The Elements of Statistical Learning
Springer Series in Statistics
Trevor Hastie Robert Tibshirani Jerome Friedman
Springer Series in Statistics
topic in any book.
› springer.com
STATISTICS
ISBN 978-0-387-84857-0
During the past decade there has been an explosion in computation and information technology. With it have come vast amounts of data in a variety of fields such as medicine, biology, finance, and marketing. The challenge of understanding these data has led to the development of new tools in the field of statistics, and spawned new areas such as data mining, machine learning, and bioinformatics. Many of these tools have common underpinnings but are often expressed with different terminology. This book describes the important ideas in these areas in a common conceptual framework. While the approach is statistical, the emphasis is on concepts rather than mathematics. Many examples are given, with a liberal use of color graphics. It should be a valuable resource for statisticians and anyone interested in data mining in science or industry. The book’s coverage is broad, from supervised learning (prediction) to unsupervised learning. The many topics include neural networks, support vector machines, classification trees and boosting—the first comprehensive treatment of this
Trevor Hastie • Robert Tibshirani • Jerome Friedman
The Elements of Statictical Learning
This major new edition features many topics not covered in the original, including graphical models, random forests, ensemble methods, least angle regression & path algorithms for the lasso, non-negative matrix factorization, and spectral clustering. There is also a chapter on methods for “wide” data (p bigger than n), including multiple testing and false discovery rates.
Trevor Hastie, Robert Tibshirani, and Jerome Friedman are professors of statistics at Stanford University. They are prominent researchers in this area: Hastie and Tibshirani developed generalized additive models and wrote a popular book of that title. Hastie codeveloped much of the statistical modeling software and environment in R/S-PLUS and invented principal curves and surfaces. Tibshirani proposed the lasso and is co-author of the very successful An Introduction to the Bootstrap. Friedman is the co-inventor of many data-mining tools including CART, MARS, projection pursuit and gradient boosting.
The Elements of Statistical Learning
Data Mining, Inference, and Prediction
Second Edition
The Elements of Statistical Learning
Hastie • Tibshirani • Friedman

