall that x**a raises x to the power a. Use the print() function to display the result.
- Create a new function, Power2(), that allows you to pass any two numbers, x and a, and prints out the value of x**a. You can do this by beginning your function with the line
def Power2(x, a):
You should be able to call your function by entering, for instance,
Power2(3, 8)
on the command line. This should output the value of 38, namely, 6, 561.
- Using the Power2() function that you just wrote, compute 103, 817, and 1313.
- Now create a new function, Power3(), that actually returns the result x**a as a Python object, rather than simply printing it to the screen. That is, if you store the value x**a in an object called result within your function, then you can simply return return this result, using the following line:
return result
Note that the line above should be the last line in your function, and it should be indented 4 spaces.
Now using the Power3() function, create a plot of f(x) = x2. The x-axis should display a range of integers from 1 to 10, and the y-axis should display x2. Label the axes appropriately, and use an appropriate title for the fgure. Consider displaying either the x-axis, the y-axis, or both on the log-scale. You can do this by using the ax.set_xscale() and ax.set_yscale() methods of .set_xscale() .set_yscale() the axes you are plotting to.
Create a function, PlotPower(), that allows you to create a plot of x against x**a for a fxed a and a sequence of values of x. For instance, if you call
PlotPower(np.arange(1, 11), 3)
then a plot should be created with an x-axis taking on values 1, 2,…, 10, and a y-axis taking on values 13, 23,…, 103.
- Using the Boston data set, ft classifcation models in order to predict whether a given suburb has a crime rate above or below the median. Explore logistic regression, LDA, naive Bayes, and KNN models using various subsets of the predictors. Describe your fndings.
Hint: You will have to create the response variable yourself, using the variables that are contained in the Boston data set.
5 Resampling Methods

Resampling methods are an indispensable tool in modern statistics. They involve repeatedly drawing samples from a training set and reftting a model of interest on each sample in order to obtain additional information about the ftted model. For example, in order to estimate the variability of a linear regression ft, we can repeatedly draw diferent samples from the training data, ft a linear regression to each new sample, and then examine the extent to which the resulting fts difer. Such an approach may allow us to obtain information that would not be available from ftting the model only once using the original training sample.
Resampling approaches can be computationally expensive, because they involve ftting the same statistical method multiple times using diferent subsets of the training data. However, due to recent advances in computing power, the computational requirements of resampling methods generally are not prohibitive. In this chapter, we discuss two of the most commonly used resampling methods, cross-validation and the bootstrap. Both methods are important tools in the practical application of many statistical learning procedures. For example, cross-validation can be used to estimate the test error associated with a given statistical learning method in order to evaluate its performance, or to select the appropriate level of fexibility. The process of evaluating a model’s performance is known as model assessment, whereas model assessment the process of selecting the proper level of fexibility for a model is known as model selection. The bootstrap is used in several contexts, most commonly model selection to provide a measure of accuracy of a parameter estimate or of a given statistical learning method.
5.1 Cross-Validation
In Chapter 2 we discuss the distinction between the test error rate and the training error rate. The test error is the average error that results from using a statistical learning method to predict the response on a new observation that is, a measurement that was not used in training the method. Given a data set, the use of a particular statistical learning method is warranted if it results in a low test error. The test error can be easily calculated if a designated test set is available. Unfortunately, this is usually not the case. In contrast, the training error can be easily calculated by applying the statistical learning method to the observations used in its training. But as we saw in Chapter 2, the training error rate often is quite diferent from the test error rate, and in particular the former can dramatically underestimate the latter.
In the absence of a very large designated test set that can be used to directly estimate the test error rate, a number of techniques can be used to estimate this quantity using the available training data. Some methods make a mathematical adjustment to the training error rate in order to estimate the test error rate. Such approaches are discussed in Chapter 6. In this section, we instead consider a class of methods that estimate the test error rate by holding out a subset of the training observations from the ftting process, and then applying the statistical learning method to those held out observations.
In Sections 5.1.1–5.1.4, for simplicity we assume that we are interested in performing regression with a quantitative response. In Section 5.1.5 we consider the case of classifcation with a qualitative response. As we will see, the key concepts remain the same regardless of whether the response is quantitative or qualitative.
5.1.1 The Validation Set Approach
Suppose that we would like to estimate the test error associated with ftting a particular statistical learning method on a set of observations. The validation set approach, displayed in Figure 5.1, is a very simple strategy validation set approach for this task. It involves randomly dividing the available set of observations into two parts, a training set and a validation set or hold-out set. The validation model is ft on the training set, and the ftted model is used to predict the responses for the observations in the validation set. The resulting validation set error rate—typically assessed using MSE in the case of a quantitative response—provides an estimate of the test error rate.
set hold-out set
We illustrate the validation set approach on the Auto data set. Recall from Chapter 3 that there appears to be a non-linear relationship between mpg and horsepower, and that a model that predicts mpg using horsepower and horsepower2 gives better results than a model that uses only a linear term. It is natural to wonder whether a cubic or higher-order ft might provide even better results. We answer this question in Chapter 3 by looking at the p-values associated with a cubic term and higher-order polynomial terms in a linear regression. But we could also answer this question using the validation method. We randomly split the 392 observations into two

FIGURE 5.1. A schematic display of the validation set approach. A set of n observations are randomly split into a training set (shown in blue, containing observations 7, 22, and 13, among others) and a validation set (shown in beige, and containing observation 91, among others). The statistical learning method is ft on the training set, and its performance is evaluated on the validation set.
sets, a training set containing 196 of the data points, and a validation set containing the remaining 196 observations. The validation set error rates that result from ftting various regression models on the training sample and evaluating their performance on the validation sample, using MSE as a measure of validation set error, are shown in the left-hand panel of Figure 5.2. The validation set MSE for the quadratic ft is considerably smaller than for the linear ft. However, the validation set MSE for the cubic ft is actually slightly larger than for the quadratic ft. This implies that including a cubic term in the regression does not lead to better prediction than simply using a quadratic term.
Recall that in order to create the left-hand panel of Figure 5.2, we randomly divided the data set into two parts, a training set and a validation set. If we repeat the process of randomly splitting the sample set into two parts, we will get a somewhat diferent estimate for the test MSE. As an illustration, the right-hand panel of Figure 5.2 displays ten diferent validation set MSE curves from the Auto data set, produced using ten diferent random splits of the observations into training and validation sets. All ten curves indicate that the model with a quadratic term has a dramatically smaller validation set MSE than the model with only a linear term. Furthermore, all ten curves indicate that there is not much beneft in including cubic or higher-order polynomial terms in the model. But it is worth noting that each of the ten curves results in a diferent test MSE estimate for each of the ten regression models considered. And there is no consensus among the curves as to which model results in the smallest validation set MSE. Based on the variability among these curves, all that we can conclude with any confdence is that the linear ft is not adequate for this data.
The validation set approach is conceptually simple and is easy to implement. But it has two potential drawbacks:
- As is shown in the right-hand panel of Figure 5.2, the validation estimate of the test error rate can be highly variable, depending on precisely which observations are included in the training set and which observations are included in the validation set.
- In the validation approach, only a subset of the observations—those that are included in the training set rather than in the validation set—are used to ft the model. Since statistical methods tend to perform worse when trained on fewer observations, this suggests that the

FIGURE 5.2. The validation set approach was used on the Auto data set in order to estimate the test error that results from predicting mpg using polynomial functions of horsepower. Left: Validation error estimates for a single split into training and validation data sets. Right: The validation method was repeated ten times, each time using a diferent random split of the observations into a training set and a validation set. This illustrates the variability in the estimated test MSE that results from this approach.
validation set error rate may tend to overestimate the test error rate for the model ft on the entire data set.
In the coming subsections, we will present cross-validation, a refnement of the validation set approach that addresses these two issues.
5.1.2 Leave-One-Out Cross-Validation
Leave-one-out cross-validation (LOOCV) is closely related to the validation leave-oneset approach of Section 5.1.1, but it attempts to address that method’s drawbacks.
out crossvalidation
Like the validation set approach, LOOCV involves splitting the set of observations into two parts. However, instead of creating two subsets of comparable size, a single observation (x1, y1) is used for the validation set, and the remaining observations {(x2, y2),…,(xn, yn)} make up the training set. The statistical learning method is ft on the n − 1 training observations, and a prediction yˆ1 is made for the excluded observation, using its value x1. Since (x1, y1) was not used in the ftting process, MSE1 = (y1 − yˆ1)2 provides an approximately unbiased estimate for the test error. But even though MSE1 is unbiased for the test error, it is a poor estimate because it is highly variable, since it is based upon a single observation (x1, y1).
We can repeat the procedure by selecting (x2, y2) for the validation data, training the statistical learning procedure on the n − 1 observations {(x1, y1),(x3, y3),…,(xn, yn)}, and computing MSE2 = (y2−yˆ2)2. Repeating this approach n times produces n squared errors, MSE1,…, MSEn. The LOOCV estimate for the test MSE is the average of these n test error estimates:
\[ CV_{(n)} = \frac{1}{n} \sum_{i=1}^{n} \text{MSE}_{i}. \] (5.1)

FIGURE 5.3. A schematic display of LOOCV. A set of n data points is repeatedly split into a training set (shown in blue) containing all but one observation, and a validation set that contains only that observation (shown in beige). The test error is then estimated by averaging the n resulting MSEs. The frst training set contains all but observation 1, the second training set contains all but observation 2, and so forth.
A schematic of the LOOCV approach is illustrated in Figure 5.3.
LOOCV has a couple of major advantages over the validation set approach. First, it has far less bias. In LOOCV, we repeatedly ft the statistical learning method using training sets that contain n − 1 observations, almost as many as are in the entire data set. This is in contrast to the validation set approach, in which the training set is typically around half the size of the original data set. Consequently, the LOOCV approach tends not to overestimate the test error rate as much as the validation set approach does. Second, in contrast to the validation approach which will yield diferent results when applied repeatedly due to randomness in the training/validation set splits, performing LOOCV multiple times will always yield the same results: there is no randomness in the training/validation set splits.
We used LOOCV on the Auto data set in order to obtain an estimate of the test set MSE that results from ftting a linear regression model to predict mpg using polynomial functions of horsepower. The results are shown in the left-hand panel of Figure 5.4.
LOOCV has the potential to be expensive to implement, since the model has to be ft n times. This can be very time consuming if n is large, and if each individual model is slow to ft. With least squares linear or polynomial regression, an amazing shortcut makes the cost of LOOCV the same as that of a single model ft! The following formula holds:
\[ CV_{(n)} = \frac{1}{n} \sum_{i=1}^{n} \left( \frac{y_i - \hat{y}_i}{1 - h_i} \right)^2, \] (5.2)

FIGURE 5.4. Cross-validation was used on the Auto data set in order to estimate the test error that results from predicting mpg using polynomial functions of horsepower. Left: The LOOCV error curve. Right: 10-fold CV was run nine separate times, each with a diferent random split of the data into ten parts. The fgure shows the nine slightly diferent CV error curves.
where yˆi is the ith ftted value from the original least squares ft, and hi is the leverage defned in (3.37) on page 105. 1 This is like the ordinary MSE, except the ith residual is divided by 1 − hi. The leverage lies between 1/n and 1, and refects the amount that an observation infuences its own ft. Hence the residuals for high-leverage points are infated in this formula by exactly the right amount for this equality to hold.
LOOCV is a very general method, and can be used with any kind of predictive modeling. For example we could use it with logistic regression or linear discriminant analysis, or any of the methods discussed in later chapters. The magic formula (5.2) does not hold in general, in which case the model has to be reft n times.
5.1.3 k-Fold Cross-Validation
An alternative to LOOCV is k-fold CV. This approach involves randomly k-fold CV dividing the set of observations into k groups, or folds, of approximately equal size. The frst fold is treated as a validation set, and the method is ft on the remaining k − 1 folds. The mean squared error, MSE1, is then computed on the observations in the held-out fold. This procedure is repeated k times; each time, a diferent group of observations is treated as a validation set. This process results in k estimates of the test error, MSE1, MSE2,…, MSEk. The k-fold CV estimate is computed by averaging these values,
\[ CV_{(k)} = \frac{1}{k} \sum_{i=1}^{k} MSE_{i}. \] (5.3)
Figure 5.5 illustrates the k-fold CV approach.
1In the case of multiple linear regression, the leverage takes a slightly more complicated form than (3.37), but (5.2) still holds.

FIGURE 5.5. A schematic display of 5-fold CV. A set of n observations is randomly split into fve non-overlapping groups. Each of these ffths acts as a validation set (shown in beige), and the remainder as a training set (shown in blue). The test error is estimated by averaging the fve resulting MSE estimates.
It is not hard to see that LOOCV is a special case of k-fold CV in which k is set to equal n. In practice, one typically performs k-fold CV using k = 5 or k = 10. What is the advantage of using k = 5 or k = 10 rather than k = n? The most obvious advantage is computational. LOOCV requires ftting the statistical learning method n times. This has the potential to be computationally expensive (except for linear models ft by least squares, in which case formula (5.2) can be used). But cross-validation is a very general approach that can be applied to almost any statistical learning method. Some statistical learning methods have computationally intensive ftting procedures, and so performing LOOCV may pose computational problems, especially if n is extremely large. In contrast, performing 10-fold CV requires ftting the learning procedure only ten times, which may be much more feasible. As we see in Section 5.1.4, there also can be other non-computational advantages to performing 5-fold or 10-fold CV, which involve the bias-variance trade-of.
The right-hand panel of Figure 5.4 displays nine diferent 10-fold CV estimates for the Auto data set, each resulting from a diferent random split of the observations into ten folds. As we can see from the fgure, there is some variability in the CV estimates as a result of the variability in how the observations are divided into ten folds. But this variability is typically much lower than the variability in the test error estimates that results from the validation set approach (right-hand panel of Figure 5.2).
When we examine real data, we do not know the true test MSE, and so it is difcult to determine the accuracy of the cross-validation estimate. However, if we examine simulated data, then we can compute the true test MSE, and can thereby evaluate the accuracy of our cross-validation results. In Figure 5.6, we plot the cross-validation estimates and true test error rates that result from applying smoothing splines to the simulated data sets illustrated in Figures 2.9–2.11 of Chapter 2. The true test MSE is displayed in blue. The black dashed and orange solid lines respectively show the estimated LOOCV and 10-fold CV estimates. In all three plots, the two cross-validation estimates are very similar. In the right-hand panel

FIGURE 5.6. True and estimated test MSE for the simulated data sets in Figures 2.9 ( left), 2.10 (center), and 2.11 ( right). The true test MSE is shown in blue, the LOOCV estimate is shown as a black dashed line, and the 10-fold CV estimate is shown in orange. The crosses indicate the minimum of each of the MSE curves.
of Figure 5.6, the true test MSE and the cross-validation curves are almost identical. In the center panel of Figure 5.6, the two sets of curves are similar at the lower degrees of fexibility, while the CV curves overestimate the test set MSE for higher degrees of fexibility. In the left-hand panel of Figure 5.6, the CV curves have the correct general shape, but they underestimate the true test MSE.
When we perform cross-validation, our goal might be to determine how well a given statistical learning procedure can be expected to perform on independent data; in this case, the actual estimate of the test MSE is of interest. But at other times we are interested only in the location of the minimum point in the estimated test MSE curve. This is because we might be performing cross-validation on a number of statistical learning methods, or on a single method using diferent levels of fexibility, in order to identify the method that results in the lowest test error. For this purpose, the location of the minimum point in the estimated test MSE curve is important, but the actual value of the estimated test MSE is not. We fnd in Figure 5.6 that despite the fact that they sometimes underestimate the true test MSE, all of the CV curves come close to identifying the correct level of fexibility—that is, the fexibility level corresponding to the smallest test MSE.
5.1.4 Bias-Variance Trade-Of for k-Fold Cross-Validation
We mentioned in Section 5.1.3 that k-fold CV with k<n has a computational advantage to LOOCV. But putting computational issues aside, a less obvious but potentially more important advantage of k-fold CV is that it often gives more accurate estimates of the test error rate than does LOOCV. This has to do with a bias-variance trade-of.
It was mentioned in Section 5.1.1 that the validation set approach can lead to overestimates of the test error rate, since in this approach the training set used to ft the statistical learning method contains only half the observations of the entire data set. Using this logic, it is not hard to see that LOOCV will give approximately unbiased estimates of the test error, since each training set contains n−1 observations, which is almost as many as the number of observations in the full data set. And performing k-fold CV for, say, k = 5 or k = 10 will lead to an intermediate level of bias, since each training set contains approximately (k − 1)n/k observations fewer than in the LOOCV approach, but substantially more than in the validation set approach. Therefore, from the perspective of bias reduction, it is clear that LOOCV is to be preferred to k-fold CV.
However, we know that bias is not the only source for concern in an estimating procedure; we must also consider the procedure’s variance. It turns out that LOOCV has higher variance than does k-fold CV with k<n. Why is this the case? When we perform LOOCV, we are in efect averaging the outputs of n ftted models, each of which is trained on an almost identical set of observations; therefore, these outputs are highly (positively) correlated with each other. In contrast, when we perform k-fold CV with k<n, we are averaging the outputs of k ftted models that are somewhat less correlated with each other, since the overlap between the training sets in each model is smaller. Since the mean of many highly correlated quantities has higher variance than does the mean of many quantities that are not as highly correlated, the test error estimate resulting from LOOCV tends to have higher variance than does the test error estimate resulting from k-fold CV.
To summarize, there is a bias-variance trade-of associated with the choice of k in k-fold cross-validation. Typically, given these considerations, one performs k-fold cross-validation using k = 5 or k = 10, as these values have been shown empirically to yield test error rate estimates that sufer neither from excessively high bias nor from very high variance.
5.1.5 Cross-Validation on Classifcation Problems
In this chapter so far, we have illustrated the use of cross-validation in the regression setting where the outcome Y is quantitative, and so have used MSE to quantify test error. But cross-validation can also be a very useful approach in the classifcation setting when Y is qualitative. In this setting, cross-validation works just as described earlier in this chapter, except that rather than using MSE to quantify test error, we instead use the number of misclassifed observations. For instance, in the classifcation setting, the LOOCV error rate takes the form
\[ CV_{(n)} = \frac{1}{n} \sum_{i=1}^{n} Err_i, \] (5.4)
where Erri = I(yi = ˆ % yi). The k-fold CV error rate and validation set error rates are defned analogously.
As an example, we ft various logistic regression models on the twodimensional classifcation data displayed in Figure 2.13. In the top-left panel of Figure 5.7, the black solid line shows the estimated decision boundary resulting from ftting a standard logistic regression model to this data set. Since this is simulated data, we can compute the true test error rate, which takes a value of 0.201 and so is substantially larger than the Bayes

FIGURE 5.7. Logistic regression fts on the two-dimensional classifcation data displayed in Figure 2.13. The Bayes decision boundary is represented using a purple dashed line. Estimated decision boundaries from linear, quadratic, cubic and quartic (degrees 1–4) logistic regressions are displayed in black. The test error rates for the four logistic regression fts are respectively 0.201, 0.197, 0.160, and 0.162, while the Bayes error rate is 0.133.
error rate of 0.133. Clearly logistic regression does not have enough fexibility to model the Bayes decision boundary in this setting. We can easily extend logistic regression to obtain a non-linear decision boundary by using polynomial functions of the predictors, as we did in the regression setting in Section 3.3.2. For example, we can ft a quadratic logistic regression model, given by
\[ \log\left(\frac{p}{1-p}\right) = \beta_0 + \beta_1 X_1 + \beta_2 X_1^2 + \beta_3 X_2 + \beta_4 X_2^2. \] (5.5)
The top-right panel of Figure 5.7 displays the resulting decision boundary, which is now curved. However, the test error rate has improved only slightly, to 0.197. A much larger improvement is apparent in the bottom-left panel

FIGURE 5.8. Test error (brown), training error (blue), and 10-fold CV error (black) on the two-dimensional classifcation data displayed in Figure 5.7. Left: Logistic regression using polynomial functions of the predictors. The order of the polynomials used is displayed on the x-axis. Right: The KNN classifer with diferent values of K, the number of neighbors used in the KNN classifer.
of Figure 5.7, in which we have ft a logistic regression model involving cubic polynomials of the predictors. Now the test error rate has decreased to 0.160. Going to a quartic polynomial (bottom-right) slightly increases the test error.
In practice, for real data, the Bayes decision boundary and the test error rates are unknown. So how might we decide between the four logistic regression models displayed in Figure 5.7? We can use cross-validation in order to make this decision. The left-hand panel of Figure 5.8 displays in black the 10-fold CV error rates that result from ftting ten logistic regression models to the data, using polynomial functions of the predictors up to tenth order. The true test errors are shown in brown, and the training errors are shown in blue. As we have seen previously, the training error tends to decrease as the fexibility of the ft increases. (The fgure indicates that though the training error rate doesn’t quite decrease monotonically, it tends to decrease on the whole as the model complexity increases.) In contrast, the test error displays a characteristic U-shape. The 10-fold CV error rate provides a pretty good approximation to the test error rate. While it somewhat underestimates the error rate, it reaches a minimum when fourth-order polynomials are used, which is very close to the minimum of the test curve, which occurs when third-order polynomials are used. In fact, using fourth-order polynomials would likely lead to good test set performance, as the true test error rate is approximately the same for third, fourth, ffth, and sixth-order polynomials.
The right-hand panel of Figure 5.8 displays the same three curves using the KNN approach for classifcation, as a function of the value of K (which in this context indicates the number of neighbors used in the KNN classifer, rather than the number of CV folds used). Again the training error rate declines as the method becomes more fexible, and so we see that the training error rate cannot be used to select the optimal value for K. Though the cross-validation error curve slightly underestimates the test error rate, it takes on a minimum very close to the best value for K.
5.2 The Bootstrap
The bootstrap is a widely applicable and extremely powerful statistical tool bootstrap that can be used to quantify the uncertainty associated with a given estimator or statistical learning method. As a simple example, the bootstrap can be used to estimate the standard errors of the coefcients from a linear regression ft. In the specifc case of linear regression, this is not particularly useful, since we saw in Chapter 3 that standard statistical software such as R outputs such standard errors automatically. However, the power of the bootstrap lies in the fact that it can be easily applied to a wide range of statistical learning methods, including some for which a measure of variability is otherwise difcult to obtain and is not automatically output by statistical software.
In this section we illustrate the bootstrap on a toy example in which we wish to determine the best investment allocation under a simple model. In Section 5.3 we explore the use of the bootstrap to assess the variability associated with the regression coefcients in a linear model ft.
Suppose that we wish to invest a fxed sum of money in two fnancial assets that yield returns of X and Y , respectively, where X and Y are random quantities. We will invest a fraction α of our money in X, and will invest the remaining 1 − α in Y . Since there is variability associated with the returns on these two assets, we wish to choose α to minimize the total risk, or variance, of our investment. In other words, we want to minimize Var(αX + (1 − α)Y ). One can show that the value that minimizes the risk is given by
\[ \alpha = \frac{\sigma_Y^2 - \sigma_{XY}}{\sigma_X^2 + \sigma_Y^2 - 2\sigma_{XY}},\tag{5.6} \]
where σ2 X = Var(X), σ2 Y = Var(Y ), and σXY = Cov(X, Y ).
In reality, the quantities σ2 X, σ2 Y , and σXY are unknown. We can compute estimates for these quantities, σˆ2 X, σˆ2 Y , and σˆXY , using a data set that contains past measurements for X and Y . We can then estimate the value of α that minimizes the variance of our investment using
\[ \hat{\alpha} = \frac{\hat{\sigma}_Y^2 - \hat{\sigma}_{XY}}{\hat{\sigma}_X^2 + \hat{\sigma}_Y^2 - 2\hat{\sigma}_{XY}}.\tag{5.7} \]
Figure 5.9 illustrates this approach for estimating α on a simulated data set. In each panel, we simulated 100 pairs of returns for the investments X and Y . We used these returns to estimate σ2 X, σ2 Y , and σXY , which we then substituted into (5.7) in order to obtain estimates for α. The value of αˆ resulting from each simulated data set ranges from 0.532 to 0.657.
It is natural to wish to quantify the accuracy of our estimate of α. To estimate the standard deviation of αˆ, we repeated the process of simulating 100 paired observations of X and Y , and estimating α using (5.7), 1,000 times. We thereby obtained 1,000 estimates for α, which we can call αˆ1, αˆ2,…, αˆ1,000. The left-hand panel of Figure 5.10 displays a histogram of the resulting estimates. For these simulations the parameters were set to σ2 X = 1, σ2 Y = 1.25, and σXY = 0.5, and so we know that the true value of α is 0.6. We indicated this value using a solid vertical line on the histogram.

FIGURE 5.9. Each panel displays 100 simulated returns for investments X and Y . From left to right and top to bottom, the resulting estimates for α are 0.576, 0.532, 0.657, and 0.651.
The mean over all 1,000 estimates for α is
\[ \bar{\alpha} = \frac{1}{1000} \sum_{r=1}^{1000} \hat{\alpha}_r = 0.5996, \]
very close to α = 0.6, and the standard deviation of the estimates is
\[ \sqrt{\frac{1}{1000 - 1} \sum_{r=1}^{1000} (\hat{\alpha}_r - \bar{\alpha})^2} = 0.083. \]
This gives us a very good idea of the accuracy of αˆ: SE(ˆα) ≈ 0.083. So roughly speaking, for a random sample from the population, we would expect αˆ to difer from α by approximately 0.08, on average.
In practice, however, the procedure for estimating SE(ˆα) outlined above cannot be applied, because for real data we cannot generate new samples from the original population. However, the bootstrap approach allows us to use a computer to emulate the process of obtaining new sample sets, so that we can estimate the variability of αˆ without generating additional samples. Rather than repeatedly obtaining independent data sets from the population, we instead obtain distinct data sets by repeatedly sampling observations from the original data set.
This approach is illustrated in Figure 5.11 on a simple data set, which we call Z, that contains only n = 3 observations. We randomly select n observations from the data set in order to produce a bootstrap data set,

FIGURE 5.10. Left: A histogram of the estimates of α obtained by generating 1,000 simulated data sets from the true population. Center: A histogram of the estimates of α obtained from 1,000 bootstrap samples from a single data set. Right: The estimates of α displayed in the left and center panels are shown as boxplots. In each panel, the pink line indicates the true value of α.
Z∗1. The sampling is performed with replacement, which means that the with replacement same observation can occur more than once in the bootstrap data set. In this example, Z∗1 contains the third observation twice, the frst observation once, and no instances of the second observation. Note that if an observation is contained in Z∗1, then both its X and Y values are included. We can use Z∗1 to produce a new bootstrap estimate for α, which we call αˆ∗1. This procedure is repeated B times for some large value of B, in order to produce B diferent bootstrap data sets, Z∗1, Z∗2,…,Z∗B, and B corresponding α estimates, αˆ∗1, αˆ∗2,…, αˆ∗B. We can compute the standard error of these bootstrap estimates using the formula
\[ SE_B(\hat{\alpha}) = \sqrt{\frac{1}{B-1} \sum_{r=1}^{B} \left(\hat{\alpha}^{*r} - \frac{1}{B} \sum_{r'=1}^{B} \hat{\alpha}^{*r'}\right)^2}. \] (5.8)
This serves as an estimate of the standard error of αˆ estimated from the original data set.
The bootstrap approach is illustrated in the center panel of Figure 5.10, which displays a histogram of 1,000 bootstrap estimates of α, each computed using a distinct bootstrap data set. This panel was constructed on the basis of a single data set, and hence could be created using real data. Note that the histogram looks very similar to the left-hand panel, which displays the idealized histogram of the estimates of α obtained by generating 1,000 simulated data sets from the true population. In particular the bootstrap estimate SE(ˆα) from (5.8) is 0.087, very close to the estimate of 0.083 obtained using 1,000 simulated data sets. The right-hand panel displays the information in the center and left panels in a diferent way, via boxplots of the estimates for α obtained by generating 1,000 simulated data sets from the true population and using the bootstrap approach. Again, the boxplots have similar spreads, indicating that the bootstrap approach can be used to efectively estimate the variability associated with αˆ.

FIGURE 5.11. A graphical illustration of the bootstrap approach on a small sample containing n = 3 observations. Each bootstrap data set contains n observations, sampled with replacement from the original data set. Each bootstrap data set is used to obtain an estimate of α.
5.3 Lab: Cross-Validation and the Bootstrap
In this lab, we explore the resampling techniques covered in this chapter. Some of the commands in this lab may take a while to run on your computer.
We again begin by placing most of our imports at this top level.
In [1]: import numpy as np
import statsmodels.api as sm
from ISLP import load_data
from ISLP.models import (ModelSpec as MS,
summarize,
poly)
from sklearn.model_selection import train_test_split
There are several new imports needed for this lab.
In [2]: from functools import partial
from sklearn.model_selection import \
(cross_validate,
KFold,
ShuffleSplit)
from sklearn.base import clone
from ISLP.models import sklearn_sm
5.3.1 The Validation Set Approach
We explore the use of the validation set approach in order to estimate the test error rates that result from ftting various linear models on the Auto data set.
We use the function train_test_split() to split the data into training train_test_ split() and validation sets. As there are 392 observations, we split into two equal sets of size 196 using the argument test_size=196. It is generally a good idea to set a random seed when performing operations like this that contain an element of randomness, so that the results obtained can be reproduced precisely at a later time. We set the random seed of the splitter with the argument random_state=0.
In [3]: Auto = load_data('Auto')
Auto_train, Auto_valid = train_test_split(Auto,
test_size=196,
random_state=0)
Now we can ft a linear regression using only the observations corresponding to the training set Auto_train.
In [4]: hp_mm = MS(['horsepower'])
X_train = hp_mm.fit_transform(Auto_train)
y_train = Auto_train['mpg']
model = sm.OLS(y_train, X_train)
results = model.fit()
We now use the predict() method of results evaluated on the model matrix for this model created using the validation data set. We also calculate the validation MSE of our model.
In [5]: X_valid = hp_mm.transform(Auto_valid)
y_valid = Auto_valid['mpg']
valid_pred = results.predict(X_valid)
np.mean((y_valid - valid_pred)**2)
Out[5]: 23.6166
Hence our estimate for the validation MSE of the linear regression ft is 23.62.
We can also estimate the validation error for higher-degree polynomial regressions. We frst provide a function evalMSE() that takes a model string as well as a training and test set and returns the MSE on the test set.
In [6]: def evalMSE(terms,
response,
train,
test):
mm = MS(terms)
X_train = mm.fit_transform(train)
y_train = train[response]
X_test = mm.transform(test)
y_test = test[response]
results = sm.OLS(y_train, X_train).fit()
test_pred = results.predict(X_test)
return np.mean((y_test - test_pred)**2)
Let’s use this function to estimate the validation MSE using linear, quadratic and cubic fts. We use the enumerate() function here, which gives enumerate() both the values and indices of objects as one iterates over a for loop.
In [7]: MSE = np.zeros(3)
for idx, degree in enumerate(range(1, 4)):
MSE[idx] = evalMSE([poly('horsepower', degree)],
'mpg',
Auto_train,
Auto_valid)
MSE
Out[7]: array([23.62, 18.76, 18.80])
These error rates are 23.62, 18.76, and 18.80, respectively. If we choose a diferent training/validation split instead, then we can expect somewhat diferent errors on the validation set.
In [8]: Auto_train, Auto_valid = train_test_split(Auto,
test_size=196,
random_state=3)
MSE = np.zeros(3)
for idx, degree in enumerate(range(1, 4)):
MSE[idx] = evalMSE([poly('horsepower', degree)],
'mpg',
Auto_train,
Auto_valid)
MSE
Out[8]: array([20.76, 16.95, 16.97])
Using this split of the observations into a training set and a validation set, we fnd that the validation set error rates for the models with linear, quadratic, and cubic terms are 20.76, 16.95, and 16.97, respectively.
These results are consistent with our previous fndings: a model that predicts mpg using a quadratic function of horsepower performs better than a model that involves only a linear function of horsepower, and there is no evidence of an improvement in using a cubic function of horsepower.
5.3.2 Cross-Validation
In theory, the cross-validation estimate can be computed for any generalized linear model. In practice, however, the simplest way to cross-validate in Python is to use sklearn, which has a diferent interface or API than statsmodels, the code we have been using to ft GLMs.
This is a problem which often confronts data scientists: “I have a function to do task A, and need to feed it into something that performs task B, so that I can compute B(A(D)), where D is my data.” When A and B don’t naturally speak to each other, this requires the use of a wrapper. In the ISLP wrapper package, we provide a wrapper, sklearn_sm(), that enables us to easily use sklearn_sm() the cross-validation tools of sklearn with models ft by statsmodels.
The class sklearn_sm() has as its frst argument a model from statsmodels. It can take two additional optional arguments: model_str which can be used to specify a formula, and model_args which should be a dictionary of additional arguments used when ftting the model. For example, to ft a logistic regression model we have to specify a family argument. This is passed as model_args={‘family’:sm.families.Binomial()}.
Here is our wrapper in action:
In [9]: hp_model = sklearn_sm(sm.OLS,
MS(['horsepower']))
X, Y = Auto.drop(columns=['mpg']), Auto['mpg']
cv_results = cross_validate(hp_model,
X,
Y,
cv=Auto.shape[0])
cv_err = np.mean(cv_results['test_score'])
cv_err
Out[9]: 24.2315
The arguments to cross_validate() are as follows: an object with the appropriate fit(), predict(), and score() methods, an array of features X and a response Y. We also included an additional argument cv to cross_validate(); specifying an integer K results in K-fold cross-validation. We have provided a value corresponding to the total number of observations, which results in leave-one-out cross-validation (LOOCV). The cross_validate() func- cross_ tion produces a dictionary with several components; we simply want the validate() cross-validated test score here (MSE), which is estimated to be 24.23.
We can repeat this procedure for increasingly complex polynomial fts. To automate the process, we again use a for loop which iteratively fts polynomial regressions of degree 1 to 5, computes the associated crossvalidation error, and stores it in the ith element of the vector cv_error. The variable d in the for loop corresponds to the degree of the polynomial. We begin by initializing the vector. This command may take a couple of seconds to run.
In [10]: cv_error = np.zeros(5)
H = np.array(Auto['horsepower'])
M = sklearn_sm(sm.OLS)
for i, d in enumerate(range(1,6)):
X = np.power.outer(H, np.arange(d+1))
M_CV = cross_validate(M,
X,
Y,
cv=Auto.shape[0])
cv_error[i] = np.mean(M_CV['test_score'])
cv_error
Out[10]: array([24.2315, 19.2482, 19.3350, 19.4244, 19.0332])
As in Figure 5.4, we see a sharp drop in the estimated test MSE between the linear and quadratic fts, but then no clear improvement from using higher-degree polynomials.
Above we introduced the outer() method of the np.power() function. .outer() np.power() The outer() method is applied to an operation that has two arguments, such as add(), min(), or power(). It has two arrays as arguments, and then forms a larger array where the operation is applied to each pair of elements of the two arrays.
In [11]: A = np.array([3, 5, 9])
B = np.array([2, 4])
np.add.outer(A, B)
Out[11]: array([[ 5, 7],
[ 7, 9],
[11, 13]])
In the CV example above, we used K = n, but of course we can also use K<n. The code is very similar to the above (and is signifcantly faster). Here we use KFold() to partition the data into K = 10 random groups. We KFold() use random_state to set a random seed and initialize a vector cv_error in which we will store the CV errors corresponding to the polynomial fts of degrees one to fve.
In [12]: cv_error = np.zeros(5)
cv = KFold(n_splits=10,
shuffle=True,
random_state=0) # use same splits for each degree
for i, d in enumerate(range(1,6)):
X = np.power.outer(H, np.arange(d+1))
M_CV = cross_validate(M,
X,
Y,
cv=cv)
cv_error[i] = np.mean(M_CV['test_score'])
cv_error
Out[12]: array([24.2077, 19.1853, 19.2763, 19.4785, 19.1372])
Notice that the computation time is much shorter than that of LOOCV. (In principle, the computation time for LOOCV for a least squares linear model should be faster than for K-fold CV, due to the availability of the formula (5.2) for LOOCV; however, the generic cross_validate() function does not make use of this formula.) We still see little evidence that using cubic or higher-degree polynomial terms leads to a lower test error than simply using a quadratic ft.
The cross_validate() function is fexible and can take diferent splitting mechanisms as an argument. For instance, one can use the ShuffleSplit() Shuffle Split() funtion to implement the validation set approach just as easily as K-fold cross-validation.
In [13]: validation = ShuffleSplit(n\_splits=1,
test_size=196,
random_state=0)
results = cross_validate(hp_model,
Auto.drop(['mpg'], axis=1),
Auto['mpg'],
cv=validation);
results['test_score']
Out[13]: array([23.6166])
One can estimate the variability in the test error by running the following:
In [14]: validation = ShuffleSplit(n_splits=10,
test_size=196,
random_state=0)
results = cross_validate(hp_model,
Auto.drop(['mpg'], axis=1),
Auto['mpg'],
cv=validation)
results['test_score'].mean(), results['test_score'].std()
Out[14]: (23.8022, 1.4218)
Note that this standard deviation is not a valid estimate of the sampling variability of the mean test score or the individual scores, since the randomly-selected training samples overlap and hence introduce correlations. But it does give an idea of the Monte Carlo variation incurred by picking diferent random folds.
5.3.3 The Bootstrap
We illustrate the use of the bootstrap in the simple example of Section 5.2, as well as on an example involving estimating the accuracy of the linear regression model on the Auto data set.
Estimating the Accuracy of a Statistic of Interest
One of the great advantages of the bootstrap approach is that it can be applied in almost all situations. No complicated mathematical calculations are required. While there are several implementations of the bootstrap in Python, its use for estimating standard error is simple enough that we write our own function below for the case when our data is stored in a dataframe.
To illustrate the bootstrap, we start with a simple example. The Portfolio data set in the ISLP package is described in Section 5.2. The goal is to estimate the sampling variance of the parameter α given in formula (5.7). We will create a function alpha_func(), which takes as input a dataframe D assumed to have columns X and Y, as well as a vector idx indicating which observations should be used to estimate α. The function then outputs the estimate for α based on the selected observations.
In [15]: Portfolio = load_data('Portfolio')
def alpha_func(D, idx):
cov_ = np.cov(D[['X','Y']].loc[idx], rowvar=False)
return ((cov_[1,1] - cov_[0,1]) /
(cov_[0,0]+cov_[1,1]-2*cov_[0,1]))
This function returns an estimate for α based on applying the minimum variance formula (5.7) to the observations indexed by the argument idx. For instance, the following command estimates α using all 100 observations.
In [16]: alpha\_func(Portfolio, range(100))
Out[16]: 0.5758
Next we randomly select 100 observations from range(100), with replacement. This is equivalent to constructing a new bootstrap data set and recomputing αˆ based on the new data set.
In [17]: rng = np.random.default_rng(0)
alpha_func(Portfolio,
rng.choice(100,
100,
replace=True))
Out[17]: 0.6074
This process can be generalized to create a simple function boot_SE() for computing the bootstrap standard error for arbitrary functions that take only a data frame as an argument.
In [18]: def boot_SE(func,
D,
n=None,
B=1000,
seed=0):
rng = np.random.default_rng(seed)
first_, second_ = 0, 0
n = n or D.shape[0]
for _ in range(B):
idx = rng.choice(D.index,
n,
replace=True)
value = func(D, idx)
first_ += value
second_ += value**2
return np.sqrt(second_ / B - (first_ / B)**2)
Notice the use of _ as a loop variable in for _ in range(B). This is often used if the value of the counter is unimportant and simply makes sure the loop is executed B times.
Let’s use our function to evaluate the accuracy of our estimate of α using B = 1,000 bootstrap replications.
In [19]: alpha_SE = boot_SE(alpha_func,
Portfolio,
B=1000,
seed=0)
alpha_SE
Out[19]: 0.0912
The fnal output shows that the bootstrap estimate for SE(ˆα) is 0.0912.
Estimating the Accuracy of a Linear Regression Model
The bootstrap approach can be used to assess the variability of the coeffcient estimates and predictions from a statistical learning method. Here we use the bootstrap approach in order to assess the variability of the estimates for β0 and β1, the intercept and slope terms for the linear regression model that uses horsepower to predict mpg in the Auto data set. We will compare the estimates obtained using the bootstrap to those obtained using the formulas for SE(βˆ0) and SE(βˆ1) described in Section 3.1.2.
To use our boot_SE() function, we must write a function (its frst argument) that takes a data frame D and indices idx as its only arguments. But here we want to bootstrap a specifc regression model, specifed by a model formula and data. We show how to do this in a few simple steps.
We start by writing a generic function boot_OLS() for bootstrapping a regression model that takes a formula to defne the corresponding regression. We use the clone() function to make a copy of the formula that can clone() be reft to the new dataframe. This means that any derived features such as those defned by poly() (which we will see shortly), will be re-ft on the resampled data frame.
In [20]: def boot_OLS(model_matrix, response, D, idx):
D_ = D.loc[idx]
Y_ = D_[response]
X_ = clone(model_matrix).fit_transform(D_)
return sm.OLS(Y_, X_).fit().params
This is not quite what is needed as the frst argument to boot_SE(). The frst two arguments which specify the model will not change in the bootstrap process, and we would like to freeze them. The function partial() from the partial() functools module does precisely this: it takes a function as an argument, and freezes some of its arguments, starting from the left. We use it to freeze the frst two model-formula arguments of boot_OLS().
In [21]: hp_func = partial(boot_OLS, MS([‘horsepower’]), ‘mpg’)
Typing hp_func? will show that it has two arguments D and idx — it is a version of boot_OLS() with the frst two arguments frozen — and hence is ideal as the frst argument for boot_SE().
The hp_func() function can now be used in order to create bootstrap estimates for the intercept and slope terms by randomly sampling from among the observations with replacement. We frst demonstrate its utility on 10 bootstrap samples.
In [22]: rng = np.random.default_rng(0)
np.array([hp_func(Auto,
rng.choice(392,
392,
replace=True)) for _ in range(10)])
Out[22]: array([[39.8806, -0.1568],
[38.733 , -0.147 ],
[38.3173, -0.1444],
[39.9145, -0.1578],
[39.4335, -0.1507],
[40.3663, -0.1591],
[39.6233, -0.1545],
[39.0581, -0.1495],
[38.6669, -0.1452],
[39.6428, -0.1556]])
Next, we use the boot_SE() function to compute the standard errors of 1,000 bootstrap estimates for the intercept and slope terms.
In [23]: hp_se = boot_SE(hp_func,
Auto,
B=1000,
seed=10)
hp_se
Out[23]: intercept 0.8488
horsepower 0.0074
dtype: float64
This indicates that the bootstrap estimate for SE(βˆ0) is 0.85, and that the bootstrap estimate for SE(βˆ1) is 0.0074. As discussed in Section 3.1.2, standard formulas can be used to compute the standard errors for the regression coefcients in a linear model. These can be obtained using the summarize() function from ISLP.sm.
In [24]: hp_model.fit(Auto, Auto['mpg'])
model_se = summarize(hp_model.results_)['std err']
model_se
Out[24]: intercept 0.717
horsepower 0.006
Name: std err, dtype: float64
The standard error estimates for βˆ0 and βˆ1 obtained using the formulas from Section 3.1.2 are 0.717 for the intercept and 0.006 for the slope. Interestingly, these are somewhat diferent from the estimates obtained using the bootstrap. Does this indicate a problem with the bootstrap? In fact, it suggests the opposite. Recall that the standard formulas given in Equation 3.8 on page 75 rely on certain assumptions. For example, they depend on the unknown parameter σ2, the noise variance. We then estimate σ2 using the RSS. Now although the formula for the standard errors do not rely on the linear model being correct, the estimate for σ2 does. We see in Figure 3.8 on page 99 that there is a non-linear relationship in the data, and so the residuals from a linear ft will be infated, and so will σˆ2. Secondly, the standard formulas assume (somewhat unrealistically) that the xi are fxed, and all the variability comes from the variation in the errors “i. The bootstrap approach does not rely on any of these assumptions, and so it is likely giving a more accurate estimate of the standard errors of βˆ0 and βˆ1 than the results from sm.OLS.
Below we compute the bootstrap standard error estimates and the standard linear regression estimates that result from ftting the quadratic model to the data. Since this model provides a good ft to the data (Figure 3.8), there is now a better correspondence between the bootstrap estimates and the standard estimates of SE(βˆ0), SE(βˆ1) and SE(βˆ2).
In [25]: quad_model = MS([poly('horsepower', 2, raw=True)])
quad_func = partial(boot_OLS,
quad_model,
'mpg')
boot_SE(quad_func, Auto, B=1000)
224 5. Resampling Methods
Out[25]: intercept 2.067840
poly(horsepower, 2, raw=True)[0] 0.033019
poly(horsepower, 2, raw=True)[1] 0.000120
dtype: float64
We compare the results to the standard errors computed using sm.OLS().
In [26]: M = sm.OLS(Auto['mpg'],
quad_model.fit_transform(Auto))
summarize(M.fit())['std err']
Out[26]: intercept 1.800
poly(horsepower, 2, raw=True)[0] 0.031
poly(horsepower, 2, raw=True)[1] 0.000
Name: std err, dtype: float64
5.4 Exercises
Conceptual
- We will now derive the probability that a given observation is part of a bootstrap sample. Suppose that we obtain a bootstrap sample from a set of n observations.
- What is the probability that the frst bootstrap observation is not the jth observation from the original sample? Justify your answer.
- What is the probability that the second bootstrap observation is not the jth observation from the original sample?
- Argue that the probability that the jth observation is not in the bootstrap sample is (1 − 1/n)n.
- When n = 5, what is the probability that the jth observation is in the bootstrap sample?
- When n = 100, what is the probability that the jth observation is in the bootstrap sample?
- When n = 10, 000, what is the probability that the jth observation is in the bootstrap sample?
- Create a plot that displays, for each integer value of n from 1 to 100, 000, the probability that the jth observation is in the bootstrap sample. Comment on what you observe.
- We will now investigate numerically the probability that a bootstrap sample of size n = 100 contains the jth observation. Here j = 4. We frst create an array store with values that will subsequently be overwritten using the function np.empty(). We then np.empty()
repeatedly create bootstrap samples, and each time we record whether or not the ffth observation is contained in the bootstrap sample.
rng = np.random.default_rng(10)
store = np.empty(10000)
for i in range(10000):
store[i] = np.sum(rng.choice(100, replace=True) == 4)
> 0
np.mean(store)
Comment on the results obtained.
- We now review k-fold cross-validation.
- Explain how k-fold cross-validation is implemented.
- What are the advantages and disadvantages of k-fold crossvalidation relative to:
- The validation set approach?
- LOOCV?
- Suppose that we use some statistical learning method to make a prediction for the response Y for a particular value of the predictor X. Carefully describe how we might estimate the standard deviation of our prediction.
Applied
- In Chapter 4, we used logistic regression to predict the probability of default using income and balance on the Default data set. We will now estimate the test error of this logistic regression model using the validation set approach. Do not forget to set a random seed before beginning your analysis.
- Fit a logistic regression model that uses income and balance to predict default.
- Using the validation set approach, estimate the test error of this model. In order to do this, you must perform the following steps:
- Split the sample set into a training set and a validation set.
- Fit a multiple logistic regression model using only the training observations.
- Obtain a prediction of default status for each individual in the validation set by computing the posterior probability of default for that individual, and classifying the individual to the default category if the posterior probability is greater than 0.5.
- Compute the validation set error, which is the fraction of the observations in the validation set that are misclassifed.
- Repeat the process in (b) three times, using three diferent splits of the observations into a training set and a validation set. Comment on the results obtained.
- Now consider a logistic regression model that predicts the probability of default using income, balance, and a dummy variable for student. Estimate the test error for this model using the validation set approach. Comment on whether or not including a dummy variable for student leads to a reduction in the test error rate.
- We continue to consider the use of a logistic regression model to predict the probability of default using income and balance on the Default data set. In particular, we will now compute estimates for the standard errors of the income and balance logistic regression coefcients in two diferent ways: (1) using the bootstrap, and (2) using the standard formula for computing the standard errors in the sm.GLM() function. Do not forget to set a random seed before beginning your analysis.
- Using the summarize() and sm.GLM() functions, determine the estimated standard errors for the coefcients associated with income and balance in a multiple logistic regression model that uses both predictors.
- Write a function, boot_fn(), that takes as input the Default data set as well as an index of the observations, and that outputs the coefcient estimates for income and balance in the multiple logistic regression model.
- Following the bootstrap example in the lab, use your boot_fn() function to estimate the standard errors of the logistic regression coefcients for income and balance.
- Comment on the estimated standard errors obtained using the sm.GLM() function and using the bootstrap.
- In Sections 5.1.2 and 5.1.3, we saw that the cross_validate() function can be used in order to compute the LOOCV test error estimate. Alternatively, one could compute those quantities using just sm.GLM() and the predict() method of the ftted model within a for loop. You will now take this approach in order to compute the LOOCV error for a simple logistic regression model on the Weekly data set. Recall that in the context of classifcation problems, the LOOCV error is given in (5.4).
- Fit a logistic regression model that predicts Direction using Lag1 and Lag2.
- Fit a logistic regression model that predicts Direction using Lag1 and Lag2 using all but the frst observation.
- Use the model from (b) to predict the direction of the frst observation. You can do this by predicting that the frst observation will go up if P(Direction = “Up”|Lag1, Lag2) > 0.5. Was this observation correctly classifed?
- Write a for loop from i = 1 to i = n, where n is the number of observations in the data set, that performs each of the following steps:
- Fit a logistic regression model using all but the ith observation to predict Direction using Lag1 and Lag2.
- Compute the posterior probability of the market moving up for the ith observation.
- Use the posterior probability for the ith observation in order to predict whether or not the market moves up.
- Determine whether or not an error was made in predicting the direction for the ith observation. If an error was made, then indicate this as a 1, and otherwise indicate it as a 0.
- Take the average of the n numbers obtained in (d)iv in order to obtain the LOOCV estimate for the test error. Comment on the results.
- We will now perform cross-validation on a simulated data set.
- Generate a simulated data set as follows:
rng = np.random.default_rng(1)
x = rng.normal(size=100)
y = x - 2 * x**2 + rng.normal(size=100)
In this data set, what is n and what is p? Write out the model used to generate the data in equation form.
- Create a scatterplot of X against Y . Comment on what you fnd.
- Set a random seed, and then compute the LOOCV errors that result from ftting the following four models using least squares:
- Y = β0 + β1X + ” ii. Y = β0 + β1X + β2X2 + ” iii. Y = β0 + β1X + β2X2 + β3X3 + ” iv. Y = β0 + β1X + β2X2 + β3X3 + β4X4 + “.
Note you may fnd it helpful to use the data.frame() function to create a single data set containing both X and Y .
- Repeat (c) using another random seed, and report your results. Are your results the same as what you got in (c)? Why?
- Which of the models in (c) had the smallest LOOCV error? Is this what you expected? Explain your answer.
- Comment on the statistical signifcance of the coefcient estimates that results from ftting each of the models in (c) using least squares. Do these results agree with the conclusions drawn based on the cross-validation results?
- We will now consider the Boston housing data set, from the ISLP library.
- Based on this data set, provide an estimate for the population mean of medv. Call this estimate µˆ.
- Provide an estimate of the standard error of µˆ. Interpret this result.
Hint: We can compute the standard error of the sample mean by dividing the sample standard deviation by the square root of the number of observations.
- Now estimate the standard error of µˆ using the bootstrap. How does this compare to your answer from (b)?
- Based on your bootstrap estimate from (c), provide a 95 % confdence interval for the mean of medv. Compare it to the results obtained by using Boston[‘medv’].std() and the two standard error rule (3.9).
Hint: You can approximate a 95 % confdence interval using the formula [ˆµ − 2SE(ˆµ), µˆ + 2SE(ˆµ)].
- Based on this data set, provide an estimate, µˆmed, for the median value of medv in the population.
- We now would like to estimate the standard error of µˆmed. Unfortunately, there is no simple formula for computing the standard error of the median. Instead, estimate the standard error of the median using the bootstrap. Comment on your fndings.
- Based on this data set, provide an estimate for the tenth percentile of medv in Boston census tracts. Call this quantity µˆ0.1. (You can use the np.percentile() function.) np.
- percentile() (h) Use the bootstrap to estimate the standard error of µˆ0.1. Comment on your fndings.