This is page v Printer: Opaque this
To our parents:
Valerie and Patrick Hastie Vera and Sami Tibshirani Florence and Harry Friedman
and to our families:
Samantha, Timothy, and Lynda Charlie, Ryan, Julie, and Cheryl Melanie, Dora, Monika, and Ildiko vi
| This is page vii | |
|---|---|
| Printer: Opaque this |
Preface to the Second Edition
In God we trust, all others bring data.
–William Edwards Deming (1900-1993)1
We have been gratified by the popularity of the first edition of The Elements of Statistical Learning. This, along with the fast pace of research in the statistical learning field, motivated us to update our book with a second edition.
We have added four new chapters and updated some of the existing chapters. Because many readers are familiar with the layout of the first edition, we have tried to change it as little as possible. Here is a summary of the main changes:
1On the Web, this quote has been widely attributed to both Deming and Robert W. Hayden; however Professor Hayden told us that he can claim no credit for this quote, and ironically we could find no “data” confirming that Deming actually said this.
| viii Preface to the Second Edition |
|
|---|---|
| ————————————— | – |
| Chapter | What’s new | ||
|---|---|---|---|
| 1. Introduction | |||
| 2. Overview of Supervised Learning | |||
| 3. Linear Methods for Regression | LAR algorithm and generalizations | ||
| of the lasso | |||
| 4. Linear Methods for Classification | Lasso path for logistic regression | ||
| 5. Basis Expansions and Regulariza | Additional illustrations of RKHS | ||
| tion | |||
| 6. Kernel Smoothing Methods | |||
| 7. Model Assessment and Selection | Strengths and pitfalls of cross validation |
||
| 8. Model Inference and Averaging | |||
| 9. Additive Models, Trees, and | |||
| Related Methods | |||
| 10. Boosting and Additive Trees | New example from ecology; some material split off to Chapter 16. |
||
| 11. Neural Networks | Bayesian neural nets and the NIPS 2003 challenge |
||
| 12. Support Vector Machines and | Path algorithm for SVM classifier | ||
| Flexible Discriminants | |||
| 13. Prototype Methods and |
|||
| Nearest-Neighbors | |||
| 14. Unsupervised Learning | Spectral clustering, kernel PCA, sparse PCA, non-negative matrix factorization archetypal analysis, nonlinear dimension reduction, page rank algorithm, a direct approach to ICA |
||
| 15. Random Forests | New | ||
| 16. Ensemble Learning | New | ||
| 17. Undirected Graphical Models | New | ||
| 18. High-Dimensional Problems | New |
Some further notes:
- Our first edition was unfriendly to colorblind readers; in particular, we tended to favor red/green contrasts which are particularly troublesome. We have changed the color palette in this edition to a large extent, replacing the above with an orange/blue contrast.
- We have changed the name of Chapter 6 from “Kernel Methods” to “Kernel Smoothing Methods”, to avoid confusion with the machinelearning kernel method that is discussed in the context of support vector machines (Chapter 11) and more generally in Chapters 5 and 14.
- In the first edition, the discussion of error-rate estimation in Chapter 7 was sloppy, as we did not clearly differentiate the notions of conditional error rates (conditional on the training set) and unconditional rates. We have fixed this in the new edition.
- Chapters 15 and 16 follow naturally from Chapter 10, and the chapters are probably best read in that order.
- In Chapter 17, we have not attempted a comprehensive treatment of graphical models, and discuss only undirected models and some new methods for their estimation. Due to a lack of space, we have specifically omitted coverage of directed graphical models.
- Chapter 18 explores the “p ≫ N” problem, which is learning in highdimensional feature spaces. These problems arise in many areas, including genomic and proteomic studies, and document classification.
We thank the many readers who have found the (too numerous) errors in the first edition. We apologize for those and have done our best to avoid errors in this new edition. We thank Mark Segal, Bala Rajaratnam, and Larry Wasserman for comments on some of the new chapters, and many Stanford graduate and post-doctoral students who offered comments, in particular Mohammed AlQuraishi, John Boik, Holger Hoefling, Arian Maleki, Donal McMahon, Saharon Rosset, Babak Shababa, Daniela Witten, Ji Zhu and Hui Zou. We thank John Kimmel for his patience in guiding us through this new edition. RT dedicates this edition to the memory of Anna McPhee.
Trevor Hastie Robert Tibshirani Jerome Friedman
Stanford, California August 2008
x Preface to the Second Edition
Preface to the First Edition
We are drowning in information and starving for knowledge.
–Rutherford D. Roger
The field of Statistics is constantly challenged by the problems that science and industry brings to its door. In the early days, these problems often came from agricultural and industrial experiments and were relatively small in scope. With the advent of computers and the information age, statistical problems have exploded both in size and complexity. Challenges in the areas of data storage, organization and searching have led to the new field of “data mining”; statistical and computational problems in biology and medicine have created “bioinformatics.” Vast amounts of data are being generated in many fields, and the statistician’s job is to make sense of it all: to extract important patterns and trends, and understand “what the data says.” We call this learning from data.
The challenges in learning from data have led to a revolution in the statistical sciences. Since computation plays such a key role, it is not surprising that much of this new development has been done by researchers in other fields such as computer science and engineering.
The learning problems that we consider can be roughly categorized as either supervised or unsupervised. In supervised learning, the goal is to predict the value of an outcome measure based on a number of input measures; in unsupervised learning, there is no outcome measure, and the goal is to describe the associations and patterns among a set of input measures.
xii Preface to the First Edition
This book is our attempt to bring together many of the important new ideas in learning, and explain them in a statistical framework. While some mathematical details are needed, we emphasize the methods and their conceptual underpinnings rather than their theoretical properties. As a result, we hope that this book will appeal not just to statisticians but also to researchers and practitioners in a wide variety of fields.
Just as we have learned a great deal from researchers outside of the field of statistics, our statistical viewpoint may help others to better understand different aspects of learning:
There is no true interpretation of anything; interpretation is a vehicle in the service of human comprehension. The value of interpretation is in enabling others to fruitfully think about an idea.
–Andreas Buja
We would like to acknowledge the contribution of many people to the conception and completion of this book. David Andrews, Leo Breiman, Andreas Buja, John Chambers, Bradley Efron, Geoffrey Hinton, Werner Stuetzle, and John Tukey have greatly influenced our careers. Balasubramanian Narasimhan gave us advice and help on many computational problems, and maintained an excellent computing environment. Shin-Ho Bang helped in the production of a number of the figures. Lee Wilkinson gave valuable tips on color production. Ilana Belitskaya, Eva Cantoni, Maya Gupta, Michael Jordan, Shanti Gopatam, Radford Neal, Jorge Picazo, Bogdan Popescu, Olivier Renaud, Saharon Rosset, John Storey, Ji Zhu, Mu Zhu, two reviewers and many students read parts of the manuscript and offered helpful suggestions. John Kimmel was supportive, patient and helpful at every phase; MaryAnn Brickner and Frank Ganz headed a superb production team at Springer. Trevor Hastie would like to thank the statistics department at the University of Cape Town for their hospitality during the final stages of this book. We gratefully acknowledge NSF and NIH for their support of this work. Finally, we would like to thank our families and our parents for their love and support.
Trevor Hastie Robert Tibshirani Jerome Friedman
Stanford, California May 2001
The quiet statisticians have changed our world; not by discovering new facts or technical developments, but by changing the ways that we reason, experiment and form our opinions ….
–Ian Hacking
This is page xiii Printer: Opaque this
Contents
| Preface to the Second Edition | vii | |||
|---|---|---|---|---|
| Preface to the First Edition | xi | |||
| 1 | Introduction | 1 | ||
| 2 | Overview of Supervised Learning | 9 | ||
| 2.1 | Introduction | . | 9 | |
| 2.2 | Variable Types and Terminology | 9 | ||
| 2.3 | Two Simple Approaches to Prediction: | |||
| Least Squares and Nearest Neighbors . |
11 | |||
| 2.3.1 | Linear Models and Least Squares . |
11 | ||
| 2.3.2 | Nearest-Neighbor Methods . |
14 | ||
| 2.3.3 | From Least Squares to Nearest Neighbors | 16 | ||
| 2.4 | Statistical Decision Theory . |
18 | ||
| 2.5 | Local Methods in High Dimensions | 22 | ||
| 2.6 | Statistical Models, Supervised Learning | |||
| and Function Approximation . |
28 | |||
| 2.6.1 | A Statistical Model | |||
| for the Joint Distribution Pr(X, Y ) . |
28 | |||
| 2.6.2 | Supervised Learning | 29 | ||
| 2.6.3 | Function Approximation . |
29 | ||
| 2.7 | Structured Regression Models . |
32 | ||
| 2.7.1 | Difficulty of the Problem . |
32 | ||
| 2.8 | Classes of Restricted Estimators | |
|---|---|---|
| 2.8.1 | Roughness Penalty and Bayesian Methods . |
|
| 2.8.2 | Kernel Methods and Local Regression | |
| 2.8.3 | Basis Functions and Dictionary Methods . |
|
| 2.9 | Model Selection and the Bias–Variance Tradeoff . |
|
| Bibliographic Notes | ||
| Exercises | ||
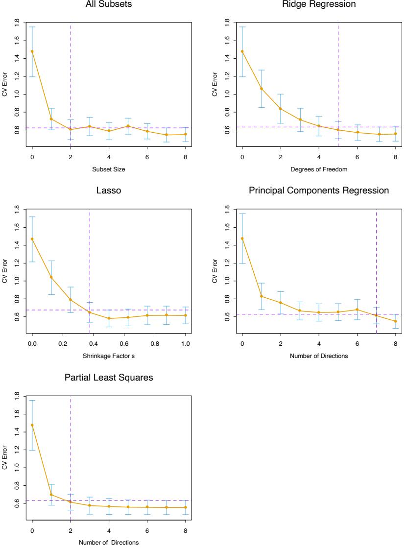
| Linear Methods for Regression | ||
| 3.1 | Introduction | . |
| 3.2 | Linear Regression Models and Least Squares . |
|
| 3.2.1 | Example: Prostate Cancer . |
|
| 3.2.2 | The Gauss–Markov Theorem | |
| 3.2.3 | Multiple Regression | |
| from Simple Univariate Regression | ||
| 3.2.4 | Multiple Outputs . |
|
| 3.3 | Subset Selection . |
|
| 3.3.1 | Best-Subset Selection . |
|
| 3.3.2 | Forward- and Backward-Stepwise Selection . |
|
| 3.3.3 | Forward-Stagewise Regression . |
|
| 3.3.4 | Prostate Cancer Data Example (Continued) . . |
|
| 3.4 | Shrinkage Methods | |
| 3.4.1 | Ridge Regression . |
|
| 3.4.2 | The Lasso . |
|
| 3.4.3 | Discussion: Subset Selection, Ridge Regression | |
| and the Lasso . |
||
| 3.4.4 | Least Angle Regression . |
|
| 3.5 | Methods Using Derived Input Directions . |
|
| 3.5.1 | Principal Components Regression . |
|
| 3.5.2 | Partial Least Squares . |
|
| 3.6 | Discussion: A Comparison of the Selection | |
| and Shrinkage Methods . |
||
| 3.7 | Multiple Outcome Shrinkage and Selection . |
|
| 3.8 | More on the Lasso and Related Path Algorithms | |
| 3.8.1 | Incremental Forward Stagewise Regression . |
|
| 3.8.2 | Piecewise-Linear Path Algorithms . |
|
| 3.8.3 | The Dantzig Selector . |
|
| 3.8.4 | The Grouped Lasso . |
|
| 3.8.5 | Further Properties of the Lasso | |
| 3.8.6 | Pathwise Coordinate Optimization | |
| 3.9 | Computational Considerations . |
|
| Bibliographic Notes | ||
| Exercises | ||
| Contents | xv |
|---|---|
| 4 | Linear Methods for Classification 101 |
||
|---|---|---|---|
| 4.1 | Introduction . |
101 | |
| 4.2 | Linear Regression of an Indicator Matrix . |
103 | |
| 4.3 | Linear Discriminant Analysis | 106 | |
| 4.3.1 Regularized Discriminant Analysis |
112 | ||
| 4.3.2 Computations for LDA . |
113 | ||
| 4.3.3 Reduced-Rank Linear Discriminant Analysis . . |
113 | ||
| 4.4 | Logistic Regression | 119 | |
| 4.4.1 Fitting Logistic Regression Models |
120 | ||
| 4.4.2 Example: South African Heart Disease . |
122 | ||
| 4.4.3 Quadratic Approximations and Inference . |
124 | ||
| 4.4.4 L1 Regularized Logistic Regression |
125 | ||
| 4.4.5 Logistic Regression or LDA? . |
127 | ||
| 4.5 | Separating Hyperplanes | 129 | |
| 4.5.1 Rosenblatt’s Perceptron Learning Algorithm . . |
130 | ||
| 4.5.2 Optimal Separating Hyperplanes |
132 | ||
| Bibliographic Notes | 135 | ||
| Exercises | 135 | ||
| 5 | Basis Expansions and Regularization 139 |
||
| 5.1 | Introduction . |
139 | |
| 5.2 | Piecewise Polynomials and Splines | 141 | |
| 5.2.1 Natural Cubic Splines |
144 | ||
| 5.2.2 Example: South African Heart Disease (Continued)146 |
|||
| 5.2.3 Example: Phoneme Recognition . |
148 | ||
| 5.3 | Filtering and Feature Extraction | 150 | |
| 5.4 | Smoothing Splines | 151 | |
| 5.4.1 Degrees of Freedom and Smoother Matrices |
153 | ||
| 5.5 | Automatic Selection of the Smoothing Parameters . |
156 | |
| 5.5.1 Fixing the Degrees of Freedom |
158 | ||
| 5.5.2 The Bias–Variance Tradeoff |
158 | ||
| 5.6 | Nonparametric Logistic Regression | 161 | |
| 5.7 | Multidimensional Splines . |
162 | |
| 5.8 | Regularization and Reproducing Kernel Hilbert Spaces | 167 | |
| 5.8.1 Spaces of Functions Generated by Kernels . |
168 | ||
| 5.8.2 Examples of RKHS . |
170 | ||
| 5.9 | Wavelet Smoothing . |
174 | |
| 5.9.1 Wavelet Bases and the Wavelet Transform . |
176 | ||
| 5.9.2 Adaptive Wavelet Filtering |
179 | ||
| Bibliographic Notes | 181 | ||
| Exercises | 181 | ||
| Appendix: Computational Considerations for Splines . |
186 | ||
| Appendix: B-splines | 186 | ||
| Appendix: Computations for Smoothing Splines . |
189 |
| xvi | Contents |
|---|---|
| 6 | Kernel Smoothing Methods | 191 | |
|---|---|---|---|
| 6.1 | One-Dimensional Kernel Smoothers . |
192 | |
| 6.1.1 Local Linear Regression |
194 | ||
| 6.1.2 Local Polynomial Regression . |
197 | ||
| 6.2 | Selecting the Width of the Kernel . |
198 | |
| 6.3 | Local Regression in IRp . |
200 | |
| 6.4 | Structured Local Regression Models in IRp . |
201 | |
| 6.4.1 Structured Kernels |
203 | ||
| 6.4.2 Structured Regression Functions |
203 | ||
| 6.5 | Local Likelihood and Other Models . |
205 | |
| 6.6 | Kernel Density Estimation and Classification | 208 | |
| 6.6.1 Kernel Density Estimation . |
208 | ||
| 6.6.2 Kernel Density Classification |
210 | ||
| 6.6.3 The Naive Bayes Classifier . |
210 | ||
| 6.7 | Radial Basis Functions and Kernels . |
212 | |
| 6.8 | Mixture Models for Density Estimation and Classification | 214 | |
| 6.9 | Computational Considerations . |
216 | |
| Bibliographic Notes | 216 | ||
| Exercises | 216 | ||
| 7 | Model Assessment and Selection | 219 | |
| 7.1 | Introduction . |
219 | |
| 7.2 | Bias, Variance and Model Complexity | 219 | |
| 7.3 | The Bias–Variance Decomposition . |
223 | |
| 7.3.1 Example: Bias–Variance Tradeoff . |
226 | ||
| 7.4 | Optimism of the Training Error Rate . |
228 | |
| 7.5 | Estimates of In-Sample Prediction Error | 230 | |
| 7.6 | The Effective Number of Parameters | 232 | |
| 7.7 | The Bayesian Approach and BIC | 233 | |
| 7.8 | Minimum Description Length | 235 | |
| 7.9 | Vapnik–Chervonenkis Dimension | 237 | |
| 7.9.1 Example (Continued) . |
239 | ||
| 7.10 | Cross-Validation . |
241 | |
| 7.10.1 K-Fold Cross-Validation . |
241 | ||
| 7.10.2 The Wrong and Right Way |
|||
| to Do Cross-validation | 245 | ||
| 7.10.3 Does Cross-Validation Really Work? |