6 Linear Model Selection and Regularization
In the regression setting, the standard linear model
\[ Y = \beta_0 + \beta_1 X_1 + \dots + \beta_p X_p + \epsilon \tag{6.1} \]
is commonly used to describe the relationship between a response Y and a set of variables X1, X2,…,Xp. We have seen in Chapter 3 that one typically fts this model using least squares.
In the chapters that follow, we consider some approaches for extending the linear model framework. In Chapter 7 we generalize (6.1) in order to accommodate non-linear, but still additive, relationships, while in Chapters 8 and 10 we consider even more general non-linear models. However, the linear model has distinct advantages in terms of inference and, on realworld problems, is often surprisingly competitive in relation to non-linear methods. Hence, before moving to the non-linear world, we discuss in this chapter some ways in which the simple linear model can be improved, by replacing plain least squares ftting with some alternative ftting procedures.
Why might we want to use another ftting procedure instead of least squares? As we will see, alternative ftting procedures can yield better prediction accuracy and model interpretability.
• Prediction Accuracy: Provided that the true relationship between the response and the predictors is approximately linear, the least squares estimates will have low bias. If n + p—that is, if n, the number of observations, is much larger than p, the number of variables—then the least squares estimates tend to also have low variance, and hence will perform well on test observations. However, if n is not much larger than p, then there can be a lot of variability in the least squares ft, resulting in overftting and consequently poor predictions on future observations not used in model training. And if p>n, then there is no longer a unique least squares coefcient estimate: there are infnitely
© Springer Nature Switzerland AG 2023
many solutions. Each of these least squares solutions gives zero error on the training data, but typically very poor test set performance due to extremely high variance.1 By constraining or shrinking the estimated coefcients, we can often substantially reduce the variance at the cost of a negligible increase in bias. This can lead to substantial improvements in the accuracy with which we can predict the response for observations not used in model training.
• Model Interpretability: It is often the case that some or many of the variables used in a multiple regression model are in fact not associated with the response. Including such irrelevant variables leads to unnecessary complexity in the resulting model. By removing these variables—that is, by setting the corresponding coefcient estimates to zero—we can obtain a model that is more easily interpreted. Now least squares is extremely unlikely to yield any coefcient estimates that are exactly zero. In this chapter, we see some approaches for automatically performing feature selection or variable selection—that is, feature for excluding irrelevant variables from a multiple regression model.
selection variable selection
There are many alternatives, both classical and modern, to using least squares to ft (6.1). In this chapter, we discuss three important classes of methods.
- Subset Selection. This approach involves identifying a subset of the p predictors that we believe to be related to the response. We then ft a model using least squares on the reduced set of variables.
- Shrinkage. This approach involves ftting a model involving all p predictors. However, the estimated coefcients are shrunken towards zero relative to the least squares estimates. This shrinkage (also known as regularization) has the efect of reducing variance. Depending on what type of shrinkage is performed, some of the coefcients may be estimated to be exactly zero. Hence, shrinkage methods can also perform variable selection.
- Dimension Reduction. This approach involves projecting the p predictors into an M-dimensional subspace, where M<p. This is achieved by computing M diferent linear combinations, or projections, of the variables. Then these M projections are used as predictors to ft a linear regression model by least squares.
In the following sections we describe each of these approaches in greater detail, along with their advantages and disadvantages. Although this chapter describes extensions and modifcations to the linear model for regression seen in Chapter 3, the same concepts apply to other methods, such as the classifcation models seen in Chapter 4.
1When p # n, the least squares solution that has the smallest sum of squared coefcients can sometimes perform quite well. See Section 10.8 for a more detailed discussion.
6.1 Subset Selection
In this section we consider some methods for selecting subsets of predictors. These include best subset and stepwise model selection procedures.
6.1.1 Best Subset Selection
To perform best subset selection, we ft a separate least squares regression best subset selection for each possible combination of the p predictors. That is, we ft all p models that contain exactly one predictor, all ’p 2 ( = p(p−1)/2 models that contain exactly two predictors, and so forth. We then look at all of the resulting models, with the goal of identifying the one that is best.
The problem of selecting the best model from among the 2p possibilities considered by best subset selection is not trivial. This is usually broken up into two stages, as described in Algorithm 6.1.
Algorithm 6.1 Best subset selection
- Let M0 denote the null model, which contains no predictors. This model simply predicts the sample mean for each observation.
- For k = 1, 2,…p:
- Fit all ’p k ( models that contain exactly k predictors.
- Pick the best among these ’p k ( models, and call it Mk. Here best is defned as having the smallest RSS, or equivalently largest R2.
- Select a single best model from among M0,…,Mp using using the prediction error on a validation set, Cp (AIC), BIC, or adjusted R2. Or use the cross-validation method.
In Algorithm 6.1, Step 2 identifes the best model (on the training data) for each subset size, in order to reduce the problem from one of 2p possible models to one of p + 1 possible models. In Figure 6.1, these models form the lower frontier depicted in red.
Now in order to select a single best model, we must simply choose among these p + 1 options. This task must be performed with care, because the RSS of these p + 1 models decreases monotonically, and the R2 increases monotonically, as the number of features included in the models increases. Therefore, if we use these statistics to select the best model, then we will always end up with a model involving all of the variables. The problem is that a low RSS or a high R2 indicates a model with a low training error, whereas we wish to choose a model that has a low test error. (As shown in Chapter 2 in Figures 2.9–2.11, training error tends to be quite a bit smaller than test error, and a low training error by no means guarantees a low test error.) Therefore, in Step 3, we use the error on a validation set, Cp, BIC, or adjusted R2 in order to select among M0,M1,…,Mp. If cross-validation is used to select the best model, then Step 2 is repeated on each training fold, and the validation errors are averaged to select the best value of k.

FIGURE 6.1. For each possible model containing a subset of the ten predictors in the Credit data set, the RSS and R2 are displayed. The red frontier tracks the best model for a given number of predictors, according to RSS and R2. Though the data set contains only ten predictors, the x-axis ranges from 1 to 11, since one of the variables is categorical and takes on three values, leading to the creation of two dummy variables.
Then the model Mk ft on the full training set is delivered for the chosen k. These approaches are discussed in Section 6.1.3.
An application of best subset selection is shown in Figure 6.1. Each plotted point corresponds to a least squares regression model ft using a diferent subset of the 10 predictors in the Credit data set, discussed in Chapter 3. Here the variable region is a three-level qualitative variable, and so is represented by two dummy variables, which are selected separately in this case. Hence, there are a total of 11 possible variables which can be included in the model. We have plotted the RSS and R2 statistics for each model, as a function of the number of variables. The red curves connect the best models for each model size, according to RSS or R2. The fgure shows that, as expected, these quantities improve as the number of variables increases; however, from the three-variable model on, there is little improvement in RSS and R2 as a result of including additional predictors.
Although we have presented best subset selection here for least squares regression, the same ideas apply to other types of models, such as logistic regression. In the case of logistic regression, instead of ordering models by RSS in Step 2 of Algorithm 6.1, we instead use the deviance, a measure deviance that plays the role of RSS for a broader class of models. The deviance is negative two times the maximized log-likelihood; the smaller the deviance, the better the ft.
While best subset selection is a simple and conceptually appealing approach, it sufers from computational limitations. The number of possible models that must be considered grows rapidly as p increases. In general, there are 2p models that involve subsets of p predictors. So if p = 10, then there are approximately 1,000 possible models to be considered, and if p = 20, then there are over one million possibilities! Consequently, best subset selection becomes computationally infeasible for values of p greater than
Algorithm 6.2 Forward stepwise selection
- Let M0 denote the null model, which contains no predictors.
- For k = 0,…,p − 1:
- Consider all p − k models that augment the predictors in Mk with one additional predictor.
- Choose the best among these p − k models, and call it Mk+1. Here best is defned as having smallest RSS or highest R2.
- Select a single best model from among M0,…,Mp using the prediction error on a validation set, Cp (AIC), BIC, or adjusted R2. Or use the cross-validation method.
around 40, even with extremely fast modern computers. There are computational shortcuts—so called branch-and-bound techniques—for eliminating some choices, but these have their limitations as p gets large. They also only work for least squares linear regression. We present computationally efcient alternatives to best subset selection next.
6.1.2 Stepwise Selection
For computational reasons, best subset selection cannot be applied with very large p. Best subset selection may also sufer from statistical problems when p is large. The larger the search space, the higher the chance of fnding models that look good on the training data, even though they might not have any predictive power on future data. Thus an enormous search space can lead to overftting and high variance of the coefcient estimates.
For both of these reasons, stepwise methods, which explore a far more restricted set of models, are attractive alternatives to best subset selection.
Forward Stepwise Selection
Forward stepwise selection is a computationally efcient alternative to best forward subset selection. While the best subset selection procedure considers all 2p possible models containing subsets of the p predictors, forward stepwise considers a much smaller set of models. Forward stepwise selection begins with a model containing no predictors, and then adds predictors to the model, one-at-a-time, until all of the predictors are in the model. In particular, at each step the variable that gives the greatest additional improvement to the ft is added to the model. More formally, the forward stepwise selection procedure is given in Algorithm 6.2.
stepwise selection
Unlike best subset selection, which involved ftting 2p models, forward stepwise selection involves ftting one null model, along with p − k models in the ) kth iteration, for k = 0,…,p − 1. This amounts to a total of 1 + p−1 k=0(p−k) = 1+p(p+ 1)/2 models. This is a substantial diference: when
| # Variables | Best subset | Forward stepwise |
|---|---|---|
| One | rating | rating |
| Two | rating, income |
rating, income |
| Three | rating, income, student |
rating, income, student |
| Four | cards, income |
rating, income, |
| student, limit |
student, limit |
TABLE 6.1. The frst four selected models for best subset selection and forward stepwise selection on the Credit data set. The frst three models are identical but the fourth models difer.
p = 20, best subset selection requires ftting 1,048,576 models, whereas forward stepwise selection requires ftting only 211 models.2
In Step 2(b) of Algorithm 6.2, we must identify the best model from among those p−k that augment Mk with one additional predictor. We can do this by simply choosing the model with the lowest RSS or the highest R2. However, in Step 3, we must identify the best model among a set of models with diferent numbers of variables. This is more challenging, and is discussed in Section 6.1.3.
Forward stepwise selection’s computational advantage over best subset selection is clear. Though forward stepwise tends to do well in practice, it is not guaranteed to fnd the best possible model out of all 2p models containing subsets of the p predictors. For instance, suppose that in a given data set with p = 3 predictors, the best possible one-variable model contains X1, and the best possible two-variable model instead contains X2 and X3. Then forward stepwise selection will fail to select the best possible two-variable model, because M1 will contain X1, so M2 must also contain X1 together with one additional variable.
Table 6.1, which shows the frst four selected models for best subset and forward stepwise selection on the Credit data set, illustrates this phenomenon. Both best subset selection and forward stepwise selection choose rating for the best one-variable model and then include income and student for the two- and three-variable models. However, best subset selection replaces rating by cards in the four-variable model, while forward stepwise selection must maintain rating in its four-variable model. In this example, Figure 6.1 indicates that there is not much diference between the threeand four-variable models in terms of RSS, so either of the four-variable models will likely be adequate.
Forward stepwise selection can be applied even in the high-dimensional setting where n<p; however, in this case, it is possible to construct submodels M0,…,Mn−1 only, since each submodel is ft using least squares, which will not yield a unique solution if p ≥ n.
Backward Stepwise Selection
Like forward stepwise selection, backward stepwise selection provides an backward
stepwise
2Though forward stepwise selection considers p(p + 1)/2+1 models, it performs a selection guided search over model space, and so the efective model space considered contains substantially more than p(p + 1)/2+1 models.
efcient alternative to best subset selection. However, unlike forward stepwise selection, it begins with the full least squares model containing all p predictors, and then iteratively removes the least useful predictor, one-ata-time. Details are given in Algorithm 6.3.
Algorithm 6.3 Backward stepwise selection
- Let Mp denote the full model, which contains all p predictors.
- For k = p, p − 1,…, 1:
- Consider all k models that contain all but one of the predictors in Mk, for a total of k − 1 predictors.
- Choose the best among these k models, and call it Mk−1. Here best is defned as having smallest RSS or highest R2.
- Select a single best model from among M0,…,Mp using the prediction error on a validation set, Cp (AIC), BIC, or adjusted R2. Or use the cross-validation method.
Like forward stepwise selection, the backward selection approach searches through only 1+p(p+ 1)/2 models, and so can be applied in settings where p is too large to apply best subset selection.3 Also like forward stepwise selection, backward stepwise selection is not guaranteed to yield the best model containing a subset of the p predictors.
Backward selection requires that the number of samples n is larger than the number of variables p (so that the full model can be ft). In contrast, forward stepwise can be used even when n<p, and so is the only viable subset method when p is very large.
Hybrid Approaches
The best subset, forward stepwise, and backward stepwise selection approaches generally give similar but not identical models. As another alternative, hybrid versions of forward and backward stepwise selection are available, in which variables are added to the model sequentially, in analogy to forward selection. However, after adding each new variable, the method may also remove any variables that no longer provide an improvement in the model ft. Such an approach attempts to more closely mimic best subset selection while retaining the computational advantages of forward and backward stepwise selection.
6.1.3 Choosing the Optimal Model
Best subset selection, forward selection, and backward selection result in the creation of a set of models, each of which contains a subset of the p
3Like forward stepwise selection, backward stepwise selection performs a guided search over model space, and so efectively considers substantially more than 1 + p(p + 1)/2 models.
predictors. To apply these methods, we need a way to determine which of these models is best. As we discussed in Section 6.1.1, the model containing all of the predictors will always have the smallest RSS and the largest R2, since these quantities are related to the training error. Instead, we wish to choose a model with a low test error. As is evident here, and as we show in Chapter 2, the training error can be a poor estimate of the test error. Therefore, RSS and R2 are not suitable for selecting the best model among a collection of models with diferent numbers of predictors.
In order to select the best model with respect to test error, we need to estimate this test error. There are two common approaches:
- We can indirectly estimate test error by making an adjustment to the training error to account for the bias due to overftting.
- We can directly estimate the test error, using either a validation set approach or a cross-validation approach, as discussed in Chapter 5.
We consider both of these approaches below.
\(C_p\), AIC, BIC, and Adjusted \(R^2\)
We show in Chapter 2 that the training set MSE is generally an underestimate of the test MSE. (Recall that MSE = RSS/n.) This is because when we ft a model to the training data using least squares, we specifcally estimate the regression coefcients such that the training RSS (but not the test RSS) is as small as possible. In particular, the training error will decrease as more variables are included in the model, but the test error may not. Therefore, training set RSS and training set R2 cannot be used to select from among a set of models with diferent numbers of variables.
However, a number of techniques for adjusting the training error for the model size are available. These approaches can be used to select among a set of models with diferent numbers of variables. We now consider four such approaches: \(C_p\), Akaike information criterion (AIC), Bayesian information \(C_p\) criterion (BIC), and adjusted \(R^2\). Figure 6.2 displays \(C_p\), BIC, and adjusted \(R^2\) for the best model of each size produced by best subset selection on the Credit data set.
Akaike information criterion Bayesian information criterion adjusted R2
For a ftted least squares model containing d predictors, the Cp estimate of test MSE is computed using the equation
\[ C_p = \frac{1}{n} \left( \text{RSS} + 2d\hat{\sigma}^2 \right),\tag{6.2} \]
where σˆ2 is an estimate of the variance of the error ” associated with each response measurement in (6.1).4 Typically σˆ2 is estimated using the full model containing all predictors. Essentially, the Cp statistic adds a penalty of 2dσˆ2 to the training RSS in order to adjust for the fact that the training error tends to underestimate the test error. Clearly, the penalty increases as the number of predictors in the model increases; this is intended to adjust
4Mallow’s Cp is sometimes defned as C! p = RSS/σˆ2 + 2d − n. This is equivalent to the defnition given above in the sense that Cp = 1 n σˆ2(C! p + n), and so the model with smallest Cp also has smallest C! p.