247 | ||
| 7.11 | Bootstrap Methods . |
249 | |
| 7.11.1 Example (Continued) . |
252 | ||
| 7.12 | Conditional or Expected Test Error? | 254 | |
| Bibliographic Notes | 257 | ||
| Exercises | 257 | ||
| 8 | Model Inference and Averaging | 261 | |
| 8.1 | Introduction . |
261 |
| 8.2 | The Bootstrap and Maximum Likelihood Methods | 261 | |
|---|---|---|---|
| 8.2.1 A Smoothing Example . |
261 | ||
| 8.2.2 Maximum Likelihood Inference |
265 | ||
| 8.2.3 Bootstrap versus Maximum Likelihood . |
267 | ||
| 8.3 | Bayesian Methods . |
267 | |
| 8.4 | Relationship Between the Bootstrap | ||
| and Bayesian Inference . |
271 | ||
| 8.5 | The EM Algorithm . |
272 | |
| 8.5.1 Two-Component Mixture Model |
272 | ||
| 8.5.2 The EM Algorithm in General . |
276 | ||
| 8.5.3 EM as a Maximization–Maximization Procedure |
277 | ||
| 8.6 | MCMC for Sampling from the Posterior | 279 | |
| 8.7 | Bagging | 282 | |
| 8.7.1 Example: Trees with Simulated Data . |
283 | ||
| 8.8 | Model Averaging and Stacking . |
288 | |
| 8.9 | Stochastic Search: Bumping | 290 | |
| Bibliographic Notes | 292 | ||
| Exercises | 293 | ||
| 9 | Additive Models, Trees, and Related Methods | 295 | |
| 9.1 | Generalized Additive Models . |
295 | |
| 9.1.1 Fitting Additive Models |
297 | ||
| 9.1.2 Example: Additive Logistic Regression . |
299 | ||
| 9.1.3 Summary |
304 | ||
| 9.2 | Tree-Based Methods | 305 | |
| 9.2.1 Background . |
305 | ||
| 9.2.2 Regression Trees |
307 | ||
| 9.2.3 Classification Trees . |
308 | ||
| 9.2.4 Other Issues . |
310 | ||
| 9.2.5 Spam Example (Continued) . |
313 | ||
| 9.3 | PRIM: Bump Hunting | 317 | |
| 9.3.1 Spam Example (Continued) . |
320 | ||
| 9.4 | MARS: Multivariate Adaptive Regression Splines | 321 | |
| 9.4.1 Spam Example (Continued) . |
326 | ||
| 9.4.2 Example (Simulated Data) . |
327 | ||
| 9.4.3 Other Issues . |
328 | ||
| 9.5 | Hierarchical Mixtures of Experts | 329 | |
| 9.6 | Missing Data | 332 | |
| 9.7 | Computational Considerations . |
334 | |
| Bibliographic Notes | 334 | ||
| Exercises | 335 | ||
| 10 Boosting and Additive Trees | 337 | ||
| 10.1 | Boosting Methods . |
337 | |
| 10.1.1 Outline of This Chapter |
340 | ||
| 10.2 | Boosting Fits an Additive Model | 341 |
|---|---|---|
| 10.3 | Forward Stagewise Additive Modeling | 342 |
| 10.4 | Exponential Loss and AdaBoost . |
343 |
| 10.5 | Why Exponential Loss? | 345 |
| 10.6 | Loss Functions and Robustness | 346 |
| 10.7 | “Off-the-Shelf” Procedures for Data Mining | 350 |
| 10.8 | Example: Spam Data . |
352 |
| 10.9 | Boosting Trees . |
353 |
| 10.10 Numerical Optimization via Gradient Boosting | 358 | |
| 10.10.1 Steepest Descent |
358 | |
| 10.10.2 Gradient Boosting |
359 | |
| 10.10.3 Implementations of Gradient Boosting |
360 | |
| 10.11 Right-Sized Trees for Boosting . |
361 | |
| 10.12 Regularization . |
364 | |
| 10.12.1 Shrinkage |
364 | |
| 10.12.2 Subsampling . |
365 | |
| 10.13 Interpretation . |
367 | |
| 10.13.1 Relative Importance of Predictor Variables |
367 | |
| 10.13.2 Partial Dependence Plots |
369 | |
| 10.14 Illustrations | 371 | |
| 10.14.1 California Housing |
371 | |
| 10.14.2 New Zealand Fish . |
375 | |
| 10.14.3 Demographics Data . |
379 | |
| Bibliographic Notes | 380 | |
| Exercises | 384 | |
| 11 Neural Networks | 389 | |
| 11.1 | Introduction . |
389 |
| 11.2 | Projection Pursuit Regression . |
389 |
| 11.3 | Neural Networks | 392 |
| 11.4 | Fitting Neural Networks | 395 |
| 11.5 | Some Issues in Training Neural Networks . |
397 |
| 11.5.1 Starting Values |
397 | |
| 11.5.2 Overfitting . |
398 | |
| 11.5.3 Scaling of the Inputs . |
398 | |
| 11.5.4 Number of Hidden Units and Layers |
400 | |
| 11.5.5 Multiple Minima |
400 | |
| 11.6 | Example: Simulated Data | 401 |
| 11.7 | Example: ZIP Code Data . |
404 |
| 11.8 | Discussion . |
408 |
| 11.9 | Bayesian Neural Nets and the NIPS 2003 Challenge . |
409 |
| 11.9.1 Bayes, Boosting and Bagging |
410 | |
| 11.9.2 Performance Comparisons . |
412 | |
| 11.10 Computational Considerations . |
414 | |
| Bibliographic Notes | 415 |
| Contents | xix | |
|---|---|---|
| Exercises | 415 | |
| 12 Support Vector Machines and | ||
| Flexible Discriminants | 417 | |
| 12.1 | Introduction . |
417 |
| 12.2 | The Support Vector Classifier | 417 |
| 12.2.1 Computing the Support Vector Classifier . |
420 | |
| 12.2.2 Mixture Example (Continued) . |
421 | |
| 12.3 | Support Vector Machines and Kernels | 423 |
| 12.3.1 Computing the SVM for Classification |
423 | |
| 12.3.2 The SVM as a Penalization Method |
426 | |
| 12.3.3 Function Estimation and Reproducing Kernels . |
428 | |
| 12.3.4 SVMs and the Curse of Dimensionality . |
431 | |
| 12.3.5 A Path Algorithm for the SVM Classifier |
432 | |
| 12.3.6 Support Vector Machines for Regression |
434 | |
| 12.3.7 Regression and Kernels . |
436 | |
| 12.3.8 Discussion . |
438 | |
| 12.4 | Generalizing Linear Discriminant Analysis . |
438 |
| 12.5 | Flexible Discriminant Analysis . |
440 |
| 12.5.1 Computing the FDA Estimates |
444 | |
| 12.6 | Penalized Discriminant Analysis | 446 |
| 12.7 | Mixture Discriminant Analysis . |
449 |
| 12.7.1 Example: Waveform Data |
451 | |
| Bibliographic Notes | 455 | |
| Exercises | 455 | |
| 13 Prototype Methods and Nearest-Neighbors | 459 | |
| 13.1 | Introduction . |
459 |
| 13.2 | Prototype Methods . |
459 |
| 13.2.1 K-means Clustering |
460 | |
| 13.2.2 Learning Vector Quantization . |
462 | |
| 13.2.3 Gaussian Mixtures |
463 | |
| 13.3 | k-Nearest-Neighbor Classifiers . |
463 |
| 13.3.1 Example: A Comparative Study . |
468 | |
| 13.3.2 Example: k-Nearest-Neighbors |
||
| and Image Scene Classification | 470 | |
| 13.3.3 Invariant Metrics and Tangent Distance |
471 | |
| 13.4 | Adaptive Nearest-Neighbor Methods | 475 |
| 13.4.1 Example . |
478 | |
| 13.4.2 Global Dimension Reduction |
||
| for Nearest-Neighbors | 479 | |
| 13.5 | Computational Considerations | 480 |
| Bibliographic Notes | 481 | |
| Exercises | 481 | |
| xx | Contents |
|---|---|
| —- | ———- |
| 14 Unsupervised Learning | 485 | ||
|---|---|---|---|
| 14.1 | Introduction | . | 485 |
| 14.2 | Association Rules . |
487 | |
| 14.2.1 | Market Basket Analysis | 488 | |
| 14.2.2 | The Apriori Algorithm . |
489 | |
| 14.2.3 | Example: Market Basket Analysis . |
492 | |
| 14.2.4 | Unsupervised as Supervised Learning . |
495 | |
| 14.2.5 | Generalized Association Rules . |
497 | |
| 14.2.6 | Choice of Supervised Learning Method . |
499 | |
| 14.2.7 | Example: Market Basket Analysis (Continued) . | 499 | |
| 14.3 | Cluster Analysis . |
501 | |
| 14.3.1 | Proximity Matrices . |
503 | |
| 14.3.2 | Dissimilarities Based on Attributes . |
503 | |
| 14.3.3 | Object Dissimilarity | 505 | |
| 14.3.4 | Clustering Algorithms | 507 | |
| 14.3.5 | Combinatorial Algorithms . |
507 | |
| 14.3.6 | K-means . |
509 | |
| 14.3.7 | Gaussian Mixtures as Soft K-means Clustering . | 510 | |
| 14.3.8 | Example: Human Tumor Microarray Data . |
512 | |
| 14.3.9 | Vector Quantization | 514 | |
| 14.3.10 | K-medoids . |
515 | |
| 14.3.11 | Practical Issues . |
518 | |
| 14.3.12 | Hierarchical Clustering . |
520 | |
| 14.4 | Self-Organizing Maps . |
528 | |
| 14.5 | Principal Components, Curves and Surfaces | 534 | |
| 14.5.1 | Principal Components | 534 | |
| 14.5.2 | Principal Curves and Surfaces . |
541 | |
| 14.5.3 | Spectral Clustering . |
544 | |
| 14.5.4 | Kernel Principal Components | 547 | |
| 14.5.5 | Sparse Principal Components | 550 | |
| 14.6 | Non-negative Matrix Factorization | 553 | |
| 14.6.1 | Archetypal Analysis | 554 | |
| 14.7 | Independent Component Analysis | ||
| and Exploratory Projection Pursuit . |
557 | ||
| 14.7.1 | Latent Variables and Factor Analysis . |
558 | |
| 14.7.2 | Independent Component Analysis . |
560 | |
| 14.7.3 | Exploratory Projection Pursuit | 565 | |
| 14.7.4 | A Direct Approach to ICA . |
565 | |
| 14.8 | Multidimensional Scaling . |
570 | |
| 14.9 | Nonlinear Dimension Reduction | ||
| and Local Multidimensional Scaling . |
572 | ||
| 14.10 The Google PageRank Algorithm . |
576 | ||
| Bibliographic Notes | 578 | ||
| Exercises | 579 | ||
| Contents | xxi |
|---|---|
| 15 Random Forests | 587 | ||
|---|---|---|---|
| 15.1 | Introduction . |
||
| 15.2 | Definition of Random Forests | 587 587 |
|
| 15.3 | Details of Random Forests . |
592 | |
| 15.3.1 | Out of Bag Samples | 592 | |
| 15.3.2 | Variable Importance | 593 | |
| 15.3.3 | Proximity Plots . |
595 | |
| 15.3.4 | Random Forests and Overfitting . |
596 | |
| 15.4 | Analysis of Random Forests | 597 | |
| 15.4.1 | Variance and the De-Correlation Effect . |
597 | |
| 15.4.2 | Bias | 600 | |
| 15.4.3 | Adaptive Nearest Neighbors . |
601 | |
| Bibliographic Notes | 602 | ||
| Exercises | 603 | ||
| 16 Ensemble Learning | 605 | ||
| 16.1 | Introduction | . | 605 |
| 16.2 | Boosting and Regularization Paths | 607 | |
| 16.2.1 | Penalized Regression . |
607 | |
| 16.2.2 | The “Bet on Sparsity” Principle . |
610 | |
| 16.2.3 | Regularization Paths, Over-fitting and Margins . | 613 | |
| 16.3 | Learning Ensembles . |
616 | |
| 16.3.1 | Learning a Good Ensemble | 617 | |
| 16.3.2 | Rule Ensembles . |
622 | |
| Bibliographic Notes | 623 | ||
| Exercises | 624 | ||
| 17 Undirected Graphical Models | 625 | ||
| 17.1 | Introduction | . | 625 |
| 17.2 | Markov Graphs and Their Properties . |
627 | |
| 17.3 | Undirected Graphical Models for Continuous Variables | 630 | |
| 17.3.1 | Estimation of the Parameters | ||
| when the Graph Structure is Known | 631 | ||
| 17.3.2 | Estimation of the Graph Structure | 635 | |
| 17.4 | Undirected Graphical Models for Discrete Variables . |
638 | |
| 17.4.1 | Estimation of the Parameters | ||
| when the Graph Structure is Known | 639 | ||
| 17.4.2 | Hidden Nodes . |
641 | |
| 17.4.3 | Estimation of the Graph Structure | 642 | |
| 17.4.4 | Restricted Boltzmann Machines . |
643 | |
| Exercises | 645 | ||
| 18 High-Dimensional Problems: p ≫ N | 649 | ||
| 18.1 | When p is Much Bigger than N . |
649 |
xxii Contents
| Index | 737 | ||
|---|---|---|---|
| Author Index | 729 | ||
| References | 699 | ||
| Exercises | 694 | ||
| 18.8 | Bibliographic Notes . |
693 | |
| 18.7.3 | A Bayesian Interpretation of the FDR | 692 | |
| 18.7.2 | Asymmetric Cutpoints and the SAM Procedure | 690 | |
| 18.7.1 | The False Discovery Rate | 687 | |
| 18.7 | Feature Assessment and the Multiple-Testing Problem | 683 | |
| 18.6.3 | Pre-Conditioning for Feature Selection . |
681 | |
| 18.6.2 | Relationship with Partial Least Squares | 680 | |
| 18.6.1 | Connection to Latent-Variable Modeling . |
678 | |
| Supervised Principal Components . |
674 | ||
| 18.6 | High-Dimensional Regression: | ||
| 18.5.3 | Inner-Product Kernels and Pairwise Distances Example: Abstracts Classification . |
670 672 |
|
| 18.5.2 | Classification and Other Models Using | ||
| and Protein Classification | 668 | ||
| 18.5.1 | Example: String Kernels | ||
| 18.5 | Classification When Features are Unavailable | 668 | |
| 18.4.2 | The Fused Lasso for Functional Data . |
666 | |
| to Protein Mass Spectroscopy . |
664 | ||
| 18.4.1 | Application of Lasso | ||
| 18.4 | Linear Classifiers with L1 Regularization . |
661 | |
| 18.3.5 | Computational Shortcuts When p ≫ N . |
659 | |
| 18.3.4 | Feature Selection | 658 | |
| 18.3.3 | The Support Vector Classifier . |
657 | |
| with Quadratic Regularization . |
657 | ||
| 18.3.2 | Logistic Regression | ||
| 18.3.1 | Regularized Discriminant Analysis | 656 | |
| 18.3 | Linear Classifiers with Quadratic Regularization . |
654 | |
| and Nearest Shrunken Centroids . |
651 | ||
| 18.2 | Diagonal Linear Discriminant Analysis |
This is page 1 Printer: Opaque this
1 Introduction
Statistical learning plays a key role in many areas of science, finance and industry. Here are some examples of learning problems:
- Predict whether a patient, hospitalized due to a heart attack, will have a second heart attack. The prediction is to be based on demographic, diet and clinical measurements for that patient.
- Predict the price of a stock in 6 months from now, on the basis of company performance measures and economic data.
- Identify the numbers in a handwritten ZIP code, from a digitized image.
- Estimate the amount of glucose in the blood of a diabetic person, from the infrared absorption spectrum of that person’s blood.
- Identify the risk factors for prostate cancer, based on clinical and demographic variables.
The science of learning plays a key role in the fields of statistics, data mining and artificial intelligence, intersecting with areas of engineering and other disciplines.
This book is about learning from data. In a typical scenario, we have an outcome measurement, usually quantitative (such as a stock price) or categorical (such as heart attack/no heart attack), that we wish to predict based on a set of features (such as diet and clinical measurements). We have a training set of data, in which we observe the outcome and feature
2 1. Introduction
TABLE 1.1. Average percentage of words or characters in an email message equal to the indicated word or character. We have chosen the words and characters showing the largest difference between spam and email.
| george | you | your | hp | free | hpl | ! | our | re | edu | remove | |
|---|---|---|---|---|---|---|---|---|---|---|---|
| spam | 0.00 | 2.26 | 1.38 | 0.02 | 0.52 | 0.01 | 0.51 | 0.51 | 0.13 | 0.01 | 0.28 |
| 1.27 | 1.27 | 0.44 | 0.90 | 0.07 | 0.43 | 0.11 | 0.18 | 0.42 | 0.29 | 0.01 |
measurements for a set of objects (such as people). Using this data we build a prediction model, or learner, which will enable us to predict the outcome for new unseen objects. A good learner is one that accurately predicts such an outcome.
The examples above describe what is called the supervised learning problem. It is called “supervised” because of the presence of the outcome variable to guide the learning process. In the unsupervised learning problem, we observe only the features and have no measurements of the outcome. Our task is rather to describe how the data are organized or clustered. We devote most of this book to supervised learning; the unsupervised problem is less developed in the literature, and is the focus of Chapter 14.
Here are some examples of real learning problems that are discussed in this book.
Example 1: Email Spam
The data for this example consists of information from 4601 email messages, in a study to try to predict whether the email was junk email, or “spam.” The objective was to design an automatic spam detector that could filter out spam before clogging the users’ mailboxes. For all 4601 email messages, the true outcome (email type) email or spam is available, along with the relative frequencies of 57 of the most commonly occurring words and punctuation marks in the email message. This is a supervised learning problem, with the outcome the class variable email/spam. It is also called a classification problem.
Table 1.1 lists the words and characters showing the largest average difference between spam and email.
Our learning method has to decide which features to use and how: for example, we might use a rule such as
\[\text{if } (\% \text{реотре} < 0.6) \text{ & (\% you > 1.5) \\ \text{ then } \text{эрап} \\ \text{else } \text{ \*\*email1.}\]
Another form of a rule might be:
if (0.2 · %you − 0.3 · %george) > 0 then spam else email.