FIGURE 6.2. Cp, BIC, and adjusted R2 are shown for the best models of each size for the Credit data set (the lower frontier in Figure 6.1). Cp and BIC are estimates of test MSE. In the middle plot we see that the BIC estimate of test error shows an increase after four variables are selected. The other two plots are rather fat after four variables are included.
for the corresponding decrease in training RSS. Though it is beyond the scope of this book, one can show that if σˆ2 is an unbiased estimate of σ2 in (6.2), then Cp is an unbiased estimate of test MSE. As a consequence, the Cp statistic tends to take on a small value for models with a low test error, so when determining which of a set of models is best, we choose the model with the lowest Cp value. In Figure 6.2, Cp selects the six-variable model containing the predictors income, limit, rating, cards, age and student.
The AIC criterion is defned for a large class of models ft by maximum likelihood. In the case of the model (6.1) with Gaussian errors, maximum likelihood and least squares are the same thing. In this case AIC is given by
\[ AIC = \frac{1}{n} (RSS + 2d\hat{\sigma}^2), \]
where, for simplicity, we have omitted irrelevant constants.5 Hence for least squares models, Cp and AIC are proportional to each other, and so only Cp is displayed in Figure 6.2.
BIC is derived from a Bayesian point of view, but ends up looking similar to Cp (and AIC) as well. For the least squares model with d predictors, the BIC is, up to irrelevant constants, given by
\[ BIC = \frac{1}{n} \left( \text{RSS} + \log(n) d\hat{\sigma}^2 \right). \] (6.3)
Like Cp, the BIC will tend to take on a small value for a model with a low test error, and so generally we select the model that has the lowest BIC value. Notice that BIC replaces the 2dσˆ2 used by Cp with a log(n)dσˆ2 term, where n is the number of observations. Since log n > 2 for any n > 7,
5There are two formulas for AIC for least squares regression. The formula that we provide here requires an expression for σ2, which we obtain using the full model containing all predictors. The second formula is appropriate when σ2 is unknown and we do not want to explicitly estimate it; that formula has a log(RSS) term instead of an RSS term. Detailed derivations of these two formulas are outside of the scope of this book.
the BIC statistic generally places a heavier penalty on models with many variables, and hence results in the selection of smaller models than Cp. In Figure 6.2, we see that this is indeed the case for the Credit data set; BIC chooses a model that contains only the four predictors income, limit, cards, and student. In this case the curves are very fat and so there does not appear to be much diference in accuracy between the four-variable and six-variable models.
The adjusted R2 statistic is another popular approach for selecting among a set of models that contain diferent numbers of variables. Recall from Chapter 3 that the usual R2 ) is defned as 1 − RSS/TSS, where TSS = (yi − y)2 is the total sum of squares for the response. Since RSS always decreases as more variables are added to the model, the R2 always increases as more variables are added. For a least squares model with d variables, the adjusted R2 statistic is calculated as
Adjusted \[ R^2 = 1 - \frac{\text{RSS}/(n - d - 1)}{\text{TSS}/(n - 1)}. \]
(6.4)
Unlike Cp, AIC, and BIC, for which a small value indicates a model with a low test error, a large value of adjusted R2 indicates a model with a small test error. Maximizing the adjusted R2 is equivalent to minimizing RSS n−d−1 . While RSS always decreases as the number of variables in the model increases, RSS n−d−1 may increase or decrease, due to the presence of d in the denominator.
The intuition behind the adjusted R2 is that once all of the correct variables have been included in the model, adding additional noise variables will lead to only a very small decrease in RSS. Since adding noise variables leads to an increase in d, such variables will lead to an increase in RSS n−d−1 , and consequently a decrease in the adjusted R2. Therefore, in theory, the model with the largest adjusted R2 will have only correct variables and no noise variables. Unlike the R2 statistic, the adjusted R2 statistic pays a price for the inclusion of unnecessary variables in the model. Figure 6.2 displays the adjusted R2 for the Credit data set. Using this statistic results in the selection of a model that contains seven variables, adding own to the model selected by Cp and AIC.
Cp, AIC, and BIC all have rigorous theoretical justifcations that are beyond the scope of this book. These justifcations rely on asymptotic arguments (scenarios where the sample size n is very large). Despite its popularity, and even though it is quite intuitive, the adjusted R2 is not as well motivated in statistical theory as AIC, BIC, and Cp. All of these measures are simple to use and compute. Here we have presented their formulas in the case of a linear model ft using least squares; however, AIC and BIC can also be defned for more general types of models.
Validation and Cross-Validation
As an alternative to the approaches just discussed, we can directly estimate the test error using the validation set and cross-validation methods discussed in Chapter 5. We can compute the validation set error or the cross-validation error for each model under consideration, and then select

FIGURE 6.3. For the Credit data set, three quantities are displayed for the best model containing d predictors, for d ranging from 1 to 11. The overall best model, based on each of these quantities, is shown as a blue cross. Left: Square root of BIC. Center: Validation set errors. Right: Cross-validation errors.
the model for which the resulting estimated test error is smallest. This procedure has an advantage relative to AIC, BIC, Cp, and adjusted R2, in that it provides a direct estimate of the test error, and makes fewer assumptions about the true underlying model. It can also be used in a wider range of model selection tasks, even in cases where it is hard to pinpoint the model degrees of freedom (e.g. the number of predictors in the model) or hard to estimate the error variance σ2. Note that when cross-validation is used, the sequence of models Mk in Algorithms 6.1–6.3 is determined separately for each training fold, and the validation errors are averaged over all folds for each model size k. This means, for example with best-subset regression, that Mk, the best subset of size k, can difer across the folds. Once the best size k is chosen, we fnd the best model of that size on the full data set.
In the past, performing cross-validation was computationally prohibitive for many problems with large p and/or large n, and so AIC, BIC, Cp, and adjusted R2 were more attractive approaches for choosing among a set of models. However, nowadays with fast computers, the computations required to perform cross-validation are hardly ever an issue. Thus, crossvalidation is a very attractive approach for selecting from among a number of models under consideration.
Figure 6.3 displays, as a function of d, the BIC, validation set errors, and cross-validation errors on the Credit data, for the best d-variable model. The validation errors were calculated by randomly selecting three-quarters of the observations as the training set, and the remainder as the validation set. The cross-validation errors were computed using k = 10 folds. In this case, the validation and cross-validation methods both result in a six-variable model. However, all three approaches suggest that the four-, fve-, and six-variable models are roughly equivalent in terms of their test errors.
In fact, the estimated test error curves displayed in the center and righthand panels of Figure 6.3 are quite fat. While a three-variable model clearly has lower estimated test error than a two-variable model, the estimated test errors of the 3- to 11-variable models are quite similar. Furthermore, if we repeated the validation set approach using a diferent split of the data into a training set and a validation set, or if we repeated cross-validation using a diferent set of cross-validation folds, then the precise model with the lowest estimated test error would surely change. In this setting, we can select a model using the one-standard-error rule. We frst calculate the onestandard error of the estimated test MSE for each model size, and then select the smallest model for which the estimated test error is within one standard error of the lowest point on the curve. The rationale here is that if a set of models appear to be more or less equally good, then we might as well choose the simplest model—that is, the model with the smallest number of predictors. In this case, applying the one-standard-error rule to the validation set or cross-validation approach leads to selection of the three-variable model.
standarderror rule
6.2 Shrinkage Methods
The subset selection methods described in Section 6.1 involve using least squares to ft a linear model that contains a subset of the predictors. As an alternative, we can ft a model containing all p predictors using a technique that constrains or regularizes the coefcient estimates, or equivalently, that shrinks the coefcient estimates towards zero. It may not be immediately obvious why such a constraint should improve the ft, but it turns out that shrinking the coefcient estimates can signifcantly reduce their variance. The two best-known techniques for shrinking the regression coefcients towards zero are ridge regression and the lasso.
6.2.1 Ridge Regression
Recall from Chapter 3 that the least squares ftting procedure estimates β0, β1,…, βp using the values that minimize
RSS = \[ \sum_{i=1}^{n} \left( y_i - \beta_0 - \sum_{j=1}^{p} \beta_j x_{ij} \right)^2 \] .
Ridge regression is very similar to least squares, except that the coefcients ridge regression are estimated by minimizing a slightly diferent quantity. In particular, the ridge regression coefcient estimates βˆR are the values that minimize
\[ \sum_{i=1}^{n} \left( y_i - \beta_0 - \sum_{j=1}^{p} \beta_j x_{ij} \right)^2 + \lambda \sum_{j=1}^{p} \beta_j^2 = \text{RSS} + \lambda \sum_{j=1}^{p} \beta_j^2, \tag{6.5} \]
where λ ≥ 0 is a tuning parameter, to be determined separately. Equa- tuning parameter tion 6.5 trades of two diferent criteria. As with least squares, ridge regression seeks coefcient estimates that ft the data well, by making the RSS small. However, the second term, λ ) j β2 j , called a shrinkage penalty, is shrinkage penalty small when β1,…, βp are close to zero, and so it has the efect of shrinking the estimates of βj towards zero. The tuning parameter λ serves to control

FIGURE 6.4. The standardized ridge regression coefcients are displayed for the Credit data set, as a function of λ and $βˆR λ $2/$βˆ$2.
the relative impact of these two terms on the regression coefcient estimates. When λ = 0, the penalty term has no efect, and ridge regression will produce the least squares estimates. However, as λ → ∞, the impact of the shrinkage penalty grows, and the ridge regression coefcient estimates will approach zero. Unlike least squares, which generates only one set of coefcient estimates, ridge regression will produce a diferent set of coefcient estimates, βˆR λ , for each value of λ. Selecting a good value for λ is critical; we defer this discussion to Section 6.2.3, where we use cross-validation.
Note that in (6.5), the shrinkage penalty is applied to β1,…, βp, but not to the intercept β0. We want to shrink the estimated association of each variable with the response; however, we do not want to shrink the intercept, which is simply a measure of the mean value of the response when xi1 = xi2 = … = xip = 0. If we assume that the variables—that is, the columns of the data matrix X—have been centered to have mean zero before ridge regression is performed, then the estimated intercept will take the form βˆ0 = ¯y = )n i=1 yi/n.
An Application to the Credit Data
In Figure 6.4, the ridge regression coefcient estimates for the Credit data set are displayed. In the left-hand panel, each curve corresponds to the ridge regression coefcient estimate for one of the ten variables, plotted as a function of λ. For example, the black solid line represents the ridge regression estimate for the income coefcient, as λ is varied. At the extreme left-hand side of the plot, λ is essentially zero, and so the corresponding ridge coefcient estimates are the same as the usual least squares estimates. But as λ increases, the ridge coefcient estimates shrink towards zero. When λ is extremely large, then all of the ridge coefcient estimates are basically zero; this corresponds to the null model that contains no predictors. In this plot, the income, limit, rating, and student variables are displayed in distinct colors, since these variables tend to have by far the largest coefcient estimates. While the ridge coefcient estimates tend to decrease in aggregate as λ increases, individual coefcients, such as rating and income, may occasionally increase as λ increases.
The right-hand panel of Figure 6.4 displays the same ridge coefcient estimates as the left-hand panel, but instead of displaying λ on the x-axis, we now display -βˆR λ -2/-βˆ-2, where βˆ denotes the vector of least squares coefcient estimates. The notation -β-2 denotes the %2 norm (pronounced #2 norm “ell 2”) of a vector, and is defned as -β-2 = G)p j=1 βj 2. It measures the distance of β from zero. As λ increases, the %2 norm of βˆR λ will always decrease, and so will -βˆR λ -2/-βˆ-2. The latter quantity ranges from 1 (when λ = 0, in which case the ridge regression coefcient estimate is the same as the least squares estimate, and so their %2 norms are the same) to 0 (when λ = ∞, in which case the ridge regression coefcient estimate is a vector of zeros, with %2 norm equal to zero). Therefore, we can think of the x-axis in the right-hand panel of Figure 6.4 as the amount that the ridge regression coefcient estimates have been shrunken towards zero; a small value indicates that they have been shrunken very close to zero.
The standard least squares coefcient estimates discussed in Chapter 3 are scale equivariant: multiplying Xj by a constant c simply leads to a scale equivariant scaling of the least squares coefcient estimates by a factor of 1/c. In other words, regardless of how the jth predictor is scaled, Xjβˆj will remain the same. In contrast, the ridge regression coefcient estimates can change substantially when multiplying a given predictor by a constant. For instance, consider the income variable, which is measured in dollars. One could reasonably have measured income in thousands of dollars, which would result in a reduction in the observed values of income by a factor of 1,000. Now due to the sum of squared coefcients term in the ridge regression formulation (6.5), such a change in scale will not simply cause the ridge regression coefcient estimate for income to change by a factor of 1,000. In other words, XjβˆR j,λ will depend not only on the value of λ, but also on the scaling of the jth predictor. In fact, the value of XjβˆR j,λ may even depend on the scaling of the other predictors! Therefore, it is best to apply ridge regression after standardizing the predictors, using the formula
\[ \tilde{x}_{ij} = \frac{x_{ij}}{\sqrt{\frac{1}{n} \sum_{i=1}^{n} (x_{ij} - \overline{x}_j)^2}}, \] (6.6)
so that they are all on the same scale. In (6.6), the denominator is the estimated standard deviation of the jth predictor. Consequently, all of the standardized predictors will have a standard deviation of one. As a result the fnal ft will not depend on the scale on which the predictors are measured. In Figure 6.4, the y-axis displays the standardized ridge regression coefcient estimates—that is, the coefcient estimates that result from performing ridge regression using standardized predictors.
Why Does Ridge Regression Improve Over Least Squares?
Ridge regression’s advantage over least squares is rooted in the bias-variance trade-of. As λ increases, the fexibility of the ridge regression ft decreases, leading to decreased variance but increased bias. This is illustrated in the left-hand panel of Figure 6.5, using a simulated data set containing p = 45 predictors and n = 50 observations. The green curve in the left-hand panel

FIGURE 6.5. Squared bias (black), variance (green), and test mean squared error (purple) for the ridge regression predictions on a simulated data set, as a function of λ and $βˆR λ $2/$βˆ$2. The horizontal dashed lines indicate the minimum possible MSE. The purple crosses indicate the ridge regression models for which the MSE is smallest.
of Figure 6.5 displays the variance of the ridge regression predictions as a function of λ. At the least squares coefcient estimates, which correspond to ridge regression with λ = 0, the variance is high but there is no bias. But as λ increases, the shrinkage of the ridge coefcient estimates leads to a substantial reduction in the variance of the predictions, at the expense of a slight increase in bias. Recall that the test mean squared error (MSE), plotted in purple, is closely related to the variance plus the squared bias. For values of λ up to about 10, the variance decreases rapidly, with very little increase in bias, plotted in black. Consequently, the MSE drops considerably as λ increases from 0 to 10. Beyond this point, the decrease in variance due to increasing λ slows, and the shrinkage on the coefcients causes them to be signifcantly underestimated, resulting in a large increase in the bias. The minimum MSE is achieved at approximately λ = 30. Interestingly, because of its high variance, the MSE associated with the least squares ft, when λ = 0, is almost as high as that of the null model for which all coefcient estimates are zero, when λ = ∞. However, for an intermediate value of λ, the MSE is considerably lower.
The right-hand panel of Figure 6.5 displays the same curves as the lefthand panel, this time plotted against the %2 norm of the ridge regression coefcient estimates divided by the %2 norm of the least squares estimates. Now as we move from left to right, the fts become more fexible, and so the bias decreases and the variance increases.
In general, in situations where the relationship between the response and the predictors is close to linear, the least squares estimates will have low bias but may have high variance. This means that a small change in the training data can cause a large change in the least squares coefcient estimates. In particular, when the number of variables p is almost as large as the number of observations n, as in the example in Figure 6.5, the least squares estimates will be extremely variable. And if p>n, then the least squares estimates do not even have a unique solution, whereas ridge regression can still perform well by trading of a small increase in bias for a large decrease in variance. Hence, ridge regression works best in situations where the least squares estimates have high variance.
Ridge regression also has substantial computational advantages over best subset selection, which requires searching through 2p models. As we discussed previously, even for moderate values of p, such a search can be computationally infeasible. In contrast, for any fxed value of λ, ridge regression only fts a single model, and the model-ftting procedure can be performed quite quickly. In fact, one can show that the computations required to solve (6.5), simultaneously for all values of λ, are almost identical to those for ftting a model using least squares.
6.2.2 The Lasso
Ridge regression does have one obvious disadvantage. Unlike best subset, forward stepwise, and backward stepwise selection, which will generally select models that involve just a subset of the variables, ridge regression will include all p predictors in the fnal model. The penalty λ )β2 j in (6.5) will shrink all of the coefcients towards zero, but it will not set any of them exactly to zero (unless λ = ∞). This may not be a problem for prediction accuracy, but it can create a challenge in model interpretation in settings in which the number of variables p is quite large. For example, in the Credit data set, it appears that the most important variables are income, limit, rating, and student. So we might wish to build a model including just these predictors. However, ridge regression will always generate a model involving all ten predictors. Increasing the value of λ will tend to reduce the magnitudes of the coefcients, but will not result in exclusion of any of the variables.
The lasso is a relatively recent alternative to ridge regression that over- lasso comes this disadvantage. The lasso coefcients, βˆL λ , minimize the quantity
\[ \sum_{i=1}^{n} \left( y_i - \beta_0 - \sum_{j=1}^{p} \beta_j x_{ij} \right)^2 + \lambda \sum_{j=1}^{p} |\beta_j| = \text{RSS} + \lambda \sum_{j=1}^{p} |\beta_j|. \tag{6.7} \]
Comparing (6.7) to (6.5), we see that the lasso and ridge regression have similar formulations. The only diference is that the β2 j term in the ridge regression penalty (6.5) has been replaced by |βj | in the lasso penalty (6.7). In statistical parlance, the lasso uses an %1 (pronounced “ell 1”) penalty instead of an %2 penalty. The %1 norm of a coefcient vector β is given by -β-1 = )|βj |.
As with ridge regression, the lasso shrinks the coefcient estimates towards zero. However, in the case of the lasso, the %1 penalty has the efect of forcing some of the coefcient estimates to be exactly equal to zero when the tuning parameter λ is sufciently large. Hence, much like best subset selection, the lasso performs variable selection. As a result, models generated from the lasso are generally much easier to interpret than those produced by ridge regression. We say that the lasso yields sparse models—that is, sparse models that involve only a subset of the variables. As in ridge regression, selecting a good value of λ for the lasso is critical; we defer this discussion to Section 6.2.3, where we use cross-validation.