FIGURE 1.1. Scatterplot matrix of the prostate cancer data. The first row shows the response against each of the predictors in turn. Two of the predictors, svi and gleason, are categorical.
For this problem not all errors are equal; we want to avoid filtering out good email, while letting spam get through is not desirable but less serious in its consequences. We discuss a number of different methods for tackling this learning problem in the book.
Example 2: Prostate Cancer
The data for this example, displayed in Figure 1.11, come from a study by Stamey et al. (1989) that examined the correlation between the level of
1There was an error in these data in the first edition of this book. Subject 32 had a value of 6.1 for lweight, which translates to a 449 gm prostate! The correct value is 44.9 gm. We are grateful to Prof. Stephen W. Link for alerting us to this error.

FIGURE 1.2. Examples of handwritten digits from U.S. postal envelopes.
prostate specific antigen (PSA) and a number of clinical measures, in 97 men who were about to receive a radical prostatectomy.
The goal is to predict the log of PSA (lpsa) from a number of measurements including log cancer volume (lcavol), log prostate weight lweight, age, log of benign prostatic hyperplasia amount lbph, seminal vesicle invasion svi, log of capsular penetration lcp, Gleason score gleason, and percent of Gleason scores 4 or 5 pgg45. Figure 1.1 is a scatterplot matrix of the variables. Some correlations with lpsa are evident, but a good predictive model is difficult to construct by eye.
This is a supervised learning problem, known as a regression problem, because the outcome measurement is quantitative.
Example 3: Handwritten Digit Recognition
The data from this example come from the handwritten ZIP codes on envelopes from U.S. postal mail. Each image is a segment from a five digit ZIP code, isolating a single digit. The images are 16×16 eight-bit grayscale maps, with each pixel ranging in intensity from 0 to 255. Some sample images are shown in Figure 1.2.
The images have been normalized to have approximately the same size and orientation. The task is to predict, from the 16 × 16 matrix of pixel intensities, the identity of each image (0, 1,…, 9) quickly and accurately. If it is accurate enough, the resulting algorithm would be used as part of an automatic sorting procedure for envelopes. This is a classification problem for which the error rate needs to be kept very low to avoid misdirection of mail. In order to achieve this low error rate, some objects can be assigned to a “don’t know” category, and sorted instead by hand.
Example 4: DNA Expression Microarrays
DNA stands for deoxyribonucleic acid, and is the basic material that makes up human chromosomes. DNA microarrays measure the expression of a gene in a cell by measuring the amount of mRNA (messenger ribonucleic acid) present for that gene. Microarrays are considered a breakthrough technology in biology, facilitating the quantitative study of thousands of genes simultaneously from a single sample of cells.
Here is how a DNA microarray works. The nucleotide sequences for a few thousand genes are printed on a glass slide. A target sample and a reference sample are labeled with red and green dyes, and each are hybridized with the DNA on the slide. Through fluoroscopy, the log (red/green) intensities of RNA hybridizing at each site is measured. The result is a few thousand numbers, typically ranging from say −6 to 6, measuring the expression level of each gene in the target relative to the reference sample. Positive values indicate higher expression in the target versus the reference, and vice versa for negative values.
A gene expression dataset collects together the expression values from a series of DNA microarray experiments, with each column representing an experiment. There are therefore several thousand rows representing individual genes, and tens of columns representing samples: in the particular example of Figure 1.3 there are 6830 genes (rows) and 64 samples (columns), although for clarity only a random sample of 100 rows are shown. The figure displays the data set as a heat map, ranging from green (negative) to red (positive). The samples are 64 cancer tumors from different patients.
The challenge here is to understand how the genes and samples are organized. Typical questions include the following:
- which samples are most similar to each other, in terms of their expression profiles across genes?
- which genes are most similar to each other, in terms of their expression profiles across samples?
- do certain genes show very high (or low) expression for certain cancer samples?
We could view this task as a regression problem, with two categorical predictor variables—genes and samples—with the response variable being the level of expression. However, it is probably more useful to view it as unsupervised learning problem. For example, for question (a) above, we think of the samples as points in 6830–dimensional space, which we want to cluster together in some way.
6 1. Introduction

FIGURE 1.3. DNA microarray data: expression matrix of 6830 genes (rows) and 64 samples (columns), for the human tumor data. Only a random sample of 100 rows are shown. The display is a heat map, ranging from bright green (negative, under expressed) to bright red (positive, over expressed). Missing values are gray. The rows and columns are displayed in a randomly chosen order.
Who Should Read this Book
This book is designed for researchers and students in a broad variety of fields: statistics, artificial intelligence, engineering, finance and others. We expect that the reader will have had at least one elementary course in statistics, covering basic topics including linear regression.
We have not attempted to write a comprehensive catalog of learning methods, but rather to describe some of the most important techniques. Equally notable, we describe the underlying concepts and considerations by which a researcher can judge a learning method. We have tried to write this book in an intuitive fashion, emphasizing concepts rather than mathematical details.
As statisticians, our exposition will naturally reflect our backgrounds and areas of expertise. However in the past eight years we have been attending conferences in neural networks, data mining and machine learning, and our thinking has been heavily influenced by these exciting fields. This influence is evident in our current research, and in this book.
How This Book is Organized
Our view is that one must understand simple methods before trying to grasp more complex ones. Hence, after giving an overview of the supervising learning problem in Chapter 2, we discuss linear methods for regression and classification in Chapters 3 and 4. In Chapter 5 we describe splines, wavelets and regularization/penalization methods for a single predictor, while Chapter 6 covers kernel methods and local regression. Both of these sets of methods are important building blocks for high-dimensional learning techniques. Model assessment and selection is the topic of Chapter 7, covering the concepts of bias and variance, overfitting and methods such as cross-validation for choosing models. Chapter 8 discusses model inference and averaging, including an overview of maximum likelihood, Bayesian inference and the bootstrap, the EM algorithm, Gibbs sampling and bagging, A related procedure called boosting is the focus of Chapter 10.
In Chapters 9–13 we describe a series of structured methods for supervised learning, with Chapters 9 and 11 covering regression and Chapters 12 and 13 focusing on classification. Chapter 14 describes methods for unsupervised learning. Two recently proposed techniques, random forests and ensemble learning, are discussed in Chapters 15 and 16. We describe undirected graphical models in Chapter 17 and finally we study highdimensional problems in Chapter 18.
At the end of each chapter we discuss computational considerations important for data mining applications, including how the computations scale with the number of observations and predictors. Each chapter ends with Bibliographic Notes giving background references for the material.
8 1. Introduction
We recommend that Chapters 1–4 be first read in sequence. Chapter 7 should also be considered mandatory, as it covers central concepts that pertain to all learning methods. With this in mind, the rest of the book can be read sequentially, or sampled, depending on the reader’s interest.
The symbol indicates a technically difficult section, one that can be skipped without interrupting the flow of the discussion.
Book Website
The website for this book is located at
http://www-stat.stanford.edu/ElemStatLearn
It contains a number of resources, including many of the datasets used in this book.
Note for Instructors
We have successively used the first edition of this book as the basis for a two-quarter course, and with the additional materials in this second edition, it could even be used for a three-quarter sequence. Exercises are provided at the end of each chapter. It is important for students to have access to good software tools for these topics. We used the R and S-PLUS programming languages in our courses.
This is page 9 Printer: Opaque this
2 Overview of Supervised Learning
2.1 Introduction
The first three examples described in Chapter 1 have several components in common. For each there is a set of variables that might be denoted as inputs, which are measured or preset. These have some influence on one or more outputs. For each example the goal is to use the inputs to predict the values of the outputs. This exercise is called supervised learning.
We have used the more modern language of machine learning. In the statistical literature the inputs are often called the predictors, a term we will use interchangeably with inputs, and more classically the independent variables. In the pattern recognition literature the term features is preferred, which we use as well. The outputs are called the responses, or classically the dependent variables.
2.2 Variable Types and Terminology
The outputs vary in nature among the examples. In the glucose prediction example, the output is a quantitative measurement, where some measurements are bigger than others, and measurements close in value are close in nature. In the famous Iris discrimination example due to R. A. Fisher, the output is qualitative (species of Iris) and assumes values in a finite set G = {Virginica, Setosa and Versicolor}. In the handwritten digit example the output is one of 10 different digit classes: G = {0, 1,…, 9}. In both of
these there is no explicit ordering in the classes, and in fact often descriptive labels rather than numbers are used to denote the classes. Qualitative variables are also referred to as categorical or discrete variables as well as factors.
For both types of outputs it makes sense to think of using the inputs to predict the output. Given some specific atmospheric measurements today and yesterday, we want to predict the ozone level tomorrow. Given the grayscale values for the pixels of the digitized image of the handwritten digit, we want to predict its class label.
This distinction in output type has led to a naming convention for the prediction tasks: regression when we predict quantitative outputs, and classification when we predict qualitative outputs. We will see that these two tasks have a lot in common, and in particular both can be viewed as a task in function approximation.
Inputs also vary in measurement type; we can have some of each of qualitative and quantitative input variables. These have also led to distinctions in the types of methods that are used for prediction: some methods are defined most naturally for quantitative inputs, some most naturally for qualitative and some for both.
A third variable type is ordered categorical, such as small, medium and large, where there is an ordering between the values, but no metric notion is appropriate (the difference between medium and small need not be the same as that between large and medium). These are discussed further in Chapter 4.
Qualitative variables are typically represented numerically by codes. The easiest case is when there are only two classes or categories, such as “success” or “failure,” “survived” or “died.” These are often represented by a single binary digit or bit as 0 or 1, or else by −1 and 1. For reasons that will become apparent, such numeric codes are sometimes referred to as targets. When there are more than two categories, several alternatives are available. The most useful and commonly used coding is via dummy variables. Here a K-level qualitative variable is represented by a vector of K binary variables or bits, only one of which is “on” at a time. Although more compact coding schemes are possible, dummy variables are symmetric in the levels of the factor.
We will typically denote an input variable by the symbol X. If X is a vector, its components can be accessed by subscripts Xj . Quantitative outputs will be denoted by Y , and qualitative outputs by G (for group). We use uppercase letters such as X, Y or G when referring to the generic aspects of a variable. Observed values are written in lowercase; hence the ith observed value of X is written as xi (where xi is again a scalar or vector). Matrices are represented by bold uppercase letters; for example, a set of N input p-vectors xi, i = 1,…,N would be represented by the N ×p matrix X. In general, vectors will not be bold, except when they have N components; this convention distinguishes a p-vector of inputs xi for the ith observation from the N-vector xj consisting of all the observations on variable Xj . Since all vectors are assumed to be column vectors, the ith row of X is xT i , the vector transpose of xi.
For the moment we can loosely state the learning task as follows: given the value of an input vector X, make a good prediction of the output Y, denoted by Yˆ (pronounced “y-hat”). If Y takes values in IR then so should Yˆ ; likewise for categorical outputs, Gˆ should take values in the same set G associated with G.
For a two-class G, one approach is to denote the binary coded target as Y , and then treat it as a quantitative output. The predictions Yˆ will typically lie in [0, 1], and we can assign to Gˆ the class label according to whether ˆy > 0.5. This approach generalizes to K-level qualitative outputs as well.
We need data to construct prediction rules, often a lot of it. We thus suppose we have available a set of measurements (xi, yi) or (xi, gi), i = 1,…,N, known as the training data, with which to construct our prediction rule.
2.3 Two Simple Approaches to Prediction: Least Squares and Nearest Neighbors
In this section we develop two simple but powerful prediction methods: the linear model fit by least squares and the k-nearest-neighbor prediction rule. The linear model makes huge assumptions about structure and yields stable but possibly inaccurate predictions. The method of k-nearest neighbors makes very mild structural assumptions: its predictions are often accurate but can be unstable.
2.3.1 Linear Models and Least Squares
The linear model has been a mainstay of statistics for the past 30 years and remains one of our most important tools. Given a vector of inputs XT = (X1, X2,…,Xp), we predict the output Y via the model
\[ \hat{Y} = \hat{\beta}\_0 + \sum\_{j=1}^p X\_j \hat{\beta}\_j. \tag{2.1} \]
The term βˆ0 is the intercept, also known as the bias in machine learning. Often it is convenient to include the constant variable 1 in X, include βˆ0 in the vector of coefficients βˆ, and then write the linear model in vector form as an inner product
\[ \hat{Y} = X^T \hat{\beta}, \tag{2.2} \]
where XT denotes vector or matrix transpose (X being a column vector). Here we are modeling a single output, so Yˆ is a scalar; in general Yˆ can be a K–vector, in which case β would be a p× K matrix of coefficients. In the (p + 1)-dimensional input–output space, (X, Yˆ ) represents a hyperplane. If the constant is included in X, then the hyperplane includes the origin and is a subspace; if not, it is an affine set cutting the Y -axis at the point (0, βˆ0). From now on we assume that the intercept is included in βˆ.
Viewed as a function over the p-dimensional input space, f(X) = XT β is linear, and the gradient f′ (X) = β is a vector in input space that points in the steepest uphill direction.
How do we fit the linear model to a set of training data? There are many different methods, but by far the most popular is the method of least squares. In this approach, we pick the coefficients β to minimize the residual sum of squares
\[\text{RSS}(\beta) = \sum\_{i=1}^{N} (y\_i - x\_i^T \beta)^2. \tag{2.3}\]
RSS(β) is a quadratic function of the parameters, and hence its minimum always exists, but may not be unique. The solution is easiest to characterize in matrix notation. We can write
\[\text{RSS}(\beta) = (\mathbf{y} - \mathbf{X}\beta)^T (\mathbf{y} - \mathbf{X}\beta),\tag{2.4}\]
where X is an N × p matrix with each row an input vector, and y is an N-vector of the outputs in the training set. Differentiating w.r.t. β we get the normal equations
\[\mathbf{X}^T(\mathbf{y} - \mathbf{X}\boldsymbol{\beta}) = 0. \tag{2.5}\]
If XT X is nonsingular, then the unique solution is given by
\[ \hat{\boldsymbol{\beta}} = (\mathbf{X}^T \mathbf{X})^{-1} \mathbf{X}^T \mathbf{y}, \tag{2.6} \]
and the fitted value at the ith input xi is ˆyi = ˆy(xi) = xT i βˆ. At an arbitrary input x0 the prediction is ˆy(x0) = xT 0 βˆ. The entire fitted surface is characterized by the p parameters βˆ. Intuitively, it seems that we do not need a very large data set to fit such a model.
Let’s look at an example of the linear model in a classification context. Figure 2.1 shows a scatterplot of training data on a pair of inputs X1 and X2. The data are simulated, and for the present the simulation model is not important. The output class variable G has the values BLUE or ORANGE, and is represented as such in the scatterplot. There are 100 points in each of the two classes. The linear regression model was fit to these data, with the response Y coded as 0 for BLUE and 1 for ORANGE. The fitted values Yˆ are converted to a fitted class variable Gˆ according to the rule
\[ \hat{G} = \begin{cases} \text{ORAME} & \text{if } \hat{Y} > 0.5, \\ \text{BLUE} & \text{if } \hat{Y} \le 0.5. \end{cases} \tag{2.7} \]

the component Gaussians to use, and then generates an observation from the chosen density. In the case of one Gaussian per class, we will see in Chapter 4 that a linear decision boundary is the best one can do, and that our estimate is almost optimal. The region of overlap is inevitable, and future data to be predicted will be plagued by this overlap as well.
In the case of mixtures of tightly clustered Gaussians the story is different. A linear decision boundary is unlikely to be optimal, and in fact is not. The optimal decision boundary is nonlinear and disjoint, and as such will be much more difficult to obtain.
We now look at another classification and regression procedure that is in some sense at the opposite end of the spectrum to the linear model, and far better suited to the second scenario.
2.3.2 Nearest-Neighbor Methods
Nearest-neighbor methods use those observations in the training set T closest in input space to x to form Yˆ . Specifically, the k-nearest neighbor fit for Yˆ is defined as follows:
\[\hat{Y}(x) = \frac{1}{k} \sum\_{x\_i \in N\_k(x)} y\_i,\tag{2.8}\]
where Nk(x) is the neighborhood of x defined by the k closest points xi in the training sample. Closeness implies a metric, which for the moment we assume is Euclidean distance. So, in words, we find the k observations with xi closest to x in input space, and average their responses.
In Figure 2.2 we use the same training data as in Figure 2.1, and use 15-nearest-neighbor averaging of the binary coded response as the method of fitting. Thus Yˆ is the proportion of ORANGE’s in the neighborhood, and so assigning class ORANGE to Gˆ if Y > ˆ 0.5 amounts to a majority vote in the neighborhood. The colored regions indicate all those points in input space classified as BLUE or ORANGE by such a rule, in this case found by evaluating the procedure on a fine grid in input space. We see that the decision boundaries that separate the BLUE from the ORANGE regions are far more irregular, and respond to local clusters where one class dominates.
Figure 2.3 shows the results for 1-nearest-neighbor classification: Yˆ is assigned the value yℓ of the closest point xℓ to x in the training data. In this case the regions of classification can be computed relatively easily, and correspond to a Voronoi tessellation of the training data. Each point xi has an associated tile bounding the region for which it is the closest input point. For all points x in the tile, Gˆ(x) = gi. The decision boundary is even more irregular than before.
The method of k-nearest-neighbor averaging is defined in exactly the same way for regression of a quantitative output Y , although k = 1 would be an unlikely choice.


1−Nearest Neighbor Classifier
FIGURE 2.3. The same classification example in two dimensions as in Figure 2.1. The classes are coded as a binary variable (BLUE = 0, ORANGE = 1), and then predicted by 1-nearest-neighbor classification.
2.3.3 From Least Squares to Nearest Neighbors
The linear decision boundary from least squares is very smooth, and apparently stable to fit. It does appear to rely heavily on the assumption that a linear decision boundary is appropriate. In language we will develop shortly, it has low variance and potentially high bias.
On the other hand, the k-nearest-neighbor procedures do not appear to rely on any stringent assumptions about the underlying data, and can adapt to any situation. However, any particular subregion of the decision boundary depends on a handful of input points and their particular positions, and is thus wiggly and unstable—high variance and low bias.
Each method has its own situations for which it works best; in particular linear regression is more appropriate for Scenario 1 above, while nearest neighbors are more suitable for Scenario 2. The time has come to expose the oracle! The data in fact were simulated from a model somewhere between the two, but closer to Scenario 2. First we generated 10 means mk from a bivariate Gaussian distribution N((1, 0)T , I) and labeled this class BLUE. Similarly, 10 more were drawn from N((0, 1)T , I) and labeled class ORANGE. Then for each class we generated 100 observations as follows: for each observation, we picked an mk at random with probability 1/10, and

FIGURE 2.4. Misclassification curves for the simulation example used in Figures 2.1, 2.2 and 2.3. A single training sample of size 200 was used, and a test sample of size 10, 000. The orange curves are test and the blue are training error for k-nearest-neighbor classification. The results for linear regression are the bigger orange and blue squares at three degrees of freedom. The purple line is the optimal Bayes error rate.
then generated a N(mk, I/5), thus leading to a mixture of Gaussian clusters for each class. Figure 2.4 shows the results of classifying 10,000 new observations generated from the model. We compare the results for least squares and those for k-nearest neighbors for a range of values of k.
A large subset of the most popular techniques in use today are variants of these two simple procedures. In fact 1-nearest-neighbor, the simplest of all, captures a large percentage of the market for low-dimensional problems. The following list describes some ways in which these simple procedures have been enhanced:
- Kernel methods use weights that decrease smoothly to zero with distance from the target point, rather than the effective 0/1 weights used by k-nearest neighbors.
- In high-dimensional spaces the distance kernels are modified to emphasize some variable more than others.
- 18 2. Overview of Supervised Learning
- Local regression fits linear models by locally weighted least squares, rather than fitting constants locally.
- Linear models fit to a basis expansion of the original inputs allow arbitrarily complex models.
- Projection pursuit and neural network models consist of sums of nonlinearly transformed linear models.
2.4 Statistical Decision Theory
In this section we develop a small amount of theory that provides a framework for developing models such as those discussed informally so far. We first consider the case of a quantitative output, and place ourselves in the world of random variables and probability spaces. Let X ∈ IRp denote a real valued random input vector, and Y ∈ IR a real valued random output variable, with joint distribution Pr(X, Y ). We seek a function f(X) for predicting Y given values of the input X. This theory requires a loss function L(Y,f(X)) for penalizing errors in prediction, and by far the most common and convenient is squared error loss: L(Y,f(X)) = (Y − f(X))2. This leads us to a criterion for choosing f,
\[\text{EPE}(f) \quad = \text{ E}(Y - f(X))^2 \tag{2.9}\]
\[=\int \left[y - f(x)\right]^2 \Pr(dx, dy),\tag{2.10}\]
the expected (squared) prediction error . By conditioning1 on X, we can write EPE as
\[\text{EPE}(f) = \text{E}\_X \text{E}\_{Y|X} \left( [Y - f(X)]^2 | X \right) \tag{2.11}\]
and we see that it suffices to minimize EPE pointwise:
\[f(x) = \operatorname{argmin}\_{c} \mathcal{E}\_{Y|X} \left( [Y - c]^2 | X = x \right). \tag{2.12}\]
The solution is
\[f(x) = \mathcal{E}(Y|X=x),\tag{2.13}\]
the conditional expectation, also known as the regression function. Thus the best prediction of Y at any point X = x is the conditional mean, when best is measured by average squared error.
The nearest-neighbor methods attempt to directly implement this recipe using the training data. At each point x, we might ask for the average of all
1Conditioning here amounts to factoring the joint density Pr(X, Y ) = Pr(Y |X)Pr(X) where Pr(Y |X) = Pr(Y,X)/Pr(X), and splitting up the bivariate integral accordingly.
those yis with input xi = x. Since there is typically at most one observation at any point x, we settle for
\[\hat{f}(x) = \text{Ave}(y\_i | x\_i \in N\_k(x)),\tag{2.14}\]
where “Ave” denotes average, and Nk(x) is the neighborhood containing the k points in T closest to x. Two approximations are happening here:
- expectation is approximated by averaging over sample data;
- conditioning at a point is relaxed to conditioning on some region “close” to the target point.
For large training sample size N, the points in the neighborhood are likely to be close to x, and as k gets large the average will get more stable. In fact, under mild regularity conditions on the joint probability distribution Pr(X, Y ), one can show that as N, k → ∞ such that k/N → 0, ˆf(x) → E(Y |X = x). In light of this, why look further, since it seems we have a universal approximator? We often do not have very large samples. If the linear or some more structured model is appropriate, then we can usually get a more stable estimate than k-nearest neighbors, although such knowledge has to be learned from the data as well. There are other problems though, sometimes disastrous. In Section 2.5 we see that as the dimension p gets large, so does the metric size of the k-nearest neighborhood. So settling for nearest neighborhood as a surrogate for conditioning will fail us miserably. The convergence above still holds, but the rate of convergence decreases as the dimension increases.
How does linear regression fit into this framework? The simplest explanation is that one assumes that the regression function f(x) is approximately linear in its arguments:
\[f(x) \approx x^T \beta. \tag{2.15}\]
This is a model-based approach—we specify a model for the regression function. Plugging this linear model for f(x) into EPE (2.9) and differentiating we can solve for β theoretically:
\[\beta = [\mathbf{E}(XX^T)]^{-1}\mathbf{E}(XY). \tag{2.16}\]
Note we have not conditioned on X; rather we have used our knowledge of the functional relationship to pool over values of X. The least squares solution (2.6) amounts to replacing the expectation in (2.16) by averages over the training data.
So both k-nearest neighbors and least squares end up approximating conditional expectations by averages. But they differ dramatically in terms of model assumptions:
• Least squares assumes f(x) is well approximated by a globally linear function.
- 20 2. Overview of Supervised Learning
- k-nearest neighbors assumes f(x) is well approximated by a locally constant function.
Although the latter seems more palatable, we have already seen that we may pay a price for this flexibility.
Many of the more modern techniques described in this book are model based, although far more flexible than the rigid linear model. For example, additive models assume that
\[f(X) = \sum\_{j=1}^{p} f\_j(X\_j). \tag{2.17}\]
This retains the additivity of the linear model, but each coordinate function fj is arbitrary. It turns out that the optimal estimate for the additive model uses techniques such as k-nearest neighbors to approximate univariate conditional expectations simultaneously for each of the coordinate functions. Thus the problems of estimating a conditional expectation in high dimensions are swept away in this case by imposing some (often unrealistic) model assumptions, in this case additivity.
Are we happy with the criterion (2.11)? What happens if we replace the L2 loss function with the L1: E|Y − f(X)|? The solution in this case is the conditional median,
\[\hat{f}(x) = \text{median}(Y|X=x),\tag{2.18}\]
which is a different measure of location, and its estimates are more robust than those for the conditional mean. L1 criteria have discontinuities in their derivatives, which have hindered their widespread use. Other more resistant loss functions will be mentioned in later chapters, but squared error is analytically convenient and the most popular.
What do we do when the output is a categorical variable G? The same paradigm works here, except we need a different loss function for penalizing prediction errors. An estimate Gˆ will assume values in G, the set of possible classes. Our loss function can be represented by a K × K matrix L, where K = card(G). L will be zero on the diagonal and nonnegative elsewhere, where L(k, ℓ) is the price paid for classifying an observation belonging to class Gk as Gℓ. Most often we use the zero–one loss function, where all misclassifications are charged a single unit. The expected prediction error is
\[\text{EPE} = \text{E}[L(G, \hat{G}(X))],\tag{2.19}\]
where again the expectation is taken with respect to the joint distribution Pr(G, X). Again we condition, and can write EPE as
\[\text{EPE} = \text{E}\_X \sum\_{k=1}^{K} L[\mathcal{G}\_k, \mathring{G}(X)] \text{Pr}(\mathcal{G}\_k | X) \tag{2.20}\]

\[\mathring{G}(x) = \operatorname{argmin}\_{g \in \mathcal{G}} \sum\_{k=1}^{K} L(\mathcal{G}\_k, g) \text{Pr}(\mathcal{G}\_k | X = x). \tag{2.21}\]
\[\ddot{G}(x) = \operatorname{argmin}\_{g \in \mathcal{G}} [1 - \Pr(g|X = x)] \tag{2.22}\]
\[\hat{G}(X) = \mathcal{G}\_k \text{ if } \Pr(\mathcal{G}\_k | X = x) = \max\_{g \in \mathcal{G}} \Pr(g | X = x). \tag{2.23}\]
Again we see that the k-nearest neighbor classifier directly approximates this solution—a majority vote in a nearest neighborhood amounts to exactly this, except that conditional probability at a point is relaxed to conditional probability within a neighborhood of a point, and probabilities are estimated by training-sample proportions.
Suppose for a two-class problem we had taken the dummy-variable approach and coded G via a binary Y , followed by squared error loss estimation. Then ˆf(X) = E(Y |X) = Pr(G = G1|X) if G1 corresponded to Y = 1. Likewise for a K-class problem, E(Yk|X) = Pr(G = Gk|X). This shows that our dummy-variable regression procedure, followed by classification to the largest fitted value, is another way of representing the Bayes classifier. Although this theory is exact, in practice problems can occur, depending on the regression model used. For example, when linear regression is used, ˆf(X) need not be positive, and we might be suspicious about using it as an estimate of a probability. We will discuss a variety of approaches to modeling Pr(G|X) in Chapter 4.
2.5 Local Methods in High Dimensions
We have examined two learning techniques for prediction so far: the stable but biased linear model and the less stable but apparently less biased class of k-nearest-neighbor estimates. It would seem that with a reasonably large set of training data, we could always approximate the theoretically optimal conditional expectation by k-nearest-neighbor averaging, since we should be able to find a fairly large neighborhood of observations close to any x and average them. This approach and our intuition breaks down in high dimensions, and the phenomenon is commonly referred to as the curse of dimensionality (Bellman, 1961). There are many manifestations of this problem, and we will examine a few here.
Consider the nearest-neighbor procedure for inputs uniformly distributed in a p-dimensional unit hypercube, as in Figure 2.6. Suppose we send out a hypercubical neighborhood about a target point to capture a fraction r of the observations. Since this corresponds to a fraction r of the unit volume, the expected edge length will be ep(r) = r1/p. In ten dimensions e10(0.01) = 0.63 and e10(0.1) = 0.80, while the entire range for each input is only 1.0. So to capture 1% or 10% of the data to form a local average, we must cover 63% or 80% of the range of each input variable. Such neighborhoods are no longer “local.” Reducing r dramatically does not help much either, since the fewer observations we average, the higher is the variance of our fit.
Another consequence of the sparse sampling in high dimensions is that all sample points are close to an edge of the sample. Consider N data points uniformly distributed in a p-dimensional unit ball centered at the origin. Suppose we consider a nearest-neighbor estimate at the origin. The median