FIGURE 6.6. The standardized lasso coefcients on the Credit data set are shown as a function of λ and $βˆL λ $1/$βˆ$1.
As an example, consider the coefcient plots in Figure 6.6, which are generated from applying the lasso to the Credit data set. When λ = 0, then the lasso simply gives the least squares ft, and when λ becomes sufciently large, the lasso gives the null model in which all coefcient estimates equal zero. However, in between these two extremes, the ridge regression and lasso models are quite diferent from each other. Moving from left to right in the right-hand panel of Figure 6.6, we observe that at frst the lasso results in a model that contains only the rating predictor. Then student and limit enter the model almost simultaneously, shortly followed by income. Eventually, the remaining variables enter the model. Hence, depending on the value of λ, the lasso can produce a model involving any number of variables. In contrast, ridge regression will always include all of the variables in the model, although the magnitude of the coefcient estimates will depend on λ.
Another Formulation for Ridge Regression and the Lasso
One can show that the lasso and ridge regression coefcient estimates solve the problems
\[ \text{minimize}_{\beta} \left\{ \sum_{i=1}^{n} \left( y_i - \beta_0 - \sum_{j=1}^{p} \beta_j x_{ij} \right)^2 \right\} \quad \text{subject to} \quad \sum_{j=1}^{p} |\beta_j| \le s \tag{6.8} \]
and
\[ \underset{\beta}{\text{minimize}} \left\{ \sum_{i=1}^{n} \left( y_i - \beta_0 - \sum_{j=1}^{p} \beta_j x_{ij} \right)^2 \right\} \quad \text{subject to} \quad \sum_{j=1}^{p} \beta_j^2 \le s, \] \[ (6.9) \]
respectively. In other words, for every value of λ, there is some s such that the Equations (6.7) and (6.8) will give the same lasso coefcient estimates. Similarly, for every value of λ there is a corresponding s such that Equations (6.5) and (6.9) will give the same ridge regression coefcient estimates.
When p = 2, then (6.8) indicates that the lasso coefcient estimates have the smallest RSS out of all points that lie within the diamond defned by |β1| + |β2| ≤ s. Similarly, the ridge regression estimates have the smallest RSS out of all points that lie within the circle defned by β2 1 + β2 2 ≤ s.
We can think of (6.8) as follows. When we perform the lasso we are trying to fnd the set of coefcient estimates that lead to the smallest RSS, subject to the constraint that there is a budget s for how large )p j=1 |βj | can be. When s is extremely large, then this budget is not very restrictive, and so the coefcient estimates can be large. In fact, if s is large enough that the least squares solution falls within the budget, then (6.8) will simply yield the least squares solution. In contrast, if s is small, then )p j=1 |βj | must be small in order to avoid violating the budget. Similarly, (6.9) indicates that when we perform ridge regression, we seek a set of coefcient estimates such that the RSS is as small as possible, subject to the requirement that )p j=1 β2 j not exceed the budget s.
The formulations (6.8) and (6.9) reveal a close connection between the lasso, ridge regression, and best subset selection. Consider the problem
\[ \underset{\beta}{\text{minimize}} \left\{ \sum_{i=1}^{n} \left( y_i - \beta_0 - \sum_{j=1}^{p} \beta_j x_{ij} \right)^2 \right\} \quad \text{subject to} \quad \sum_{j=1}^{p} I(\beta_j \neq 0) \leq s. \tag{6.10} \]
Here I(βj %= 0) is an indicator variable: it takes on a value of 1 if βj %= 0, and equals zero otherwise. Then (6.10) amounts to fnding a set of coefcient estimates such that RSS is as small as possible, subject to the constraint that no more than s coefcients can be nonzero. The problem (6.10) is equivalent to best subset selection. Unfortunately, solving (6.10) is computationally infeasible when p is large, since it requires considering all ’p s ( models containing s predictors. Therefore, we can interpret ridge regression and the lasso as computationally feasible alternatives to best subset selection that replace the intractable form of the budget in (6.10) with forms that are much easier to solve. Of course, the lasso is much more closely related to best subset selection, since the lasso performs feature selection for s sufciently small in (6.8), while ridge regression does not.
The Variable Selection Property of the Lasso
Why is it that the lasso, unlike ridge regression, results in coefcient estimates that are exactly equal to zero? The formulations (6.8) and (6.9) can be used to shed light on the issue. Figure 6.7 illustrates the situation. The least squares solution is marked as βˆ, while the blue diamond and circle represent the lasso and ridge regression constraints in (6.8) and (6.9), respectively. If s is sufciently large, then the constraint regions will contain βˆ, and so the ridge regression and lasso estimates will be the same as the least squares estimates. (Such a large value of s corresponds to λ = 0 in (6.5) and (6.7).) However, in Figure 6.7 the least squares estimates lie outside of the diamond and the circle, and so the least squares estimates are not the same as the lasso and ridge regression estimates.
Each of the ellipses centered around βˆ represents a contour: this means contour that all of the points on a particular ellipse have the same RSS value. As

FIGURE 6.7. Contours of the error and constraint functions for the lasso (left) and ridge regression (right). The solid blue areas are the constraint regions, |β1|+|β2| ≤ s and β2 1 +β2 2 ≤ s, while the red ellipses are the contours of the RSS.
the ellipses expand away from the least squares coefcient estimates, the RSS increases. Equations (6.8) and (6.9) indicate that the lasso and ridge regression coefcient estimates are given by the frst point at which an ellipse contacts the constraint region. Since ridge regression has a circular constraint with no sharp points, this intersection will not generally occur on an axis, and so the ridge regression coefcient estimates will be exclusively non-zero. However, the lasso constraint has corners at each of the axes, and so the ellipse will often intersect the constraint region at an axis. When this occurs, one of the coefcients will equal zero. In higher dimensions, many of the coefcient estimates may equal zero simultaneously. In Figure 6.7, the intersection occurs at β1 = 0, and so the resulting model will only include β2.
In Figure 6.7, we considered the simple case of p = 2. When p = 3, then the constraint region for ridge regression becomes a sphere, and the constraint region for the lasso becomes a polyhedron. When p > 3, the constraint for ridge regression becomes a hypersphere, and the constraint for the lasso becomes a polytope. However, the key ideas depicted in Figure 6.7 still hold. In particular, the lasso leads to feature selection when p > 2 due to the sharp corners of the polyhedron or polytope.
Comparing the Lasso and Ridge Regression
It is clear that the lasso has a major advantage over ridge regression, in that it produces simpler and more interpretable models that involve only a subset of the predictors. However, which method leads to better prediction accuracy? Figure 6.8 displays the variance, squared bias, and test MSE of the lasso applied to the same simulated data as in Figure 6.5. Clearly the lasso leads to qualitatively similar behavior to ridge regression, in that as λ increases, the variance decreases and the bias increases. In the right-hand

FIGURE 6.8. Left: Plots of squared bias (black), variance (green), and test MSE (purple) for the lasso on a simulated data set. Right: Comparison of squared bias, variance, and test MSE between lasso (solid) and ridge (dotted). Both are plotted against their R2 on the training data, as a common form of indexing. The crosses in both plots indicate the lasso model for which the MSE is smallest.
panel of Figure 6.8, the dotted lines represent the ridge regression fts. Here we plot both against their R2 on the training data. This is another useful way to index models, and can be used to compare models with diferent types of regularization, as is the case here. In this example, the lasso and ridge regression result in almost identical biases. However, the variance of ridge regression is slightly lower than the variance of the lasso. Consequently, the minimum MSE of ridge regression is slightly smaller than that of the lasso.
However, the data in Figure 6.8 were generated in such a way that all 45 predictors were related to the response—that is, none of the true coefcients β1,…, β45 equaled zero. The lasso implicitly assumes that a number of the coefcients truly equal zero. Consequently, it is not surprising that ridge regression outperforms the lasso in terms of prediction error in this setting. Figure 6.9 illustrates a similar situation, except that now the response is a function of only 2 out of 45 predictors. Now the lasso tends to outperform ridge regression in terms of bias, variance, and MSE.
These two examples illustrate that neither ridge regression nor the lasso will universally dominate the other. In general, one might expect the lasso to perform better in a setting where a relatively small number of predictors have substantial coefcients, and the remaining predictors have coefcients that are very small or that equal zero. Ridge regression will perform better when the response is a function of many predictors, all with coefcients of roughly equal size. However, the number of predictors that is related to the response is never known a priori for real data sets. A technique such as cross-validation can be used in order to determine which approach is better on a particular data set.
As with ridge regression, when the least squares estimates have excessively high variance, the lasso solution can yield a reduction in variance at the expense of a small increase in bias, and consequently can generate more accurate predictions. Unlike ridge regression, the lasso performs variable selection, and hence results in models that are easier to interpret.

FIGURE 6.9. Left: Plots of squared bias (black), variance (green), and test MSE (purple) for the lasso. The simulated data is similar to that in Figure 6.8, except that now only two predictors are related to the response. Right: Comparison of squared bias, variance, and test MSE between lasso (solid) and ridge (dotted). Both are plotted against their R2 on the training data, as a common form of indexing. The crosses in both plots indicate the lasso model for which the MSE is smallest.
There are very efcient algorithms for ftting both ridge and lasso models; in both cases the entire coefcient paths can be computed with about the same amount of work as a single least squares ft. We will explore this further in the lab at the end of this chapter.
A Simple Special Case for Ridge Regression and the Lasso
In order to obtain a better intuition about the behavior of ridge regression and the lasso, consider a simple special case with n = p, and X a diagonal matrix with 1’s on the diagonal and 0’s in all of-diagonal elements. To simplify the problem further, assume also that we are performing regression without an intercept. With these assumptions, the usual least squares problem simplifes to fnding β1,…, βp that minimize
\[ \sum_{j=1}^{p} (y_j - \beta_j)^2. \] (6.11)
In this case, the least squares solution is given by
\[ \hat{\beta}_j = y_j. \]
And in this setting, ridge regression amounts to fnding β1,…, βp such that
\[ \sum_{j=1}^{p} (y_j - \beta_j)^2 + \lambda \sum_{j=1}^{p} \beta_j^2 \] (6.12)
is minimized, and the lasso amounts to fnding the coefcients such that
\[ \sum_{j=1}^{p} (y_j - \beta_j)^2 + \lambda \sum_{j=1}^{p} |\beta_j| \] (6.13)

FIGURE 6.10. The ridge regression and lasso coefcient estimates for a simple setting with n = p and X a diagonal matrix with 1’s on the diagonal. Left: The ridge regression coefcient estimates are shrunken proportionally towards zero, relative to the least squares estimates. Right: The lasso coefcient estimates are soft-thresholded towards zero.
is minimized. One can show that in this setting, the ridge regression estimates take the form
\[ \hat{\beta}_j^R = y_j/(1+\lambda),\tag{6.14} \]
and the lasso estimates take the form
\[ \hat{\beta}_j^L = \begin{cases}\ny_j - \lambda/2 & \text{if } y_j > \lambda/2; \\ y_j + \lambda/2 & \text{if } y_j < -\lambda/2; \\ 0 & \text{if } |y_j| \le \lambda/2.\n\end{cases} \] (6.15)
Figure 6.10 displays the situation. We can see that ridge regression and the lasso perform two very diferent types of shrinkage. In ridge regression, each least squares coefcient estimate is shrunken by the same proportion. In contrast, the lasso shrinks each least squares coefcient towards zero by a constant amount, λ/2; the least squares coefcients that are less than λ/2 in absolute value are shrunken entirely to zero. The type of shrinkage performed by the lasso in this simple setting (6.15) is known as softthresholding. The fact that some lasso coefcients are shrunken entirely to softthresholding zero explains why the lasso performs feature selection.
In the case of a more general data matrix X, the story is a little more complicated than what is depicted in Figure 6.10, but the main ideas still hold approximately: ridge regression more or less shrinks every dimension of the data by the same proportion, whereas the lasso more or less shrinks all coefcients toward zero by a similar amount, and sufciently small coefcients are shrunken all the way to zero.
Bayesian Interpretation of Ridge Regression and the Lasso

We now show that one can view ridge regression and the lasso through a Bayesian lens. A Bayesian viewpoint for regression assumes that the coefcient vector β has some prior distribution, say p(β), where β = (β0, β1,…, βp)T . The likelihood of the data can be written as f(Y |X, β),

FIGURE 6.11. Left: Ridge regression is the posterior mode for β under a Gaussian prior. Right: The lasso is the posterior mode for β under a double-exponential prior.
where X = (X1,…,Xp). Multiplying the prior distribution by the likelihood gives us (up to a proportionality constant) the posterior distribution, posterior which takes the form distribution
\[ p(\beta|X,Y) \propto f(Y|X,\beta)p(\beta|X) = f(Y|X,\beta)p(\beta), \]
where the proportionality above follows from Bayes’ theorem, and the equality above follows from the assumption that X is fxed.
We assume the usual linear model,
\[ Y = \beta_0 + X_1 \beta_1 + \dots + X_p \beta_p + \epsilon, \]
and suppose that the errors are independent and drawn from a normal distribution. Furthermore, assume that p(β) = Fp j=1 g(βj ), for some density function g. It turns out that ridge regression and the lasso follow naturally from two special cases of g:
• If g is a Gaussian distribution with mean zero and standard deviation a function of λ, then it follows that the posterior mode for β—that posterior mode is, the most likely value for β, given the data—is given by the ridge regression solution. (In fact, the ridge regression solution is also the posterior mean.)
• If g is a double-exponential (Laplace) distribution with mean zero and scale parameter a function of λ, then it follows that the posterior mode for β is the lasso solution. (However, the lasso solution is not the posterior mean, and in fact, the posterior mean does not yield a sparse coefcient vector.)
The Gaussian and double-exponential priors are displayed in Figure 6.11. Therefore, from a Bayesian viewpoint, ridge regression and the lasso follow directly from assuming the usual linear model with normal errors, together with a simple prior distribution for β. Notice that the lasso prior is steeply peaked at zero, while the Gaussian is fatter and fatter at zero. Hence, the lasso expects a priori that many of the coefcients are (exactly) zero, while ridge assumes the coefcients are randomly distributed about zero.

FIGURE 6.12. Left: Cross-validation errors that result from applying ridge regression to the Credit data set with various values of λ. Right: The coefcient estimates as a function of λ. The vertical dashed lines indicate the value of λ selected by cross-validation.
6.2.3 Selecting the Tuning Parameter
Just as the subset selection approaches considered in Section 6.1 require a method to determine which of the models under consideration is best, implementing ridge regression and the lasso requires a method for selecting a value for the tuning parameter λ in (6.5) and (6.7), or equivalently, the value of the constraint s in (6.9) and (6.8). Cross-validation provides a simple way to tackle this problem. We choose a grid of λ values, and compute the cross-validation error for each value of λ, as described in Chapter 5. We then select the tuning parameter value for which the cross-validation error is smallest. Finally, the model is re-ft using all of the available observations and the selected value of the tuning parameter.
Figure 6.12 displays the choice of λ that results from performing leaveone-out cross-validation on the ridge regression fts from the Credit data set. The dashed vertical lines indicate the selected value of λ. In this case the value is relatively small, indicating that the optimal ft only involves a small amount of shrinkage relative to the least squares solution. In addition, the dip is not very pronounced, so there is rather a wide range of values that would give a very similar error. In a case like this we might simply use the least squares solution.
Figure 6.13 provides an illustration of ten-fold cross-validation applied to the lasso fts on the sparse simulated data from Figure 6.9. The left-hand panel of Figure 6.13 displays the cross-validation error, while the right-hand panel displays the coefcient estimates. The vertical dashed lines indicate the point at which the cross-validation error is smallest. The two colored lines in the right-hand panel of Figure 6.13 represent the two predictors that are related to the response, while the grey lines represent the unrelated predictors; these are often referred to as signal and noise variables, signal respectively. Not only has the lasso correctly given much larger coefcient estimates to the two signal predictors, but also the minimum crossvalidation error corresponds to a set of coefcient estimates for which only the signal variables are non-zero. Hence cross-validation together with the lasso has correctly identifed the two signal variables in the model, even though this is a challenging setting, with p = 45 variables and only n = 50

FIGURE 6.13. Left: Ten-fold cross-validation MSE for the lasso, applied to the sparse simulated data set from Figure 6.9. Right: The corresponding lasso coefcient estimates are displayed. The two signal variables are shown in color, and the noise variables are in gray. The vertical dashed lines indicate the lasso ft for which the cross-validation error is smallest.
observations. In contrast, the least squares solution—displayed on the far right of the right-hand panel of Figure 6.13—assigns a large coefcient estimate to only one of the two signal variables.
6.3 Dimension Reduction Methods
The methods that we have discussed so far in this chapter have controlled variance in two diferent ways, either by using a subset of the original variables, or by shrinking their coefcients toward zero. All of these methods are defned using the original predictors, X1, X2,…,Xp. We now explore a class of approaches that transform the predictors and then ft a least squares model using the transformed variables. We will refer to these techniques as dimension reduction methods. dimension
reduction Let Z1, Z2,…,ZM represent M<p linear combinations of our original p predictors. That is,
linear combination
\[ Z_m = \sum_{j=1}^{p} \phi_{jm} X_j \] (6.16)
for some constants φ1m, φ2m …, φpm, m = 1,…,M. We can then ft the linear regression model
\[ y_i = \theta_0 + \sum_{m=1}^{M} \theta_m z_{im} + \epsilon_i, \quad i = 1, ..., n, \] (6.17)
using least squares. Note that in (6.17), the regression coefcients are given by θ0, θ1,…, θM. If the constants φ1m, φ2m,…, φpm are chosen wisely, then such dimension reduction approaches can often outperform least squares regression. In other words, ftting (6.17) using least squares can lead to better results than ftting (6.1) using least squares.
The term dimension reduction comes from the fact that this approach reduces the problem of estimating the p+ 1 coefcients β0, β1,…, βp to the

FIGURE 6.14. The population size (pop) and ad spending (ad) for 100 diferent cities are shown as purple circles. The green solid line indicates the frst principal component, and the blue dashed line indicates the second principal component.
simpler problem of estimating the M + 1 coefcients θ0, θ1,…, θM, where M<p. In other words, the dimension of the problem has been reduced from p + 1 to M + 1.
Notice that from (6.16),
\[ \sum_{m=1}^{M} \theta_m z_{im} = \sum_{m=1}^{M} \theta_m \sum_{j=1}^{p} \phi_{jm} x_{ij} = \sum_{j=1}^{p} \sum_{m=1}^{M} \theta_m \phi_{jm} x_{ij} = \sum_{j=1}^{p} \beta_j x_{ij}, \]
where
\[ \beta_j = \sum_{m=1}^{M} \theta_m \phi_{jm}. \] (6.18)
Hence (6.17) can be thought of as a special case of the original linear regression model given by (6.1). Dimension reduction serves to constrain the estimated βj coefcients, since now they must take the form (6.18). This constraint on the form of the coefcients has the potential to bias the coefcient estimates. However, in situations where p is large relative to n, selecting a value of M 0 p can signifcantly reduce the variance of the ftted coefcients. If M = p, and all the Zm are linearly independent, then (6.18) poses no constraints. In this case, no dimension reduction occurs, and so ftting (6.17) is equivalent to performing least squares on the original p predictors.
All dimension reduction methods work in two steps. First, the transformed predictors Z1, Z2,…,ZM are obtained. Second, the model is ft using these M predictors. However, the choice of Z1, Z2,…,ZM, or equivalently, the selection of the φjm’s, can be achieved in diferent ways. In this chapter, we will consider two approaches for this task: principal components and partial least squares.
6.3.1 Principal Components Regression
Principal components analysis (PCA) is a popular approach for deriving principal
a low-dimensional set of features from a large set of variables. PCA is discussed in greater detail as a tool for unsupervised learning in Chapter 12. Here we describe its use as a dimension reduction technique for regression.
An Overview of Principal Components Analysis
PCA is a technique for reducing the dimension of an n × p data matrix X. The frst principal component direction of the data is that along which the observations vary the most. For instance, consider Figure 6.14, which shows population size (pop) in tens of thousands of people, and ad spending for a particular company (ad) in thousands of dollars, for 100 cities.6 The green solid line represents the frst principal component direction of the data. We can see by eye that this is the direction along which there is the greatest variability in the data. That is, if we projected the 100 observations onto this line (as shown in the left-hand panel of Figure 6.15), then the resulting projected observations would have the largest possible variance; projecting the observations onto any other line would yield projected observations with lower variance. Projecting a point onto a line simply involves fnding the location on the line which is closest to the point.
The frst principal component is displayed graphically in Figure 6.14, but how can it be summarized mathematically? It is given by the formula
\[ Z_1 = 0.839 \times (\text{pop} - \overline{\text{pop}}) + 0.544 \times (\text{ad} - \overline{\text{ad}}). \tag{6.19} \]
Here φ11 = 0.839 and φ21 = 0.544 are the principal component loadings, which defne the direction referred to above. In (6.19), pop indicates the mean of all pop values in this data set, and ad indicates the mean of all advertising spending. The idea is that out of every possible linear combination of pop and ad such that φ2 11 + φ2 21 = 1, this particular linear combination yields the highest variance: i.e. this is the linear combination for which Var(φ11 × (pop − pop) + φ21 × (ad − ad)) is maximized. It is necessary to consider only linear combinations of the form φ2 11+φ2 21 = 1, since otherwise we could increase φ11 and φ21 arbitrarily in order to blow up the variance. In (6.19), the two loadings are both positive and have similar size, and so Z1 is almost an average of the two variables.
Since n = 100, pop and ad are vectors of length 100, and so is Z1 in (6.19). For instance,
\[ z_{i1} = 0.839 \times (\text{pop}_i - \overline{\text{pop}}) + 0.544 \times (\text{ad}_i - \overline{\text{ad}}). \tag{6.20} \]
The values of z11,…,zn1 are known as the principal component scores, and can be seen in the right-hand panel of Figure 6.15.
There is also another interpretation of PCA: the frst principal component vector defnes the line that is as close as possible to the data. For instance, in Figure 6.14, the frst principal component line minimizes the sum of the squared perpendicular distances between each point and the line. These distances are plotted as dashed line segments in the left-hand
6This dataset is distinct from the Advertising data discussed in Chapter 3.

FIGURE 6.15. A subset of the advertising data. The mean pop and ad budgets are indicated with a blue circle. Left: The frst principal component direction is shown in green. It is the dimension along which the data vary the most, and it also defnes the line that is closest to all n of the observations. The distances from each observation to the principal component are represented using the black dashed line segments. The blue dot represents (pop, ad). Right: The left-hand panel has been rotated so that the frst principal component direction coincides with the x-axis.
panel of Figure 6.15, in which the crosses represent the projection of each point onto the frst principal component line. The frst principal component has been chosen so that the projected observations are as close as possible to the original observations.
In the right-hand panel of Figure 6.15, the left-hand panel has been rotated so that the frst principal component direction coincides with the x-axis. It is possible to show that the frst principal component score for the ith observation, given in (6.20), is the distance in the x-direction of the ith cross from zero. So for example, the point in the bottom-left corner of the left-hand panel of Figure 6.15 has a large negative principal component score, zi1 = −26.1, while the point in the top-right corner has a large positive score, zi1 = 18.7. These scores can be computed directly using (6.20).
We can think of the values of the principal component Z1 as singlenumber summaries of the joint pop and ad budgets for each location. In this example, if zi1 = 0.839 × (popi − pop)+0.544 × (adi − ad) < 0, then this indicates a city with below-average population size and belowaverage ad spending. A positive score suggests the opposite. How well can a single number represent both pop and ad? In this case, Figure 6.14 indicates that pop and ad have approximately a linear relationship, and so we might expect that a single-number summary will work well. Figure 6.16 displays zi1 versus both pop and ad. 7 The plots show a strong relationship between the frst principal component and the two features. In other words, the frst principal component appears to capture most of the information contained in the pop and ad predictors.
So far we have concentrated on the frst principal component. In general, one can construct up to p distinct principal components. The second
7The principal components were calculated after frst standardizing both pop and ad, a common approach. Hence, the x-axes on Figures 6.15 and 6.16 are not on the same scale.

FIGURE 6.16. Plots of the frst principal component scores zi1 versus pop and ad. The relationships are strong.
principal component Z2 is a linear combination of the variables that is uncorrelated with Z1, and has largest variance subject to this constraint. The second principal component direction is illustrated as a dashed blue line in Figure 6.14. It turns out that the zero correlation condition of Z1 with Z2 is equivalent to the condition that the direction must be perpendicular, or perpenorthogonal, to the frst principal component direction. The second principal dicular component is given by the formula orthogonal
\[ Z_2 = 0.544 \times (\text{pop} - \overline{\text{pop}}) - 0.839 \times (\text{ad} - \overline{\text{ad}}). \]
Since the advertising data has two predictors, the frst two principal components contain all of the information that is in pop and ad. However, by construction, the frst component will contain the most information. Consider, for example, the much larger variability of zi1 (the x-axis) versus zi2 (the y-axis) in the right-hand panel of Figure 6.15. The fact that the second principal component scores are much closer to zero indicates that this component captures far less information. As another illustration, Figure 6.17 displays zi2 versus pop and ad. There is little relationship between the second principal component and these two predictors, again suggesting that in this case, one only needs the frst principal component in order to accurately represent the pop and ad budgets.
With two-dimensional data, such as in our advertising example, we can construct at most two principal components. However, if we had other predictors, such as population age, income level, education, and so forth, then additional components could be constructed. They would successively maximize variance, subject to the constraint of being uncorrelated with the preceding components.
The Principal Components Regression Approach
The principal components regression (PCR) approach involves construct- principal ing the frst M principal components, Z1,…,ZM, and then using these components as the predictors in a linear regression model that is ft using least squares. The key idea is that often a small number of principal components sufce to explain most of the variability in the data, as well as the relationship with the response. In other words, we assume that the
components regression

FIGURE 6.17. Plots of the second principal component scores zi2 versus pop and ad. The relationships are weak.

FIGURE 6.18. PCR was applied to two simulated data sets. In each panel, the horizontal dashed line represents the irreducible error. Left: Simulated data from Figure 6.8. Right: Simulated data from Figure 6.9.
directions in which X1,…,Xp show the most variation are the directions that are associated with Y . While this assumption is not guaranteed to be true, it often turns out to be a reasonable enough approximation to give good results.
If the assumption underlying PCR holds, then ftting a least squares model to Z1,…,ZM will lead to better results than ftting a least squares model to X1,…,Xp, since most or all of the information in the data that relates to the response is contained in Z1,…,ZM, and by estimating only M 0 p coefcients we can mitigate overftting. In the advertising data, the frst principal component explains most of the variance in both pop and ad, so a principal component regression that uses this single variable to predict some response of interest, such as sales, will likely perform quite well.
Figure 6.18 displays the PCR fts on the simulated data sets from Figures 6.8 and 6.9. Recall that both data sets were generated using n = 50 observations and p = 45 predictors. However, while the response in the frst data set was a function of all the predictors, the response in the second data set was generated using only two of the predictors. The curves are plotted as a function of M, the number of principal components used as predictors in the regression model. As more principal components are used

FIGURE 6.19. PCR, ridge regression, and the lasso were applied to a simulated data set in which the frst fve principal components of X contain all the information about the response Y . In each panel, the irreducible error Var(!) is shown as a horizontal dashed line. Left: Results for PCR. Right: Results for lasso (solid) and ridge regression (dotted). The x-axis displays the shrinkage factor of the coefcient estimates, defned as the &2 norm of the shrunken coefcient estimates divided by the &2 norm of the least squares estimate.
in the regression model, the bias decreases, but the variance increases. This results in a typical U-shape for the mean squared error. When M = p = 45, then PCR amounts simply to a least squares ft using all of the original predictors. The fgure indicates that performing PCR with an appropriate choice of M can result in a substantial improvement over least squares, especially in the left-hand panel. However, by examining the ridge regression and lasso results in Figures 6.5, 6.8, and 6.9, we see that PCR does not perform as well as the two shrinkage methods in this example.
The relatively worse performance of PCR in Figure 6.18 is a consequence of the fact that the data were generated in such a way that many principal components are required in order to adequately model the response. In contrast, PCR will tend to do well in cases when the frst few principal components are sufcient to capture most of the variation in the predictors as well as the relationship with the response. The left-hand panel of Figure 6.19 illustrates the results from another simulated data set designed to be more favorable to PCR. Here the response was generated in such a way that it depends exclusively on the frst fve principal components. Now the bias drops to zero rapidly as M, the number of principal components used in PCR, increases. The mean squared error displays a clear minimum at M = 5. The right-hand panel of Figure 6.19 displays the results on these data using ridge regression and the lasso. All three methods ofer a significant improvement over least squares. However, PCR and ridge regression slightly outperform the lasso.
We note that even though PCR provides a simple way to perform regression using M<p predictors, it is not a feature selection method. This is because each of the M principal components used in the regression is a linear combination of all p of the original features. For instance, in (6.19), Z1 was a linear combination of both pop and ad. Therefore, while PCR often performs quite well in many practical settings, it does not result in the

FIGURE 6.20. Left: PCR standardized coefcient estimates on the Credit data set for diferent values of M. Right: The ten-fold cross-validation MSE obtained using PCR, as a function of M.
development of a model that relies upon a small set of the original features. In this sense, PCR is more closely related to ridge regression than to the lasso. In fact, one can show that PCR and ridge regression are very closely related. One can even think of ridge regression as a continuous version of PCR
In PCR, the number of principal components, M, is typically chosen by cross-validation. The results of applying PCR to the Credit data set are shown in Figure 6.20; the right-hand panel displays the cross-validation errors obtained, as a function of M. On these data, the lowest cross-validation error occurs when there are M = 10 components; this corresponds to almost no dimension reduction at all, since PCR with M = 11 is equivalent to simply performing least squares.
When performing PCR, we generally recommend standardizing each predictor, using (6.6), prior to generating the principal components. This standardization ensures that all variables are on the same scale. In the absence of standardization, the high-variance variables will tend to play a larger role in the principal components obtained, and the scale on which the variables are measured will ultimately have an efect on the fnal PCR model. However, if the variables are all measured in the same units (say, kilograms, or inches), then one might choose not to standardize them.
6.3.2 Partial Least Squares
The PCR approach that we just described involves identifying linear combinations, or directions, that best represent the predictors X1,…,Xp. These directions are identifed in an unsupervised way, since the response Y is not used to help determine the principal component directions. That is, the response does not supervise the identifcation of the principal components. Consequently, PCR sufers from a drawback: there is no guarantee
8More details can be found in Section 3.5 of The Elements of Statistical Learning by Hastie, Tibshirani, and Friedman.

FIGURE 6.21. For the advertising data, the frst PLS direction (solid line) and frst PCR direction (dotted line) are shown.
that the directions that best explain the predictors will also be the best directions to use for predicting the response. Unsupervised methods are discussed further in Chapter 12.
We now present partial least squares (PLS), a supervised alternative to partial least squares PCR. Like PCR, PLS is a dimension reduction method, which frst identifes a new set of features Z1,…,ZM that are linear combinations of the original features, and then fts a linear model via least squares using these M new features. But unlike PCR, PLS identifes these new features in a supervised way—that is, it makes use of the response Y in order to identify new features that not only approximate the old features well, but also that are related to the response. Roughly speaking, the PLS approach attempts to fnd directions that help explain both the response and the predictors.
We now describe how the frst PLS direction is computed. After standardizing the p predictors, PLS computes the frst direction Z1 by setting each φj1 in (6.16) equal to the coefcient from the simple linear regression of Y onto Xj . One can show that this coefcient is proportional to the correlation between Y and Xj . Hence, in computing Z1 = )p j=1 φj1Xj , PLS places the highest weight on the variables that are most strongly related to the response.
Figure 6.21 displays an example of PLS on a synthetic dataset with Sales in each of 100 regions as the response, and two predictors; Population Size and Advertising Spending. The solid green line indicates the frst PLS direction, while the dotted line shows the frst principal component direction. PLS has chosen a direction that has less change in the ad dimension per unit change in the pop dimension, relative to PCA. This suggests that pop is more highly correlated with the response than is ad. The PLS direction does not ft the predictors as closely as does PCA, but it does a better job explaining the response.
To identify the second PLS direction we frst adjust each of the variables for Z1, by regressing each variable on Z1 and taking residuals. These residuals can be interpreted as the remaining information that has not been explained by the frst PLS direction. We then compute Z2 using this or-
thogonalized data in exactly the same fashion as Z1 was computed based on the original data. This iterative approach can be repeated M times to identify multiple PLS components Z1,…,ZM. Finally, at the end of this procedure, we use least squares to ft a linear model to predict Y using Z1,…,ZM in exactly the same fashion as for PCR.
As with PCR, the number M of partial least squares directions used in PLS is a tuning parameter that is typically chosen by cross-validation. We generally standardize the predictors and response before performing PLS.
PLS is popular in the feld of chemometrics, where many variables arise from digitized spectrometry signals. In practice it often performs no better than ridge regression or PCR. While the supervised dimension reduction of PLS can reduce bias, it also has the potential to increase variance, so that the overall beneft of PLS relative to PCR is a wash.
6.4 Considerations in High Dimensions
6.4.1 High-Dimensional Data
Most traditional statistical techniques for regression and classifcation are intended for the low-dimensional setting in which n, the number of ob- lowdimensional servations, is much greater than p, the number of features. This is due in part to the fact that throughout most of the feld’s history, the bulk of scientifc problems requiring the use of statistics have been low-dimensional. For instance, consider the task of developing a model to predict a patient’s blood pressure on the basis of his or her age, sex, and body mass index (BMI). There are three predictors, or four if an intercept is included in the model, and perhaps several thousand patients for whom blood pressure and age, sex, and BMI are available. Hence n + p, and so the problem is low-dimensional. (By dimension here we are referring to the size of p.)
In the past 20 years, new technologies have changed the way that data are collected in felds as diverse as fnance, marketing, and medicine. It is now commonplace to collect an almost unlimited number of feature measurements (p very large). While p can be extremely large, the number of observations n is often limited due to cost, sample availability, or other considerations. Two examples are as follows:
- Rather than predicting blood pressure on the basis of just age, sex, and BMI, one might also collect measurements for half a million single nucleotide polymorphisms (SNPs; these are individual DNA mutations that are relatively common in the population) for inclusion in the predictive model. Then n ≈ 200 and p ≈ 500,000.
- A marketing analyst interested in understanding people’s online shopping patterns could treat as features all of the search terms entered by users of a search engine. This is sometimes known as the “bag-ofwords” model. The same researcher might have access to the search histories of only a few hundred or a few thousand search engine users who have consented to share their information with the researcher. For a given user, each of the p search terms is scored present (0) or
absent (1), creating a large binary feature vector. Then n ≈ 1,000 and p is much larger.
Data sets containing more features than observations are often referred to as high-dimensional. Classical approaches such as least squares linear highdimensional regression are not appropriate in this setting. Many of the issues that arise in the analysis of high-dimensional data were discussed earlier in this book, since they apply also when n>p: these include the role of the bias-variance trade-of and the danger of overftting. Though these issues are always relevant, they can become particularly important when the number of features is very large relative to the number of observations.
We have defned the high-dimensional setting as the case where the number of features p is larger than the number of observations n. But the considerations that we will now discuss certainly also apply if p is slightly smaller than n, and are best always kept in mind when performing supervised learning.
6.4.2 What Goes Wrong in High Dimensions?
In order to illustrate the need for extra care and specialized techniques for regression and classifcation when p>n, we begin by examining what can go wrong if we apply a statistical technique not intended for the highdimensional setting. For this purpose, we examine least squares regression. But the same concepts apply to logistic regression, linear discriminant analysis, and other classical statistical approaches.
When the number of features p is as large as, or larger than, the number of observations n, least squares as described in Chapter 3 cannot (or rather, should not) be performed. The reason is simple: regardless of whether or not there truly is a relationship between the features and the response, least squares will yield a set of coefcient estimates that result in a perfect ft to the data, such that the residuals are zero.
An example is shown in Figure 6.22 with p = 1 feature (plus an intercept) in two cases: when there are 20 observations, and when there are only two observations. When there are 20 observations, n>p and the least squares regression line does not perfectly ft the data; instead, the regression line seeks to approximate the 20 observations as well as possible. On the other hand, when there are only two observations, then regardless of the values of those observations, the regression line will ft the data exactly. This is problematic because this perfect ft will almost certainly lead to overftting of the data. In other words, though it is possible to perfectly ft the training data in the high-dimensional setting, the resulting linear model will perform extremely poorly on an independent test set, and therefore does not constitute a useful model. In fact, we can see that this happened in Figure 6.22: the least squares line obtained in the right-hand panel will perform very poorly on a test set comprised of the observations in the lefthand panel. The problem is simple: when p>n or p ≈ n, a simple least squares regression line is too fexible and hence overfts the data.
Figure 6.23 further illustrates the risk of carelessly applying least squares when the number of features p is large. Data were simulated with n = 20 observations, and regression was performed with between 1 and 20 features,

FIGURE 6.22. Left: Least squares regression in the low-dimensional setting. Right: Least squares regression with n = 2 observations and two parameters to be estimated (an intercept and a coefcient).

FIGURE 6.23. On a simulated example with n = 20 training observations, features that are completely unrelated to the outcome are added to the model. Left: The R2 increases to 1 as more features are included. Center: The training set MSE decreases to 0 as more features are included. Right: The test set MSE increases as more features are included.
each of which was completely unrelated to the response. As shown in the fgure, the model R2 increases to 1 as the number of features included in the model increases, and correspondingly the training set MSE decreases to 0 as the number of features increases, even though the features are completely unrelated to the response. On the other hand, the MSE on an independent test set becomes extremely large as the number of features included in the model increases, because including the additional predictors leads to a vast increase in the variance of the coefcient estimates. Looking at the test set MSE, it is clear that the best model contains at most a few variables. However, someone who carelessly examines only the R2 or the training set MSE might erroneously conclude that the model with the greatest number of variables is best. This indicates the importance of applying extra care when analyzing data sets with a large number of variables, and of always evaluating model performance on an independent test set.