FIGURE 2.6. The curse of dimensionality is well illustrated by a subcubical neighborhood for uniform data in a unit cube. The figure on the right shows the side-length of the subcube needed to capture a fraction r of the volume of the data, for different dimensions p. In ten dimensions we need to cover 80% of the range of each coordinate to capture 10% of the data.
distance from the origin to the closest data point is given by the expression
\[d(p,N) = \left(1 - \frac{1}{2}^{1/N}\right)^{1/p} \tag{2.24}\]
(Exercise 2.3). A more complicated expression exists for the mean distance to the closest point. For N = 500, p = 10 , d(p, N) ≈ 0.52, more than halfway to the boundary. Hence most data points are closer to the boundary of the sample space than to any other data point. The reason that this presents a problem is that prediction is much more difficult near the edges of the training sample. One must extrapolate from neighboring sample points rather than interpolate between them.
Another manifestation of the curse is that the sampling density is proportional to N1/p, where p is the dimension of the input space and N is the sample size. Thus, if N1 = 100 represents a dense sample for a single input problem, then N10 = 10010 is the sample size required for the same sampling density with 10 inputs. Thus in high dimensions all feasible training samples sparsely populate the input space.
Let us construct another uniform example. Suppose we have 1000 training examples xi generated uniformly on [−1, 1]p. Assume that the true relationship between X and Y is
\[Y = f(X) = e^{-8||X||^2},\]
without any measurement error. We use the 1-nearest-neighbor rule to predict y0 at the test-point x0 = 0. Denote the training set by T . We can
compute the expected prediction error at x0 for our procedure, averaging over all such samples of size 1000. Since the problem is deterministic, this is the mean squared error (MSE) for estimating f(0):
\[\begin{aligned} \text{MSE}(x\_0) &= \text{E}\_T[f(x\_0) - \hat{y}\_0]^2 \\ &= \text{E}\_T[\hat{y}\_0 - \text{E}\_T(\hat{y}\_0)]^2 + [\text{E}\_T(\hat{y}\_0) - f(x\_0)]^2 \\ &= \text{Var}\_T(\hat{y}\_0) + \text{Bias}^2(\hat{y}\_0). \end{aligned} \tag{2.25}\]
Figure 2.7 illustrates the setup. We have broken down the MSE into two components that will become familiar as we proceed: variance and squared bias. Such a decomposition is always possible and often useful, and is known as the bias–variance decomposition. Unless the nearest neighbor is at 0, yˆ0 will be smaller than f(0) in this example, and so the average estimate will be biased downward. The variance is due to the sampling variance of the 1-nearest neighbor. In low dimensions and with N = 1000, the nearest neighbor is very close to 0, and so both the bias and variance are small. As the dimension increases, the nearest neighbor tends to stray further from the target point, and both bias and variance are incurred. By p = 10, for more than 99% of the samples the nearest neighbor is a distance greater than 0.5 from the origin. Thus as p increases, the estimate tends to be 0 more often than not, and hence the MSE levels off at 1.0, as does the bias, and the variance starts dropping (an artifact of this example).
Although this is a highly contrived example, similar phenomena occur more generally. The complexity of functions of many variables can grow exponentially with the dimension, and if we wish to be able to estimate such functions with the same accuracy as function in low dimensions, then we need the size of our training set to grow exponentially as well. In this example, the function is a complex interaction of all p variables involved.
The dependence of the bias term on distance depends on the truth, and it need not always dominate with 1-nearest neighbor. For example, if the function always involves only a few dimensions as in Figure 2.8, then the variance can dominate instead.
Suppose, on the other hand, that we know that the relationship between Y and X is linear,
\[Y = X^T \beta + \varepsilon,\tag{2.26}\]
where ε ∼ N(0, σ2) and we fit the model by least squares to the training data. For an arbitrary test point x0, we have ˆy0 = xT 0 βˆ, which can be written as ˆy0 = xT 0 β + (N i=1 ℓi(x0)εi, where ℓi(x0) is the ith element of X(XT X)−1x0. Since under this model the least squares estimates are

FIGURE 2.7. A simulation example, demonstrating the curse of dimensionality and its effect on MSE, bias and variance. The input features are uniformly distributed in [−1, 1]p for p = 1,…, 10 The top left panel shows the target function (no noise) in IR: f(X) = e−8||X||2 , and demonstrates the error that 1-nearest neighbor makes in estimating f(0). The training point is indicated by the blue tick mark. The top right panel illustrates why the radius of the 1-nearest neighborhood increases with dimension p. The lower left panel shows the average radius of the 1-nearest neighborhoods. The lower-right panel shows the MSE, squared bias and variance curves as a function of dimension p.

FIGURE 2.8. A simulation example with the same setup as in Figure 2.7. Here the function is constant in all but one dimension: F(X) = 1 2 (X1 + 1)3. The variance dominates.
unbiased, we find that
\[\begin{aligned} \text{EPE}(x\_0) &= \text{E}\_{y\_0|x\_0} \text{E}\_T(y\_0 - \hat{y}\_0)^2 \\ &= \text{Var}(y\_0|x\_0) + \text{E}\_T[\hat{y}\_0 - \text{E}\_T\hat{y}\_0]^2 + [\text{E}\_T\hat{y}\_0 - x\_0^T\beta]^2 \\ &= \text{Var}(y\_0|x\_0) + \text{Var}\_T(\hat{y}\_0) + \text{Bias}^2(\hat{y}\_0) \\ &= \sigma^2 + \text{E}\_T x\_0^T (\mathbf{X}^T \mathbf{X})^{-1} x\_0 \sigma^2 + 0^2. \end{aligned} \tag{2.27}\]
Here we have incurred an additional variance σ2 in the prediction error, since our target is not deterministic. There is no bias, and the variance depends on x0. If N is large and T were selected at random, and assuming E(X) = 0, then XT X → NCov(X) and
\[\begin{aligned} \text{E}\_{x\_0} \text{EPE}(x\_0) &\sim \text{E}\_{x\_0} x\_0^T \text{Cov}(X)^{-1} x\_0 \sigma^2 / N + \sigma^2 \\ &= \text{trace} [\text{Cov}(X)^{-1} \text{Cov}(x\_0)] \sigma^2 / N + \sigma^2 \\ &= \sigma^2 (p/N) + \sigma^2. \end{aligned} \tag{2.28}\]
Here we see that the expected EPE increases linearly as a function of p, with slope σ2/N. If N is large and/or σ2 is small, this growth in variance is negligible (0 in the deterministic case). By imposing some heavy restrictions on the class of models being fitted, we have avoided the curse of dimensionality. Some of the technical details in (2.27) and (2.28) are derived in Exercise 2.5.
Figure 2.9 compares 1-nearest neighbor vs. least squares in two situations, both of which have the form Y = f(X) + ε, X uniform as before, and ε ∼ N(0, 1). The sample size is N = 500. For the orange curve, f(x)

Expected Prediction Error of 1NN vs. OLS
FIGURE 2.9. The curves show the expected prediction error (at x0 = 0) for 1-nearest neighbor relative to least squares for the model Y = f(X) + ε. For the orange curve, f(x) = x1, while for the blue curve f(x) = 1 2 (x1 + 1)3.
is linear in the first coordinate, for the blue curve, cubic as in Figure 2.8. Shown is the relative EPE of 1-nearest neighbor to least squares, which appears to start at around 2 for the linear case. Least squares is unbiased in this case, and as discussed above the EPE is slightly above σ2 = 1. The EPE for 1-nearest neighbor is always above 2, since the variance of ˆf(x0) in this case is at least σ2, and the ratio increases with dimension as the nearest neighbor strays from the target point. For the cubic case, least squares is biased, which moderates the ratio. Clearly we could manufacture examples where the bias of least squares would dominate the variance, and the 1-nearest neighbor would come out the winner.
By relying on rigid assumptions, the linear model has no bias at all and negligible variance, while the error in 1-nearest neighbor is substantially larger. However, if the assumptions are wrong, all bets are off and the 1-nearest neighbor may dominate. We will see that there is a whole spectrum of models between the rigid linear models and the extremely flexible 1-nearest-neighbor models, each with their own assumptions and biases, which have been proposed specifically to avoid the exponential growth in complexity of functions in high dimensions by drawing heavily on these assumptions.
Before we delve more deeply, let us elaborate a bit on the concept of statistical models and see how they fit into the prediction framework.
2.6 Statistical Models, Supervised Learning and Function Approximation
Our goal is to find a useful approximation ˆf(x) to the function f(x) that underlies the predictive relationship between the inputs and outputs. In the theoretical setting of Section 2.4, we saw that squared error loss lead us to the regression function f(x) = E(Y |X = x) for a quantitative response. The class of nearest-neighbor methods can be viewed as direct estimates of this conditional expectation, but we have seen that they can fail in at least two ways:
- if the dimension of the input space is high, the nearest neighbors need not be close to the target point, and can result in large errors;
- if special structure is known to exist, this can be used to reduce both the bias and the variance of the estimates.
We anticipate using other classes of models for f(x), in many cases specifically designed to overcome the dimensionality problems, and here we discuss a framework for incorporating them into the prediction problem.
2.6.1 A Statistical Model for the Joint Distribution Pr(X, Y )
Suppose in fact that our data arose from a statistical model
\[Y = f(X) + \varepsilon,\tag{2.29}\]
where the random error ε has E(ε) = 0 and is independent of X. Note that for this model, f(x) = E(Y |X = x), and in fact the conditional distribution Pr(Y |X) depends on X only through the conditional mean f(x).
The additive error model is a useful approximation to the truth. For most systems the input–output pairs (X, Y ) will not have a deterministic relationship Y = f(X). Generally there will be other unmeasured variables that also contribute to Y , including measurement error. The additive model assumes that we can capture all these departures from a deterministic relationship via the error ε.
For some problems a deterministic relationship does hold. Many of the classification problems studied in machine learning are of this form, where the response surface can be thought of as a colored map defined in IRp. The training data consist of colored examples from the map {xi, gi}, and the goal is to be able to color any point. Here the function is deterministic, and the randomness enters through the x location of the training points. For the moment we will not pursue such problems, but will see that they can be handled by techniques appropriate for the error-based models.
The assumption in (2.29) that the errors are independent and identically distributed is not strictly necessary, but seems to be at the back of our mind when we average squared errors uniformly in our EPE criterion. With such a model it becomes natural to use least squares as a data criterion for model estimation as in (2.1). Simple modifications can be made to avoid the independence assumption; for example, we can have Var(Y |X = x) = σ(x), and now both the mean and variance depend on X. In general the conditional distribution Pr(Y |X) can depend on X in complicated ways, but the additive error model precludes these.
So far we have concentrated on the quantitative response. Additive error models are typically not used for qualitative outputs G; in this case the target function p(X) is the conditional density Pr(G|X), and this is modeled directly. For example, for two-class data, it is often reasonable to assume that the data arise from independent binary trials, with the probability of one particular outcome being p(X), and the other 1 − p(X). Thus if Y is the 0–1 coded version of G, then E(Y |X = x) = p(x), but the variance depends on x as well: Var(Y |X = x) = p(x)[1 − p(x)].
2.6.2 Supervised Learning
Before we launch into more statistically oriented jargon, we present the function-fitting paradigm from a machine learning point of view. Suppose for simplicity that the errors are additive and that the model Y = f(X)+ε is a reasonable assumption. Supervised learning attempts to learn f by example through a teacher. One observes the system under study, both the inputs and outputs, and assembles a training set of observations T = (xi, yi), i = 1,…,N. The observed input values to the system xi are also fed into an artificial system, known as a learning algorithm (usually a computer program), which also produces outputs ˆf(xi) in response to the inputs. The learning algorithm has the property that it can modify its input/output relationship ˆf in response to differences yi − ˆf(xi) between the original and generated outputs. This process is known as learning by example. Upon completion of the learning process the hope is that the artificial and real outputs will be close enough to be useful for all sets of inputs likely to be encountered in practice.
2.6.3 Function Approximation
The learning paradigm of the previous section has been the motivation for research into the supervised learning problem in the fields of machine learning (with analogies to human reasoning) and neural networks (with biological analogies to the brain). The approach taken in applied mathematics and statistics has been from the perspective of function approximation and estimation. Here the data pairs {xi, yi} are viewed as points in a (p + 1)-dimensional Euclidean space. The function f(x) has domain equal to the p-dimensional input subspace, and is related to the data via a model
such as yi = f(xi) + εi. For convenience in this chapter we will assume the domain is IRp, a p-dimensional Euclidean space, although in general the inputs can be of mixed type. The goal is to obtain a useful approximation to f(x) for all x in some region of IRp, given the representations in T . Although somewhat less glamorous than the learning paradigm, treating supervised learning as a problem in function approximation encourages the geometrical concepts of Euclidean spaces and mathematical concepts of probabilistic inference to be applied to the problem. This is the approach taken in this book.
Many of the approximations we will encounter have associated a set of parameters θ that can be modified to suit the data at hand. For example, the linear model f(x) = xT β has θ = β. Another class of useful approximators can be expressed as linear basis expansions
\[f\_{\theta}(x) = \sum\_{k=1}^{K} h\_k(x)\theta\_k,\tag{2.30}\]
where the hk are a suitable set of functions or transformations of the input vector x. Traditional examples are polynomial and trigonometric expansions, where for example hk might be x2 1, x1x2 2, cos(x1) and so on. We also encounter nonlinear expansions, such as the sigmoid transformation common to neural network models,
\[h\_k(x) = \frac{1}{1 + \exp(-x^T \beta\_k)}.\tag{2.31}\]
We can use least squares to estimate the parameters θ in fθ as we did for the linear model, by minimizing the residual sum-of-squares
\[\text{RSS}(\theta) = \sum\_{i=1}^{N} (y\_i - f\_{\theta}(x\_i))^2 \tag{2.32}\]
as a function of θ. This seems a reasonable criterion for an additive error model. In terms of function approximation, we imagine our parameterized function as a surface in p + 1 space, and what we observe are noisy realizations from it. This is easy to visualize when p = 2 and the vertical coordinate is the output y, as in Figure 2.10. The noise is in the output coordinate, so we find the set of parameters such that the fitted surface gets as close to the observed points as possible, where close is measured by the sum of squared vertical errors in RSS(θ).
For the linear model we get a simple closed form solution to the minimization problem. This is also true for the basis function methods, if the basis functions themselves do not have any hidden parameters. Otherwise the solution requires either iterative methods or numerical optimization.
While least squares is generally very convenient, it is not the only criterion used and in some cases would not make much sense. A more general