FIGURE 6.24. The lasso was performed with n = 100 observations and three values of p, the number of features. Of the p features, 20 were associated with the response. The boxplots show the test MSEs that result using three diferent values of the tuning parameter λ in (6.7). For ease of interpretation, rather than reporting λ, the degrees of freedom are reported; for the lasso this turns out to be simply the number of estimated non-zero coefcients. When p = 20, the lowest test MSE was obtained with the smallest amount of regularization. When p = 50, the lowest test MSE was achieved when there is a substantial amount of regularization. When p = 2,000 the lasso performed poorly regardless of the amount of regularization, due to the fact that only 20 of the 2,000 features truly are associated with the outcome.
In Section 6.1.3, we saw a number of approaches for adjusting the training set RSS or R2 in order to account for the number of variables used to ft a least squares model. Unfortunately, the Cp, AIC, and BIC approaches are not appropriate in the high-dimensional setting, because estimating σˆ2 is problematic. (For instance, the formula for σˆ2 from Chapter 3 yields an estimate σˆ2 = 0 in this setting.) Similarly, problems arise in the application of adjusted R2 in the high-dimensional setting, since one can easily obtain a model with an adjusted R2 value of 1. Clearly, alternative approaches that are better-suited to the high-dimensional setting are required.
6.4.3 Regression in High Dimensions
It turns out that many of the methods seen in this chapter for ftting less fexible least squares models, such as forward stepwise selection, ridge regression, the lasso, and principal components regression, are particularly useful for performing regression in the high-dimensional setting. Essentially, these approaches avoid overftting by using a less fexible ftting approach than least squares.
Figure 6.24 illustrates the performance of the lasso in a simple simulated example. There are p = 20, 50, or 2,000 features, of which 20 are truly associated with the outcome. The lasso was performed on n = 100 training observations, and the mean squared error was evaluated on an independent test set. As the number of features increases, the test set error increases. When p = 20, the lowest validation set error was achieved when λ in (6.7) was small; however, when p was larger then the lowest validation set error was achieved using a larger value of λ. In each boxplot, rather than reporting the values of λ used, the degrees of freedom of the resulting lasso solution is displayed; this is simply the number of non-zero coefcient estimates in the lasso solution, and is a measure of the fexibility of the lasso ft. Figure 6.24 highlights three important points: (1) regularization or shrinkage plays a key role in high-dimensional problems, (2) appropriate tuning parameter selection is crucial for good predictive performance, and (3) the test error tends to increase as the dimensionality of the problem (i.e. the number of features or predictors) increases, unless the additional features are truly associated with the response.
The third point above is in fact a key principle in the analysis of highdimensional data, which is known as the curse of dimensionality. One might curse of dimensionality think that as the number of features used to ft a model increases, the quality of the ftted model will increase as well. However, comparing the left-hand and right-hand panels in Figure 6.24, we see that this is not necessarily the case: in this example, the test set MSE almost doubles as p increases from 20 to 2,000. In general, adding additional signal features that are truly associated with the response will improve the ftted model, in the sense of leading to a reduction in test set error. However, adding noise features that are not truly associated with the response will lead to a deterioration in the ftted model, and consequently an increased test set error. This is because noise features increase the dimensionality of the problem, exacerbating the risk of overftting (since noise features may be assigned nonzero coefcients due to chance associations with the response on the training set) without any potential upside in terms of improved test set error. Thus, we see that new technologies that allow for the collection of measurements for thousands or millions of features are a double-edged sword: they can lead to improved predictive models if these features are in fact relevant to the problem at hand, but will lead to worse results if the features are not relevant. Even if they are relevant, the variance incurred in ftting their coefcients may outweigh the reduction in bias that they bring.
6.4.4 Interpreting Results in High Dimensions
When we perform the lasso, ridge regression, or other regression procedures in the high-dimensional setting, we must be quite cautious in the way that we report the results obtained. In Chapter 3, we learned about multicollinearity, the concept that the variables in a regression might be correlated with each other. In the high-dimensional setting, the multicollinearity problem is extreme: any variable in the model can be written as a linear combination of all of the other variables in the model. Essentially, this means that we can never know exactly which variables (if any) truly are predictive of the outcome, and we can never identify the best coefcients for use in the regression. At most, we can hope to assign large regression coefcients to variables that are correlated with the variables that truly are predictive of the outcome.
For instance, suppose that we are trying to predict blood pressure on the basis of half a million SNPs, and that forward stepwise selection indicates that 17 of those SNPs lead to a good predictive model on the training data. It would be incorrect to conclude that these 17 SNPs predict blood pressure more efectively than the other SNPs not included in the model. There are likely to be many sets of 17 SNPs that would predict blood pressure just as well as the selected model. If we were to obtain an independent data set and perform forward stepwise selection on that data set, we would likely obtain a model containing a diferent, and perhaps even non-overlapping, set of SNPs. This does not detract from the value of the model obtained for instance, the model might turn out to be very efective in predicting blood pressure on an independent set of patients, and might be clinically useful for physicians. But we must be careful not to overstate the results obtained, and to make it clear that what we have identifed is simply one of many possible models for predicting blood pressure, and that it must be further validated on independent data sets.
It is also important to be particularly careful in reporting errors and measures of model ft in the high-dimensional setting. We have seen that when p>n, it is easy to obtain a useless model that has zero residuals. Therefore, one should never use sum of squared errors, p-values, R2 statistics, or other traditional measures of model ft on the training data as evidence of a good model ft in the high-dimensional setting. For instance, as we saw in Figure 6.23, one can easily obtain a model with R2 = 1 when p>n. Reporting this fact might mislead others into thinking that a statistically valid and useful model has been obtained, whereas in fact this provides absolutely no evidence of a compelling model. It is important to instead report results on an independent test set, or cross-validation errors. For instance, the MSE or R2 on an independent test set is a valid measure of model ft, but the MSE on the training set certainly is not.
6.5 Lab: Linear Models and Regularization Methods
In this lab we implement many of the techniques discussed in this chapter. We import some of our libraries at this top level.
In [1]: import numpy as np
import pandas as pd
from matplotlib.pyplot import subplots
from statsmodels.api import OLS
import sklearn.model_selection as skm
import sklearn.linear_model as skl
from sklearn.preprocessing import StandardScaler
from ISLP import load_data
from ISLP.models import ModelSpec as MS
from functools import partial
We again collect the new imports needed for this lab.
In [2]: from sklearn.pipeline import Pipeline from sklearn.decomposition import PCA 268 6. Linear Model Selection and Regularization
from sklearn.cross_decomposition import PLSRegression
from ISLP.models import \
(Stepwise,
sklearn_selected,
sklearn_selection_path)
!pip install l0bnb
from l0bnb import fit_path
We have installed the package l0bnb on the fy. Note the escaped !pip install — this is run as a separate system command.
6.5.1 Subset Selection Methods
Here we implement methods that reduce the number of parameters in a model by restricting the model to a subset of the input variables.
Forward Selection
We will apply the forward-selection approach to the Hitters data. We wish to predict a baseball player’s Salary on the basis of various statistics associated with performance in the previous year.
First of all, we note that the Salary variable is missing for some of the players. The np.isnan() function can be used to identify the missing ob- np.isnan() servations. It returns an array of the same shape as the input vector, with a True for any elements that are missing, and a False for non-missing elements. The sum() method can then be used to count all of the missing sum() elements.
In [3]: Hitters = load_data('Hitters')
np.isnan(Hitters['Salary']).sum()
Out[3]: 59
We see that Salary is missing for 59 players. The dropna() method of data frames removes all of the rows that have missing values in any variable (by default — see Hitters.dropna?).
In [4]: Hitters = Hitters.dropna();
Hitters.shape
Out[4]: (263, 20)
We frst choose the best model using forward selection based on Cp (6.2). This score is not built in as a metric to sklearn. We therefore defne a function to compute it ourselves, and use it as a scorer. By default, sklearn tries to maximize a score, hence our scoring function computes the negative Cp statistic.
In [5]: def nCp(sigma2, estimator, X, Y):
"Negative Cp statistic"
n, p = X.shape
Yhat = estimator.predict(X)
RSS = np.sum((Y - Yhat)**2)
return -(RSS + 2 * p * sigma2) / n
We need to estimate the residual variance σ2, which is the frst argument in our scoring function above. We will ft the biggest model, using all the variables, and estimate σ2 based on its MSE.
In [6]: design = MS(Hitters.columns.drop('Salary')).fit(Hitters)
Y = np.array(Hitters['Salary'])
X = design.transform(Hitters)
sigma2 = OLS(Y,X).fit().scale
The function sklearn_selected() expects a scorer with just three arguments — the last three in the defnition of nCp() above. We use the function partial() frst seen in Section 5.3.3 to freeze the frst argument with our estimate of σ2.
In [7]: neg_Cp = partial(nCp, sigma2)
We can now use neg_Cp() as a scorer for model selection.
Along with a score we need to specify the search strategy. This is done through the object Stepwise() in the ISLP.models package. The method Stepwise.first_peak() runs forward stepwise until any further additions to the model do not result in an improvement in the evaluation score. Similarly, the method Stepwise.fixed_steps() runs a fxed number of steps of stepwise search.
In [8]: strategy = Stepwise.first_peak(design,
direction='forward',
max_terms=len(design.terms))
We now ft a linear regression model with Salary as outcome using forward selection. To do so, we use the function sklearn_selected() from the sklearn_ selected() ISLP.models package. This takes a model from statsmodels along with a search strategy and selects a model with its fit method. Without specifying a scoring argument, the score defaults to MSE, and so all 19 variables will be selected (output not shown).
In [9]: hitters_MSE = sklearn_selected(OLS,
strategy)
hitters_MSE.fit(Hitters, Y)
hitters_MSE.selected_state_
Using neg_Cp results in a smaller model, as expected, with just 10 variables selected.
In [10]: hitters_Cp = sklearn_selected(OLS,
strategy,
scoring=neg_Cp)
hitters_Cp.fit(Hitters, Y)
hitters_Cp.selected_state_
Out[10]: ('Assists',
'AtBat',
'CAtBat',
'CRBI',
'CRuns',
'CWalks',
'Division',
270 6. Linear Model Selection and Regularization
'Hits',
'PutOuts',
'Walks')
Choosing Among Models Using the Validation Set Approach and Cross-Validation
As an alternative to using Cp, we might try cross-validation to select a model in forward selection. For this, we need a method that stores the full path of models found in forward selection, and allows predictions for each of these. This can be done with the sklearn_selection_path() estima- sklearn_ tor from ISLP.models. The function cross_val_predict() from ISLP.models computes the cross-validated predictions for each of the models along the path, which we can use to evaluate the cross-validated MSE along the path.
selection_ path() cross_val_ predict()
Here we defne a strategy that fts the full forward selection path. While there are various parameter choices for sklearn_selection_path(), we use the defaults here, which selects the model at each step based on the biggest reduction in RSS.
In [11]: strategy = Stepwise.fixed_steps(design,
len(design.terms),
direction='forward')
full_path = sklearn_selection_path(OLS, strategy)
We now ft the full forward-selection path on the Hitters data and compute the ftted values.
In [12]: full_path.fit(Hitters, Y)
Yhat_in = full_path.predict(Hitters)
Yhat_in.shape
Out[12]: (263, 20)
This gives us an array of ftted values — 20 steps in all, including the ftted mean for the null model — which we can use to evaluate in-sample MSE. As expected, the in-sample MSE improves each step we take, indicating we must use either the validation or cross-validation approach to select the number of steps. We fx the y-axis to range from 50,000 to 250,000 to compare to the cross-validation and validation set MSE below, as well as other methods such as ridge regression, lasso and principal components regression.
In [13]: mse_fig, ax = subplots(figsize=(8,8))
insample_mse = ((Yhat_in - Y[:,None])**2).mean(0)
n_steps = insample_mse.shape[0]
ax.plot(np.arange(n_steps),
insample_mse,
'k', # color black
label='In-sample')
ax.set_ylabel('MSE',
fontsize=20)
ax.set_xlabel('# steps of forward stepwise',
fontsize=20)
ax.set_xticks(np.arange(n_steps)[::2])
ax.legend()
ax.set_ylim([50000,250000]);
Notice the expression None in Y[:,None] above. This adds an axis (dimension) to the one-dimensional array Y, which allows it to be recycled when subtracted from the two-dimensional Yhat_in.
We are now ready to use cross-validation to estimate test error along the model path. We must use only the training observations to perform all aspects of model-ftting — including variable selection. Therefore, the determination of which model of a given size is best must be made using only the training observations in each training fold. This point is subtle but important. If the full data set is used to select the best subset at each step, then the validation set errors and cross-validation errors that we obtain will not be accurate estimates of the test error.
We now compute the cross-validated predicted values using 5-fold crossvalidation.
In [14]: K=5
kfold = skm.KFold(K,
random_state=0,
shuffle=True)
Yhat_cv = skm.cross_val_predict(full_path,
Hitters,
Y,
cv=kfold)
Yhat_cv.shape
Out[14]: (263, 20)
skm.KFold() skm.cross_ val_predict()
The prediction matrix Yhat_cv is the same shape as Yhat_in; the diference is that the predictions in each row, corresponding to a particular sample index, were made from models ft on a training fold that did not include that row.
At each model along the path, we compute the MSE in each of the crossvalidation folds. These we will average to get the mean MSE, and can also use the individual values to compute a crude estimate of the standard error of the mean.9 Hence we must know the test indices for each cross-validation split. This can be found by using the split() method of kfold. Because we fxed the random state above, whenever we split any array with the same number of rows as Y we recover the same training and test indices, though we simply ignore the training indices below.
In [15]: cv_mse = []
for train_idx, test_idx in kfold.split(Y):
errors = (Yhat_cv[test_idx] - Y[test_idx,None])**2
cv_mse.append(errors.mean(0)) # column means
cv_mse = np.array(cv_mse).T
cv_mse.shape
Out[15]: (20, 5)
9The estimate is crude because the fve error estimates are based on overlapping training sets, and hence are not independent.
We now add the cross-validation error estimates to our MSE plot. We include the mean error across the fve folds, and the estimate of the standard error of the mean.
In [16]: ax.errorbar(np.arange(n_steps),
cv_mse.mean(1),
cv_mse.std(1) / np.sqrt(K),
label='Cross-validated',
c='r') # color red
ax.set_ylim([50000,250000])
ax.legend()
mse_fig
To repeat the above using the validation set approach, we simply change our cv argument to a validation set: one random split of the data into a test and training. We choose a test size of 20%, similar to the size of each test set in 5-fold cross-validation. skm.Shuffle
Split() In [17]: validation = skm.ShuffleSplit(n_splits=1,
test_size=0.2,
random_state=0)
for train_idx, test_idx in validation.split(Y):
full_path.fit(Hitters.iloc[train_idx],
Y[train_idx])
Yhat_val = full_path.predict(Hitters.iloc[test_idx])
errors = (Yhat_val - Y[test_idx,None])**2
As for the in-sample MSE case, the validation set approach does not provide standard errors.
In [18]: ax.plot(np.arange(n_steps),
validation_mse,
'b--', # color blue, broken line
label='Validation')
ax.set_xticks(np.arange(n_steps)[::2])
ax.set_ylim([50000,250000])
ax.legend()
mse_fig
validation_mse = errors.mean(0)
Best Subset Selection
Forward stepwise is a greedy selection procedure; at each step it augments the current set by including one additional variable. We now apply best subset selection to the Hitters data, which for every subset size, searches for the best set of predictors.
We will use a package called l0bnb to perform best subset selection. Instead of constraining the subset to be a given size, this package produces a path of solutions using the subset size as a penalty rather than a constraint. Although the distinction is subtle, the diference comes when we crossvalidate.
In [19]: D = design.fit_transform(Hitters)
D = D.drop('intercept', axis=1)
X = np.asarray(D)
Here we excluded the frst column corresponding to the intercept, as l0bnb will ft the intercept separately. We can fnd a path using the fit_path() function.
In [20]: path = fit_path(X,
Y,
max_nonzeros=X.shape[1])
The function fit_path() returns a list whose values include the ftted coefcients as B, an intercept as B0, as well as a few other attributes related to the particular path algorithm used. Such details are beyond the scope of this book.
In [21]: path[3]
Out[21]: {'B': array([0. , 3.254844, 0. , 0. , 0. ,
0. , 0. , 0. , 0. , 0. ,
0. , 0.677753 , 0. , 0. , 0. ,
0. , 0. , 0. , 0. ]),
'B0': -38.98216739555494,
'lambda_0': 0.011416248027450194,
'M': 0.5829861733382011,
'Time_exceeded': False}
In the example above, we see that at the fourth step in the path, we have two nonzero coefcients in ‘B’, corresponding to the value 0.114 for the penalty parameter lambda_0. We could make predictions using this sequence of fts on a validation set as a function of lambda_0, or with more work using cross-validation.
6.5.2 Ridge Regression and the Lasso
We will use the sklearn.linear_model package (for which we use skl as shorthand below) to ft ridge and lasso regularized linear models on the Hitters data. We start with the model matrix X (without an intercept) that we computed in the previous section on best subset regression.
Ridge Regression
We will use the function skl.ElasticNet() to ft both ridge and the lasso. To skl.Elastic Net() ft a path of ridge regressions models, we use skl.ElasticNet.path(), which can ft both ridge and lasso, as well as a hybrid mixture; ridge regression corresponds to l1_ratio=0. It is good practice to standardize the columns of X in these applications, if the variables are measured in diferent units. Since skl.ElasticNet() does no normalization, we have to take care of that ourselves. Since we standardize frst, in order to fnd coefcient estimates on the original scale, we must unstandardize the coefcient estimates. The parameter λ in (6.5) and (6.7) is called alphas in sklearn. In order to be consistent with the rest of this chapter, we use lambdas rather than alphas in what follows. 10
skl.Elastic Net.path()
10At the time of publication, ridge fts like the one in code chunk [22] issue unwarranted convergence warning messages; we expect these to disappear as this package matures.
274 6. Linear Model Selection and Regularization
In [22]: Xs = X - X.mean(0)[None,:]
X_scale = X.std(0)
Xs = Xs / X_scale[None,:]
lambdas = 10**np.linspace(8, -2, 100) / Y.std()
soln_array = skl.ElasticNet.path(Xs,
Y,
l1_ratio=0.,
alphas=lambdas)[1]
soln_array.shape
Out[22]: (19, 100)
Here we extract the array of coefcients corresponding to the solutions along the regularization path. By default the skl.ElasticNet.path method fts a path along an automatically selected range of λ values, except for the case when l1_ratio=0, which results in ridge regression (as is the case here).11 So here we have chosen to implement the function over a grid of values ranging from λ = 108 to λ = 10−2 scaled by the standard deviation of y, essentially covering the full range of scenarios from the null model containing only the intercept, to the least squares ft.
Associated with each value of λ is a vector of ridge regression coefcients, that can be accessed by a column of soln_array. In this case, soln_array is a 19 × 100 matrix, with 19 rows (one for each predictor) and 100 columns (one for each value of λ).
We transpose this matrix and turn it into a data frame to facilitate viewing and plotting.
In [23]: soln_path = pd.DataFrame(soln_array.T,
columns=D.columns,
index=-np.log(lambdas))
soln_path.index.name = 'negative log(lambda)'
soln_path
Out[23]: AtBat Hits HmRun Runs ...
negative
log(lambda)
-12.310855 0.000800 0.000889 0.000695 0.000851 ...
-12.078271 0.001010 0.001122 0.000878 0.001074 ...
-11.845686 0.001274 0.001416 0.001107 0.001355 ...
-11.613102 0.001608 0.001787 0.001397 0.001710 ...
-11.380518 0.002029 0.002255 0.001763 0.002158 ...
... ... ... ... ... ...
100 rows × 19 columns
We plot the paths to get a sense of how the coefcients vary with λ. To control the location of the legend we frst set legend to False in the plot method, adding it afterward with the legend() method of ax.
In [24]: path_fig, ax = subplots(figsize=(8,8))
soln_path.plot(ax=ax, legend=False)
ax.set_xlabel('$-\log(\lambda)$', fontsize=20)
11The reason is rather technical; for all models except ridge, we can fnd the smallest value of λ for which all coefcients are zero. For ridge this value is ∞.
ax.set_ylabel('Standardized coefficients', fontsize=20)
ax.legend(loc='upper left');
(We have used latex formatting in the horizontal label, in order to format the Greek λ appropriately.) We expect the coefcient estimates to be much smaller, in terms of %2 norm, when a large value of λ is used, as compared to when a small value of λ is used. (Recall that the %2 norm is the square root of the sum of squared coefcient values.) We display the coefcients at the 40th step, where λ is 25.535.
In [25]: beta_hat = soln_path.loc[soln_path.index[39]]
lambdas[39], beta_hat
Out[25]: (25.535,
| AtBat | 5.433750 |
|---|---|
| Hits | 6.223582 |
| HmRun | 4.585498 |
| Runs | 5.880855 |
| RBI | 6.195921 |
| Walks | 6.277975 |
| Years | 5.299767 |
Let’s compute the %2 norm of the standardized coefcients.
In [26]: np.linalg.norm(beta\_hat)
Out[26]: 24.17
In contrast, here is the %2 norm when λ is 2.44e-01. Note the much larger %2 norm of the coefcients associated with this smaller value of λ.
In [27]: beta_hat = soln_path.loc[soln_path.index[59]]
lambdas[59], np.linalg.norm(beta_hat)
Out[27]: (0.2437, 160.4237)
Above we normalized X upfront, and ft the ridge model using Xs. The Pipeline() object in sklearn provides a clear way to separate feature normalization from the ftting of the ridge model itself.
In [28]: ridge = skl.ElasticNet(alpha=lambdas[59], l1_ratio=0)
scaler = StandardScaler(with_mean=True, with_std=True)
pipe = Pipeline(steps=[('scaler', scaler), ('ridge', ridge)])
pipe.fit(X, Y)
We show that it gives the same %2 norm as in our previous ft on the standardized data.
In [29]: np.linalg.norm(ridge.coef\_)
Out[29]: 160.4237
Notice that the operation pipe.fit(X, Y) above has changed the ridge object, and in particular has added attributes such as coef_ that were not there before.
276 6. Linear Model Selection and Regularization
Estimating Test Error of Ridge Regression
Choosing an a priori value of λ for ridge regression is difcult if not impossible. We will want to use the validation method or cross-validation to select the tuning parameter. The reader may not be surprised that the Pipeline() approach can be used in skm.cross_validate() with either a validation method (i.e. validation) or k-fold cross-validation.
We fx the random state of the splitter so that the results obtained will be reproducible.
In [30]: validation = skm.ShuffleSplit(n_splits=1,
test_size=0.5,
random_state=0)
ridge.alpha = 0.01
results = skm.cross_validate(ridge,
X,
Y,
scoring='neg_mean_squared_error',
cv=validation)
-results['test_score']
Out[30]: array([134214.0])
The test MSE is 1.342e+05. Note that if we had instead simply ft a model with just an intercept, we would have predicted each test observation using the mean of the training observations. We can get the same result by ftting a ridge regression model with a very large value of λ. Note that 1e10 means 1010.
In [31]: ridge.alpha = 1e10
results = skm.cross_validate(ridge,
X,
Y,
scoring='neg_mean_squared_error',
cv=validation)
-results['test_score']
Out[31]: array([231788.32])
Obviously choosing λ = 0.01 is arbitrary, so we will use cross-validation or the validation-set approach to choose the tuning parameter λ. The object GridSearchCV() allows exhaustive grid search to choose such a parameter. Grid We frst use the validation set method to choose SearchCV() λ.
In [32]: param_grid = {'ridge__alpha': lambdas}
grid = skm.GridSearchCV(pipe,
param_grid,
cv=validation,
scoring='neg_mean_squared_error')
grid.fit(X, Y)
grid.best_params_['ridge__alpha']
grid.best_estimator_
Out[32]: Pipeline(steps=[('scaler', StandardScaler()),
('ridge', ElasticNet(alpha=0.005899, l1_ratio=0))])
Alternatively, we can use 5-fold cross-validation.
In [33]: grid = skm.GridSearchCV(pipe,
param_grid,
cv=kfold,
scoring='neg_mean_squared_error')
grid.fit(X, Y)
grid.best_params_['ridge__alpha']
grid.best_estimator_
Recall we set up the kfold object for 5-fold cross-validation on page 271. We now plot the cross-validated MSE as a function of − log(λ), which has shrinkage decreasing from left to right.
In [34]: ridge_fig, ax = subplots(figsize=(8,8))
ax.errorbar(-np.log(lambdas),
-grid.cv_results_['mean_test_score'],
yerr=grid.cv_results_['std_test_score'] / np.sqrt(K))
ax.set_ylim([50000,250000])
ax.set_xlabel('$-\log(\lambda)$', fontsize=20)
ax.set_ylabel('Cross-validated MSE', fontsize=20);
One can cross-validate diferent metrics to choose a parameter. The default metric for skl.ElasticNet() is test R2. Let’s compare R2 to MSE for cross-validation here.
In [35]: grid_r2 = skm.GridSearchCV(pipe,
param_grid,
cv=kfold)
grid_r2.fit(X, Y)
Finally, let’s plot the results for cross-validated R2.
In [36]: r2_fig, ax = subplots(figsize=(8,8))
ax.errorbar(-np.log(lambdas),
grid_r2.cv_results_['mean_test_score'],
yerr=grid_r2.cv_results_['std_test_score'] / np.sqrt(K)
)
ax.set_xlabel('$-\log(\lambda)$', fontsize=20)
ax.set_ylabel('Cross-validated $R^2$', fontsize=20);
Fast Cross-Validation for Solution Paths
The ridge, lasso, and elastic net can be efciently ft along a sequence of λ values, creating what is known as a solution path or regularization path. Hence there is specialized code to ft such paths, and to choose a suitable value of λ using cross-validation. Even with identical splits the results will not agree exactly with our grid above because the standardization of each feature in grid is carried out on each fold, while in pipeCV below it is carried out only once. Nevertheless, the results are similar as the normalization is relatively stable across folds.
In [37]: ridgeCV = skl.ElasticNetCV(alphas=lambdas,
l1_ratio=0,
cv=kfold)
pipeCV = Pipeline(steps=[('scaler', scaler),
pipeCV.fit(X, Y)
Let’s produce a plot again of the cross-validation error to see that it is similar to using skm.GridSearchCV.
('ridge', ridgeCV)])
In [38]: tuned_ridge = pipeCV.named_steps['ridge']
ridgeCV_fig, ax = subplots(figsize=(8,8))
ax.errorbar(-np.log(lambdas),
tuned_ridge.mse_path_.mean(1),
yerr=tuned_ridge.mse_path_.std(1) / np.sqrt(K))
ax.axvline(-np.log(tuned_ridge.alpha_), c='k', ls='--')
ax.set_ylim([50000,250000])
ax.set_xlabel('$-\log(\lambda)$', fontsize=20)
ax.set_ylabel('Cross-validated MSE', fontsize=20);
We see that the value of λ that results in the smallest cross-validation error is 1.19e-02, available as the value tuned_ridge.alpha_. What is the test MSE associated with this value of λ?
In [39]: np.min(tuned\_ridge.mse\_path\_.mean(1))
Out[39]: 115526.71
This represents a further improvement over the test MSE that we got using λ = 4. Finally, tuned_ridge.coef_ has the coefcients ft on the entire data set at this value of λ.
In [40]: tuned_ridge.coef_
Out[40]: array([-222.80877051, 238.77246614, 3.21103754, -2.93050845,
3.64888723, 108.90953869, -50.81896152, -105.15731984,
122.00714801, 57.1859509 , 210.35170348, 118.05683748,
-150.21959435, 30.36634231, -61.62459095, 77.73832472,
40.07350744, -25.02151514, -13.68429544])
As expected, none of the coefcients are zero—ridge regression does not perform variable selection!
Evaluating Test Error of Cross-Validated Ridge
Choosing λ using cross-validation provides a single regression estimator, similar to ftting a linear regression model as we saw in Chapter 3. It is therefore reasonable to estimate what its test error is. We run into a problem here in that cross-validation will have touched all of its data in choosing λ, hence we have no further data to estimate test error. A compromise is to do an initial split of the data into two disjoint sets: a training set and a test set. We then ft a cross-validation tuned ridge regression on the training set, and evaluate its performance on the test set. We might call this cross-validation nested within the validation set approach. A priori there is no reason to use half of the data for each of the two sets in validation. Below, we use 75% for training and 25% for test, with the estimator being ridge regression tuned using 5-fold cross-validation. This can be achieved in code as follows:
In [41]: outer_valid = skm.ShuffleSplit(n_splits=1,
test_size=0.25,
random_state=1)
inner_cv = skm.KFold(n_splits=5,
shuffle=True,
random_state=2)
ridgeCV = skl.ElasticNetCV(alphas=lambdas,
l1_ratio=0,
cv=inner_cv)
pipeCV = Pipeline(steps=[('scaler', scaler),
('ridge', ridgeCV)]);
In [42]: results = skm.cross_validate(pipeCV,
X,
Y,
cv=outer_valid,
scoring='neg_mean_squared_error')
-results['test_score']
Out[42]: array([132393.84])
The Lasso
We saw that ridge regression with a wise choice of λ can outperform least squares as well as the null model on the Hitters data set. We now ask whether the lasso can yield either a more accurate or a more interpretable model than ridge regression. In order to ft a lasso model, we once again use the ElasticNetCV() function; however, this time we use the argument l1_ratio=1. Other than that change, we proceed just as we did in ftting a ridge model.
In [43]: lassoCV = skl.ElasticNetCV(n_alphas=100,
l1_ratio=1,
cv=kfold)
pipeCV = Pipeline(steps=[('scaler', scaler),
('lasso', lassoCV)])
pipeCV.fit(X, Y)
tuned_lasso = pipeCV.named_steps['lasso']
tuned_lasso.alpha_
Out[43]: 3.147
In [44]: lambdas , soln_array = skl.Lasso.path(Xs,
Y,
l1_ratio=1,
n_alphas=100)[:2]
soln_path = pd.DataFrame(soln_array.T,
columns=D.columns,
index=-np.log(lambdas))
We can see from the coefcient plot of the standardized coefcients that depending on the choice of tuning parameter, some of the coefcients will be exactly equal to zero.
In [45]: path_fig, ax = subplots(figsize=(8,8))
soln_path.plot(ax=ax, legend=False)
ax.legend(loc='upper left')
ax.set_xlabel('$-\log(\lambda)$', fontsize=20)
ax.set_ylabel('Standardized coefficiients', fontsize=20);
The smallest cross-validated error is lower than the test set MSE of the null model and of least squares, and very similar to the test MSE of 115526.71 of ridge regression (page 278) with λ chosen by cross-validation.
In [46]: np.min(tuned_lasso.mse_path_.mean(1))
Out[46]: 114690.73
Let’s again produce a plot of the cross-validation error.
In [47]: lassoCV_fig, ax = subplots(figsize=(8,8))
ax.errorbar(-np.log(tuned_lasso.alphas_),
tuned_lasso.mse_path_.mean(1),
yerr=tuned_lasso.mse_path_.std(1) / np.sqrt(K))
ax.axvline(-np.log(tuned_lasso.alpha_), c='k', ls='--')
ax.set_ylim([50000,250000])
ax.set_xlabel('$-\log(\lambda)$', fontsize=20)
ax.set_ylabel('Cross-validated MSE', fontsize=20);
However, the lasso has a substantial advantage over ridge regression in that the resulting coefcient estimates are sparse. Here we see that 6 of the 19 coefcient estimates are exactly zero. So the lasso model with λ chosen by cross-validation contains only 13 variables.
In [48]: tuned_lasso.coef_
Out[48]: array([-210.01008773, 243.4550306 , 0. , 0. ,
0. , 97.69397357, -41.52283116, -0. ,
0. , 39.62298193, 205.75273856, 124.55456561,
-126.29986768, 15.70262427, -59.50157967, 75.24590036,
21.62698014, -12.04423675, -0. ])
As in ridge regression, we could evaluate the test error of cross-validated lasso by frst splitting into test and training sets and internally running cross-validation on the training set. We leave this as an exercise.
6.5.3 PCR and PLS Regression
Principal Components Regression
Principal components regression (PCR) can be performed using PCA() from PCA() the sklearn.decomposition module. We now apply PCR to the Hitters data, in order to predict Salary. Again, ensure that the missing values have been removed from the data, as described in Section 6.5.1.
We use LinearRegression() to ft the regression model here. Note that Linear Regression() it fts an intercept by default, unlike the OLS() function seen earlier in Section 6.5.1.
In [49]: pca = PCA(n_components=2)
linreg = skl.LinearRegression()
pipe = Pipeline([('pca', pca),
('linreg', linreg)])
pipe.fit(X, Y)
pipe.named_steps['linreg'].coef_
Out[49]: array([0.09846131, 0.4758765 ])
When performing PCA, the results vary depending on whether the data has been standardized or not. As in the earlier examples, this can be accomplished by including an additional step in the pipeline.
In [50]: pipe = Pipeline([('scaler', scaler),
('pca', pca),
('linreg', linreg)])
pipe.fit(X, Y)
pipe.named_steps['linreg'].coef_
Out[50]: array([106.36859204, -21.60350456])
We can of course use CV to choose the number of components, by using skm.GridSearchCV, in this case fxing the parameters to vary the n_components.
In [51]: param_grid = {'pca__n_components': range(1, 20)}
grid = skm.GridSearchCV(pipe,
param_grid,
cv=kfold,
scoring='neg_mean_squared_error')
grid.fit(X, Y)
Let’s plot the results as we have for other methods.
In [52]: pcr_fig, ax = subplots(figsize=(8,8))
n_comp = param_grid['pca__n_components']
ax.errorbar(n_comp,
-grid.cv_results_['mean_test_score'],
grid.cv_results_['std_test_score'] / np.sqrt(K))
ax.set_ylabel('Cross-validated MSE', fontsize=20)
ax.set_xlabel('# principal components', fontsize=20)
ax.set_xticks(n_comp[::2])
ax.set_ylim([50000,250000]);
We see that the smallest cross-validation error occurs when 17 components are used. However, from the plot we also see that the cross-validation error is roughly the same when only one component is included in the model. This suggests that a model that uses just a small number of components might sufce.
The CV score is provided for each possible number of components from 1 to 19 inclusive. The PCA() method complains if we try to ft an intercept only with n_components=0 so we also compute the MSE for just the null model with these splits.
In [53]: Xn = np.zeros((X.shape[0], 1))
cv_null = skm.cross_validate(linreg,
282 6. Linear Model Selection and Regularization
Xn,
Y,
cv=kfold,
scoring='neg_mean_squared_error')
-cv_null['test_score'].mean()
Out[53]: 204139.31
The explained_variance_ratio_ attribute of our PCA object provides the percentage of variance explained in the predictors and in the response using diferent numbers of components. This concept is discussed in greater detail in Section 12.2.
In [54]: pipe.named\_steps['pca'].explained\_variance\_ratio\_
Out[54]: array([0.3831424 , 0.21841076])
Briefy, we can think of this as the amount of information about the predictors that is captured using M principal components. For example, setting M = 1 only captures 38.31% of the variance, while M = 2 captures an additional 21.84%, for a total of 60.15% of the variance. By M = 6 it increases to 88.63%. Beyond this the increments continue to diminish, until we use all M = p = 19 components, which captures all 100% of the variance.
Partial Least Squares
Partial least squares (PLS) is implemented in the PLSRegression() function. PLS
Regression() In [55]: pls = PLSRegression(n_components=2,
scale=True)
pls.fit(X, Y)
As was the case in PCR, we will want to use CV to choose the number of components.
In [56]: param_grid = {'n_components':range(1, 20)}
grid = skm.GridSearchCV(pls,
param_grid,
cv=kfold,
scoring='neg_mean_squared_error')
grid.fit(X, Y)
As for our other methods, we plot the MSE.
In [57]: pls_fig, ax = subplots(figsize=(8,8))
n_comp = param_grid['n_components']
ax.errorbar(n_comp,
-grid.cv_results_['mean_test_score'],
grid.cv_results_['std_test_score'] / np.sqrt(K))
ax.set_ylabel('Cross-validated MSE', fontsize=20)
ax.set_xlabel('# principal components', fontsize=20)
ax.set_xticks(n_comp[::2])
ax.set_ylim([50000,250000]);
CV error is minimized at 12, though there is little noticable diference between this point and a much lower number like 2 or 3 components.
6.6 Exercises
Conceptual
- We perform best subset, forward stepwise, and backward stepwise selection on a single data set. For each approach, we obtain p + 1 models, containing 0, 1, 2,…,p predictors. Explain your answers:
- Which of the three models with k predictors has the smallest training RSS?
- Which of the three models with k predictors has the smallest test RSS?
- True or False:
- The predictors in the k-variable model identifed by forward stepwise are a subset of the predictors in the (k+1)-variable model identifed by forward stepwise selection.
- The predictors in the k-variable model identifed by backward stepwise are a subset of the predictors in the (k + 1) variable model identifed by backward stepwise selection.
- The predictors in the k-variable model identifed by backward stepwise are a subset of the predictors in the (k + 1) variable model identifed by forward stepwise selection.
- The predictors in the k-variable model identifed by forward stepwise are a subset of the predictors in the (k+1)-variable model identifed by backward stepwise selection.
- The predictors in the k-variable model identifed by best subset are a subset of the predictors in the (k + 1)-variable model identifed by best subset selection.
- For parts (a) through (c), indicate which of i. through iv. is correct. Justify your answer.
- The lasso, relative to least squares, is:
- More fexible and hence will give improved prediction accuracy when its increase in bias is less than its decrease in variance.
- More fexible and hence will give improved prediction accuracy when its increase in variance is less than its decrease in bias.
- Less fexible and hence will give improved prediction accuracy when its increase in bias is less than its decrease in variance.
- Less fexible and hence will give improved prediction accuracy when its increase in variance is less than its decrease in bias.
- Repeat (a) for ridge regression relative to least squares.
- Repeat (a) for non-linear methods relative to least squares.
- Suppose we estimate the regression coefcients in a linear regression model by minimizing
\[ \sum_{i=1}^{n} \left( y_i - \beta_0 - \sum_{j=1}^{p} \beta_j x_{ij} \right)^2 \quad \text{subject to} \quad \sum_{j=1}^{p} |\beta_j| \le s \]
for a particular value of s. For parts (a) through (e), indicate which of i. through v. is correct. Justify your answer.
- As we increase s from 0, the training RSS will:
- Increase initially, and then eventually start decreasing in an inverted U shape.
- Decrease initially, and then eventually start increasing in a U shape.
- Steadily increase.
- Steadily decrease.
- Remain constant.
- Repeat (a) for test RSS.
- Repeat (a) for variance.
- Repeat (a) for (squared) bias.
- Repeat (a) for the irreducible error.
- Suppose we estimate the regression coefcients in a linear regression model by minimizing
\[ \sum_{i=1}^{n} \left( y_i - \beta_0 - \sum_{j=1}^{p} \beta_j x_{ij} \right)^2 + \lambda \sum_{j=1}^{p} \beta_j^2 \]
for a particular value of λ. For parts (a) through (e), indicate which of i. through v. is correct. Justify your answer.
- As we increase λ from 0, the training RSS will:
- Increase initially, and then eventually start decreasing in an inverted U shape.
- Decrease initially, and then eventually start increasing in a U shape.
- Steadily increase.
- Steadily decrease.
- Remain constant.
- Repeat (a) for test RSS.
- Repeat (a) for variance.
- Repeat (a) for (squared) bias.
- Repeat (a) for the irreducible error.
- It is well-known that ridge regression tends to give similar coefcient values to correlated variables, whereas the lasso may give quite different coefcient values to correlated variables. We will now explore this property in a very simple setting.