FIGURE 2.10. Least squares fitting of a function of two inputs. The parameters of fθ(x) are chosen so as to minimize the sum-of-squared vertical errors.
principle for estimation is maximum likelihood estimation. Suppose we have a random sample yi, i = 1,…,N from a density Prθ(y) indexed by some parameters θ. The log-probability of the observed sample is
\[L(\theta) = \sum\_{i=1}^{N} \log \Pr\_{\theta}(y\_i). \tag{2.33}\]
The principle of maximum likelihood assumes that the most reasonable values for θ are those for which the probability of the observed sample is largest. Least squares for the additive error model Y = fθ(X) + ε, with ε ∼ N(0, σ2), is equivalent to maximum likelihood using the conditional likelihood
\[\Pr(Y|X,\theta) = N(f\_{\theta}(X), \sigma^2). \tag{2.34}\]
So although the additional assumption of normality seems more restrictive, the results are the same. The log-likelihood of the data is
\[L(\theta) = -\frac{N}{2}\log(2\pi) - N\log\sigma - \frac{1}{2\sigma^2} \sum\_{i=1}^{N} (y\_i - f\_{\theta}(x\_i))^2,\tag{2.35}\]
and the only term involving θ is the last, which is RSS(θ) up to a scalar negative multiplier.
A more interesting example is the multinomial likelihood for the regression function Pr(G|X) for a qualitative output G. Suppose we have a model Pr(G = Gk|X = x) = pk,θ(x), k = 1,…,K for the conditional probability of each class given X, indexed by the parameter vector θ. Then the
log-likelihood (also referred to as the cross-entropy) is
\[L(\theta) = \sum\_{i=1}^{N} \log p\_{g\_i, \theta}(x\_i),\tag{2.36}\]
and when maximized it delivers values of θ that best conform with the data in this likelihood sense.
2.7 Structured Regression Models
We have seen that although nearest-neighbor and other local methods focus directly on estimating the function at a point, they face problems in high dimensions. They may also be inappropriate even in low dimensions in cases where more structured approaches can make more efficient use of the data. This section introduces classes of such structured approaches. Before we proceed, though, we discuss further the need for such classes.
2.7.1 Difficulty of the Problem
Consider the RSS criterion for an arbitrary function f,
\[\text{RSS}(f) = \sum\_{i=1}^{N} (y\_i - f(x\_i))^2. \tag{2.37}\]
Minimizing (2.37) leads to infinitely many solutions: any function ˆf passing through the training points (xi, yi) is a solution. Any particular solution chosen might be a poor predictor at test points different from the training points. If there are multiple observation pairs xi, yiℓ, ℓ = 1,…,Ni at each value of xi, the risk is limited. In this case, the solutions pass through the average values of the yiℓ at each xi; see Exercise 2.6. The situation is similar to the one we have already visited in Section 2.4; indeed, (2.37) is the finite sample version of (2.11) on page 18. If the sample size N were sufficiently large such that repeats were guaranteed and densely arranged, it would seem that these solutions might all tend to the limiting conditional expectation.
In order to obtain useful results for finite N, we must restrict the eligible solutions to (2.37) to a smaller set of functions. How to decide on the nature of the restrictions is based on considerations outside of the data. These restrictions are sometimes encoded via the parametric representation of fθ, or may be built into the learning method itself, either implicitly or explicitly. These restricted classes of solutions are the major topic of this book. One thing should be clear, though. Any restrictions imposed on f that lead to a unique solution to (2.37) do not really remove the ambiguity caused by the multiplicity of solutions. There are infinitely many possible restrictions, each leading to a unique solution, so the ambiguity has simply been transferred to the choice of constraint.
In general the constraints imposed by most learning methods can be described as complexity restrictions of one kind or another. This usually means some kind of regular behavior in small neighborhoods of the input space. That is, for all input points x sufficiently close to each other in some metric, ˆf exhibits some special structure such as nearly constant, linear or low-order polynomial behavior. The estimator is then obtained by averaging or polynomial fitting in that neighborhood.
The strength of the constraint is dictated by the neighborhood size. The larger the size of the neighborhood, the stronger the constraint, and the more sensitive the solution is to the particular choice of constraint. For example, local constant fits in infinitesimally small neighborhoods is no constraint at all; local linear fits in very large neighborhoods is almost a globally linear model, and is very restrictive.
The nature of the constraint depends on the metric used. Some methods, such as kernel and local regression and tree-based methods, directly specify the metric and size of the neighborhood. The nearest-neighbor methods discussed so far are based on the assumption that locally the function is constant; close to a target input x0, the function does not change much, and so close outputs can be averaged to produce ˆf(x0). Other methods such as splines, neural networks and basis-function methods implicitly define neighborhoods of local behavior. In Section 5.4.1 we discuss the concept of an equivalent kernel (see Figure 5.8 on page 157), which describes this local dependence for any method linear in the outputs. These equivalent kernels in many cases look just like the explicitly defined weighting kernels discussed above—peaked at the target point and falling away smoothly away from it.
One fact should be clear by now. Any method that attempts to produce locally varying functions in small isotropic neighborhoods will run into problems in high dimensions—again the curse of dimensionality. And conversely, all methods that overcome the dimensionality problems have an associated—and often implicit or adaptive—metric for measuring neighborhoods, which basically does not allow the neighborhood to be simultaneously small in all directions.
2.8 Classes of Restricted Estimators
The variety of nonparametric regression techniques or learning methods fall into a number of different classes depending on the nature of the restrictions imposed. These classes are not distinct, and indeed some methods fall in several classes. Here we give a brief summary, since detailed descriptions
are given in later chapters. Each of the classes has associated with it one or more parameters, sometimes appropriately called smoothing parameters, that control the effective size of the local neighborhood. Here we describe three broad classes.
2.8.1 Roughness Penalty and Bayesian Methods
Here the class of functions is controlled by explicitly penalizing RSS(f) with a roughness penalty
\[\text{PRSS}(f;\lambda) = \text{RSS}(f) + \lambda J(f). \tag{2.38}\]
The user-selected functional J(f) will be large for functions f that vary too rapidly over small regions of input space. For example, the popular cubic smoothing spline for one-dimensional inputs is the solution to the penalized least-squares criterion
\[\text{PRSS}(f;\lambda) = \sum\_{i=1}^{N} (y\_i - f(x\_i))^2 + \lambda \int [f''(x)]^2 dx. \tag{2.39}\]
The roughness penalty here controls large values of the second derivative of f, and the amount of penalty is dictated by λ ≥ 0. For λ = 0 no penalty is imposed, and any interpolating function will do, while for λ = ∞ only functions linear in x are permitted.
Penalty functionals J can be constructed for functions in any dimension, and special versions can be created to impose special structure. For example, additive penalties J(f) = (p j=1 J(fj ) are used in conjunction with additive functions f(X) = (p j=1 fj (Xj ) to create additive models with smooth coordinate functions. Similarly, projection pursuit regression models have f(X) = (M m=1 gm(αT mX) for adaptively chosen directions αm, and the functions gm can each have an associated roughness penalty.
Penalty function, or regularization methods, express our prior belief that the type of functions we seek exhibit a certain type of smooth behavior, and indeed can usually be cast in a Bayesian framework. The penalty J corresponds to a log-prior, and PRSS(f; λ) the log-posterior distribution, and minimizing PRSS(f; λ) amounts to finding the posterior mode. We discuss roughness-penalty approaches in Chapter 5 and the Bayesian paradigm in Chapter 8.
2.8.2 Kernel Methods and Local Regression
These methods can be thought of as explicitly providing estimates of the regression function or conditional expectation by specifying the nature of the local neighborhood, and of the class of regular functions fitted locally. The local neighborhood is specified by a kernel function Kλ(x0, x) which assigns weights to points x in a region around x0 (see Figure 6.1 on page 192). For example, the Gaussian kernel has a weight function based on the Gaussian density function
\[K\_{\lambda}(x\_0, x) = \frac{1}{\lambda} \exp\left[-\frac{||x - x\_0||^2}{2\lambda}\right] \tag{2.40}\]
and assigns weights to points that die exponentially with their squared Euclidean distance from x0. The parameter λ corresponds to the variance of the Gaussian density, and controls the width of the neighborhood. The simplest form of kernel estimate is the Nadaraya–Watson weighted average
\[\hat{f}(x\_0) = \frac{\sum\_{i=1}^{N} K\_{\lambda}(x\_0, x\_i) y\_i}{\sum\_{i=1}^{N} K\_{\lambda}(x\_0, x\_i)}.\tag{2.41}\]
In general we can define a local regression estimate of f(x0) as fθ ˆ(x0), where ˆθ minimizes
\[\text{RSS}(f\_{\theta}, x\_0) = \sum\_{i=1}^{N} K\_{\lambda}(x\_0, x\_i)(y\_i - f\_{\theta}(x\_i))^2,\tag{2.42}\]
and fθ is some parameterized function, such as a low-order polynomial. Some examples are:
- fθ(x) = θ0, the constant function; this results in the Nadaraya– Watson estimate in (2.41) above.
- fθ(x) = θ0 + θ1x gives the popular local linear regression model.
Nearest-neighbor methods can be thought of as kernel methods having a more data-dependent metric. Indeed, the metric for k-nearest neighbors is
\[K\_k(x, x\_0) = I(||x - x\_0|| \le ||x\_{(k)} - x\_0||),\]
where x(k) is the training observation ranked kth in distance from x0, and I(S) is the indicator of the set S.
These methods of course need to be modified in high dimensions, to avoid the curse of dimensionality. Various adaptations are discussed in Chapter 6.
2.8.3 Basis Functions and Dictionary Methods
This class of methods includes the familiar linear and polynomial expansions, but more importantly a wide variety of more flexible models. The model for f is a linear expansion of basis functions
\[f\_{\theta}(x) = \sum\_{m=1}^{M} \theta\_{m} h\_{m}(x),\tag{2.43}\]
where each of the hm is a function of the input x, and the term linear here refers to the action of the parameters θ. This class covers a wide variety of methods. In some cases the sequence of basis functions is prescribed, such as a basis for polynomials in x of total degree M.
For one-dimensional x, polynomial splines of degree K can be represented by an appropriate sequence of M spline basis functions, determined in turn by M − K knots. These produce functions that are piecewise polynomials of degree K between the knots, and joined up with continuity of degree K − 1 at the knots. As an example consider linear splines, or piecewise linear functions. One intuitively satisfying basis consists of the functions b1(x) = 1, b2(x) = x, and bm+2(x)=(x − tm)+, m = 1,…,M − 2, where tm is the mth knot, and z+ denotes positive part. Tensor products of spline bases can be used for inputs with dimensions larger than one (see Section 5.2, and the CART and MARS models in Chapter 9.) The parameter θ can be the total degree of the polynomial or the number of knots in the case of splines.
Radial basis functions are symmetric p-dimensional kernels located at particular centroids,
\[f\_{\theta}(x) = \sum\_{m=1}^{M} K\_{\lambda\_m}(\mu\_m, x)\theta\_m;\tag{2.44}\]
for example, the Gaussian kernel Kλ(µ, x) = e−||x−µ||2/2λ is popular.
Radial basis functions have centroids µm and scales λm that have to be determined. The spline basis functions have knots. In general we would like the data to dictate them as well. Including these as parameters changes the regression problem from a straightforward linear problem to a combinatorially hard nonlinear problem. In practice, shortcuts such as greedy algorithms or two stage processes are used. Section 6.7 describes some such approaches.
A single-layer feed-forward neural network model with linear output weights can be thought of as an adaptive basis function method. The model has the form
\[f\_{\theta}(x) = \sum\_{m=1}^{M} \beta\_m \sigma(\alpha\_m^T x + b\_m),\tag{2.45}\]
where σ(x)=1/(1 + e−x) is known as the activation function. Here, as in the projection pursuit model, the directions αm and the bias terms bm have to be determined, and their estimation is the meat of the computation. Details are give in Chapter 11.
These adaptively chosen basis function methods are also known as dictionary methods, where one has available a possibly infinite set or dictionary D of candidate basis functions from which to choose, and models are built up by employing some kind of search mechanism.
2.9 Model Selection and the Bias–Variance Tradeoff
All the models described above and many others discussed in later chapters have a smoothing or complexity parameter that has to be determined:
- the multiplier of the penalty term;
- the width of the kernel;
- or the number of basis functions.
In the case of the smoothing spline, the parameter λ indexes models ranging from a straight line fit to the interpolating model. Similarly a local degreem polynomial model ranges between a degree-m global polynomial when the window size is infinitely large, to an interpolating fit when the window size shrinks to zero. This means that we cannot use residual sum-of-squares on the training data to determine these parameters as well, since we would always pick those that gave interpolating fits and hence zero residuals. Such a model is unlikely to predict future data well at all.
The k-nearest-neighbor regression fit ˆfk(x0) usefully illustrates the competing forces that effect the predictive ability of such approximations. Suppose the data arise from a model Y = f(X) + ε, with E(ε) = 0 and Var(ε) = σ2. For simplicity here we assume that the values of xi in the sample are fixed in advance (nonrandom). The expected prediction error at x0, also known as test or generalization error, can be decomposed:
\[\begin{aligned} \text{EPE}\_k(x\_0) &= \text{E}[(Y - \hat{f}\_k(x\_0))^2 | X = x\_0] \\ &= \sigma^2 + \text{[Bias}^2(\hat{f}\_k(x\_0)) + \text{Var}\_T(\hat{f}\_k(x\_0))] \end{aligned} \tag{2.46}\]
\[=\left. \sigma^2 + \left[ f(x\_0) - \frac{1}{k} \sum\_{\ell=1}^k f(x\_{(\ell)}) \right]^2 + \frac{\sigma^2}{k} . \right. \tag{2.47}\]
The subscripts in parentheses (ℓ) indicate the sequence of nearest neighbors to x0.
There are three terms in this expression. The first term σ2 is the irreducible error—the variance of the new test target—and is beyond our control, even if we know the true f(x0).
The second and third terms are under our control, and make up the mean squared error of ˆfk(x0) in estimating f(x0), which is broken down into a bias component and a variance component. The bias term is the squared difference between the true mean f(x0) and the expected value of the estimate—[ET ( ˆfk(x0)) − f(x0)]2—where the expectation averages the randomness in the training data. This term will most likely increase with k, if the true function is reasonably smooth. For small k the few closest neighbors will have values f(x(ℓ)) close to f(x0), so their average should