Suppose that n = 2, p = 2, x11 = x12, x21 = x22. Furthermore, suppose that y1 +y2 = 0 and x11 +x21 = 0 and x12 +x22 = 0, so that the estimate for the intercept in a least squares, ridge regression, or lasso model is zero: βˆ0 = 0.
- Write out the ridge regression optimization problem in this setting.
- Argue that in this setting, the ridge coefcient estimates satisfy βˆ1 = βˆ2.
- Write out the lasso optimization problem in this setting.
- Argue that in this setting, the lasso coefcients βˆ1 and βˆ2 are not unique—in other words, there are many possible solutions to the optimization problem in (c). Describe these solutions.
-
- We will now derive the Bayesian connection to the lasso and ridge regression discussed in Section 6.2.2.

- Suppose that yi = β0+)p j=1 xijβj +“i where”1,…, “n are independent and identically distributed from a N(0, σ2) distribution. Write out the likelihood for the data.
- Assume the following prior for β: β1,…, βp are independent and identically distributed according to a double-exponential distribution with mean 0 and common scale parameter b: i.e. p(β) = 1 2b exp(−|β|/b). Write out the posterior for β in this setting.
- Argue that the lasso estimate is the mode for β under this posterior distribution.
- Now assume the following prior for β: β1,…, βp are independent and identically distributed according to a normal distribution with mean zero and variance c. Write out the posterior for β in this setting.
- Argue that the ridge regression estimate is both the mode and the mean for β under this posterior distribution.
Applied
- In this exercise, we will generate simulated data, and will then use this data to perform forward and backward stepwise selection.
- Create a random number generator and use its normal() method to generate a predictor X of length n = 100, as well as a noise vector ” of length n = 100.
- Generate a response vector Y of length n = 100 according to the model
\[ Y = \beta_0 + \beta_1 X + \beta_2 X^2 + \beta_3 X^3 + \epsilon, \]
where β0, β1, β2, and β3 are constants of your choice.
- Use forward stepwise selection in order to select a model containing the predictors X, X2,…,X10. What is the model obtained according to Cp? Report the coefcients of the model obtained.
- Repeat (c), using backwards stepwise selection. How does your answer compare to the results in (c)?
- Now ft a lasso model to the simulated data, again using X, X2, …,X10 as predictors. Use cross-validation to select the optimal value of λ. Create plots of the cross-validation error as a function of λ. Report the resulting coefcient estimates, and discuss the results obtained.
- Now generate a response vector Y according to the model
\[ Y = \beta_0 + \beta_7 X^7 + \epsilon, \]
and perform forward stepwise selection and the lasso. Discuss the results obtained.
- In this exercise, we will predict the number of applications received using the other variables in the College data set.
- Split the data set into a training set and a test set.
- Fit a linear model using least squares on the training set, and report the test error obtained.
- Fit a ridge regression model on the training set, with λ chosen by cross-validation. Report the test error obtained.
- Fit a lasso model on the training set, with λ chosen by crossvalidation. Report the test error obtained, along with the number of non-zero coefcient estimates.
- Fit a PCR model on the training set, with M chosen by crossvalidation. Report the test error obtained, along with the value of M selected by cross-validation.
- Fit a PLS model on the training set, with M chosen by crossvalidation. Report the test error obtained, along with the value of M selected by cross-validation.
- Comment on the results obtained. How accurately can we predict the number of college applications received? Is there much diference among the test errors resulting from these fve approaches?
- We have seen that as the number of features used in a model increases, the training error will necessarily decrease, but the test error may not. We will now explore this in a simulated data set.
- Generate a data set with p = 20 features, n = 1,000 observations, and an associated quantitative response vector generated according to the model
\[ Y = X\beta + \epsilon, \]
where β has some elements that are exactly equal to zero.
- Split your data set into a training set containing 100 observations and a test set containing 900 observations.
- Perform best subset selection on the training set, and plot the training set MSE associated with the best model of each size.
- Plot the test set MSE associated with the best model of each size.
- For which model size does the test set MSE take on its minimum value? Comment on your results. If it takes on its minimum value for a model containing only an intercept or a model containing all of the features, then play around with the way that you are generating the data in (a) until you come up with a scenario in which the test set MSE is minimized for an intermediate model size.
- How does the model at which the test set MSE is minimized compare to the true model used to generate the data? Comment on the coefcient values.
- Create a plot displaying G)p j=1(βj − βˆr j )2 for a range of values of r, where βˆr j is the jth coefcient estimate for the best model containing r coefcients. Comment on what you observe. How does this compare to the test MSE plot from (d)?
- We will now try to predict per capita crime rate in the Boston data set.
- Try out some of the regression methods explored in this chapter, such as best subset selection, the lasso, ridge regression, and PCR. Present and discuss results for the approaches that you consider.
- Propose a model (or set of models) that seem to perform well on this data set, and justify your answer. Make sure that you are evaluating model performance using validation set error, crossvalidation, or some other reasonable alternative, as opposed to using training error.
- 288 6. Linear Model Selection and Regularization
- Does your chosen model involve all of the features in the data set? Why or why not?