FIGURE 2.11. Test and training error as a function of model complexity.
be close to f(x0). As k grows, the neighbors are further away, and then anything can happen.
The variance term is simply the variance of an average here, and decreases as the inverse of k. So as k varies, there is a bias–variance tradeoff.
More generally, as the model complexity of our procedure is increased, the variance tends to increase and the squared bias tends to decreases. The opposite behavior occurs as the model complexity is decreased. For k-nearest neighbors, the model complexity is controlled by k.
Typically we would like to choose our model complexity to trade bias off with variance in such a way as to minimize the test error. An obvious estimate of test error is the training error 1 N ( i(yi − yˆi)2. Unfortunately training error is not a good estimate of test error, as it does not properly account for model complexity.
Figure 2.11 shows the typical behavior of the test and training error, as model complexity is varied. The training error tends to decrease whenever we increase the model complexity, that is, whenever we fit the data harder. However with too much fitting, the model adapts itself too closely to the training data, and will not generalize well (i.e., have large test error). In that case the predictions ˆf(x0) will have large variance, as reflected in the last term of expression (2.46). In contrast, if the model is not complex enough, it will underfit and may have large bias, again resulting in poor generalization. In Chapter 7 we discuss methods for estimating the test error of a prediction method, and hence estimating the optimal amount of model complexity for a given prediction method and training set.
Bibliographic Notes
Some good general books on the learning problem are Duda et al. (2000), Bishop (1995),(Bishop, 2006), Ripley (1996), Cherkassky and Mulier (2007) and Vapnik (1996). Parts of this chapter are based on Friedman (1994b).
Exercises
Ex. 2.1 Suppose each of K-classes has an associated target tk, which is a vector of all zeros, except a one in the kth position. Show that classifying to the largest element of ˆy amounts to choosing the closest target, mink ||tk − yˆ||, if the elements of ˆy sum to one.
Ex. 2.2 Show how to compute the Bayes decision boundary for the simulation example in Figure 2.5.
Ex. 2.3 Derive equation (2.24).
Ex. 2.4 The edge effect problem discussed on page 23 is not peculiar to uniform sampling from bounded domains. Consider inputs drawn from a spherical multinormal distribution X ∼ N(0, Ip). The squared distance from any sample point to the origin has a χ2 p distribution with mean p. Consider a prediction point x0 drawn from this distribution, and let a = x0/||x0|| be an associated unit vector. Let zi = aT xi be the projection of each of the training points on this direction.
Show that the zi are distributed N(0, 1) with expected squared distance from the origin 1, while the target point has expected squared distance p from the origin.
Hence for p = 10, a randomly drawn test point is about 3.1 standard deviations from the origin, while all the training points are on average one standard deviation along direction a. So most prediction points see themselves as lying on the edge of the training set.
Ex. 2.5
- Derive equation (2.27). The last line makes use of (3.8) through a conditioning argument.
- Derive equation (2.28), making use of the cyclic property of the trace operator [trace(AB) = trace(BA)], and its linearity (which allows us to interchange the order of trace and expectation).
Ex. 2.6 Consider a regression problem with inputs xi and outputs yi, and a parameterized model fθ(x) to be fit by least squares. Show that if there are observations with tied or identical values of x, then the fit can be obtained from a reduced weighted least squares problem.
Ex. 2.7 Suppose we have a sample of N pairs xi, yi drawn i.i.d. from the distribution characterized as follows:
xi ∼ h(x), the design density yi = f(xi) + εi, f is the regression function εi ∼ (0, σ2) (mean zero, variance σ2)
We construct an estimator for f linear in the yi,
\[\hat{f}(x\_0) = \sum\_{i=1}^{N} \ell\_i(x\_0; \mathcal{X}) y\_i,\]
where the weights ℓi(x0; X ) do not depend on the yi, but do depend on the entire training sequence of xi, denoted here by X .
- Show that linear regression and k-nearest-neighbor regression are members of this class of estimators. Describe explicitly the weights ℓi(x0; X ) in each of these cases.
- Decompose the conditional mean-squared error
\[\mathcal{E}\_{\mathcal{Y}|\mathcal{X}}(f(x\_0) - \hat{f}(x\_0))^2\]
into a conditional squared bias and a conditional variance component. Like X , Y represents the entire training sequence of yi.
- Decompose the (unconditional) mean-squared error
EY,X (f(x0) − ˆf(x0))2
into a squared bias and a variance component.
- Establish a relationship between the squared biases and variances in the above two cases.
Ex. 2.8 Compare the classification performance of linear regression and k– nearest neighbor classification on the zipcode data. In particular, consider only the 2’s and 3’s, and k = 1, 3, 5, 7 and 15. Show both the training and test error for each choice. The zipcode data are available from the book website www-stat.stanford.edu/ElemStatLearn.
Ex. 2.9 Consider a linear regression model with p parameters, fit by least squares to a set of training data (x1, y1),…,(xN , yN ) drawn at random from a population. Let βˆ be the least squares estimate. Suppose we have some test data (˜x1, y˜1),…,(˜xM, y˜M) drawn at random from the same population as the training data. If Rtr(β) = 1 N (N 1 (yi − βT xi)2 and Rte(β) = 1 M (M 1 (˜yi − βT x˜i)2, prove that
\[E[R\_{tr}(\hat{\beta})] \le E[R\_{te}(\hat{\beta})],\]
Exercises 41
where the expectations are over all that is random in each expression. [This exercise was brought to our attention by Ryan Tibshirani, from a homework assignment given by Andrew Ng.]
This is page 43 Printer: Opaque this
3 Linear Methods for Regression
3.1 Introduction
A linear regression model assumes that the regression function E(Y |X) is linear in the inputs X1,…,Xp. Linear models were largely developed in the precomputer age of statistics, but even in today’s computer era there are still good reasons to study and use them. They are simple and often provide an adequate and interpretable description of how the inputs affect the output. For prediction purposes they can sometimes outperform fancier nonlinear models, especially in situations with small numbers of training cases, low signal-to-noise ratio or sparse data. Finally, linear methods can be applied to transformations of the inputs and this considerably expands their scope. These generalizations are sometimes called basis-function methods, and are discussed in Chapter 5.
In this chapter we describe linear methods for regression, while in the next chapter we discuss linear methods for classification. On some topics we go into considerable detail, as it is our firm belief that an understanding of linear methods is essential for understanding nonlinear ones. In fact, many nonlinear techniques are direct generalizations of the linear methods discussed here.
44 3. Linear Methods for Regression
3.2 Linear Regression Models and Least Squares
As introduced in Chapter 2, we have an input vector XT = (X1, X2,…,Xp), and want to predict a real-valued output Y . The linear regression model has the form
\[f(X) = \beta\_0 + \sum\_{j=1}^{p} X\_j \beta\_j. \tag{3.1}\]
The linear model either assumes that the regression function E(Y |X) is linear, or that the linear model is a reasonable approximation. Here the βj ’s are unknown parameters or coefficients, and the variables Xj can come from different sources:
- quantitative inputs;
- transformations of quantitative inputs, such as log, square-root or square;
- basis expansions, such as X2 = X2 1 , X3 = X3 1 , leading to a polynomial representation;
- numeric or “dummy” coding of the levels of qualitative inputs. For example, if G is a five-level factor input, we might create Xj , j = 1,…, 5, such that Xj = I(G = j). Together this group of Xj represents the e ( ffect of G by a set of level-dependent constants, since in 5 j=1 Xjβj , one of the Xj s is one, and the others are zero.
- interactions between variables, for example, X3 = X1 · X2.
No matter the source of the Xj , the model is linear in the parameters.
Typically we have a set of training data (x1, y1)…(xN , yN ) from which to estimate the parameters β. Each xi = (xi1, xi2,…,xip)T is a vector of feature measurements for the ith case. The most popular estimation method is least squares, in which we pick the coefficients β = (β0, β1,…, βp)T to minimize the residual sum of squares
\[\begin{aligned} \text{RSS}(\beta) &= \sum\_{i=1}^{N} (y\_i - f(x\_i))^2 \\ &= \sum\_{i=1}^{N} \left( y\_i - \beta\_0 - \sum\_{j=1}^{p} x\_{ij}\beta\_j \right)^2. \end{aligned} \tag{3.2}\]
From a statistical point of view, this criterion is reasonable if the training observations (xi, yi) represent independent random draws from their population. Even if the xi’s were not drawn randomly, the criterion is still valid if the yi’s are conditionally independent given the inputs xi. Figure 3.1 illustrates the geometry of least-squares fitting in the IRp+1-dimensional

FIGURE 3.1. Linear least squares fitting with X ∈ IR2. We seek the linear function of X that minimizes the sum of squared residuals from Y .
space occupied by the pairs (X, Y ). Note that (3.2) makes no assumptions about the validity of model (3.1); it simply finds the best linear fit to the data. Least squares fitting is intuitively satisfying no matter how the data arise; the criterion measures the average lack of fit.
How do we minimize (3.2)? Denote by X the N × (p + 1) matrix with each row an input vector (with a 1 in the first position), and similarly let y be the N-vector of outputs in the training set. Then we can write the residual sum-of-squares as
\[\text{RSS}(\beta) = (\mathbf{y} - \mathbf{X}\beta)^T (\mathbf{y} - \mathbf{X}\beta). \tag{3.3}\]
This is a quadratic function in the p + 1 parameters. Differentiating with respect to β we obtain
\[\begin{split} \frac{\partial \text{RSS}}{\partial \beta} &= -2\mathbf{X}^T(\mathbf{y} - \mathbf{X}\beta) \\ \frac{\partial^2 \text{RSS}}{\partial \beta \partial \beta^T} &= 2\mathbf{X}^T\mathbf{X}. \end{split} \tag{3.4}\]
Assuming (for the moment) that X has full column rank, and hence XT X is positive definite, we set the first derivative to zero
\[\mathbf{X}^T(\mathbf{y} - \mathbf{X}\boldsymbol{\beta}) = 0\tag{3.5}\]
to obtain the unique solution
\[ \hat{\boldsymbol{\beta}} = (\mathbf{X}^T \mathbf{X})^{-1} \mathbf{X}^T \mathbf{y}. \tag{3.6} \]

FIGURE 3.2. The N-dimensional geometry of least squares regression with two predictors. The outcome vector y is orthogonally projected onto the hyperplane spanned by the input vectors x1 and x2. The projection yˆ represents the vector of the least squares predictions
The predicted values at an input vector x0 are given by ˆf(x0) = (1 : x0)T βˆ; the fitted values at the training inputs are
\[ \hat{\mathbf{y}} = \mathbf{X}\hat{\boldsymbol{\beta}} = \mathbf{X}(\mathbf{X}^T\mathbf{X})^{-1}\mathbf{X}^T\mathbf{y},\tag{3.7} \]
where ˆyi = ˆf(xi). The matrix H = X(XT X)−1XT appearing in equation (3.7) is sometimes called the “hat” matrix because it puts the hat on y.
Figure 3.2 shows a different geometrical representation of the least squares estimate, this time in IRN . We denote the column vectors of X by x0, x1,…, xp, with x0 ≡ 1. For much of what follows, this first column is treated like any other. These vectors span a subspace of IRN , also referred to as the column space of X. We minimize RSS(β) = ∥y − Xβ∥2 by choosing βˆ so that the residual vector y − yˆ is orthogonal to this subspace. This orthogonality is expressed in (3.5), and the resulting estimate yˆ is hence the orthogonal projection of y onto this subspace. The hat matrix H computes the orthogonal projection, and hence it is also known as a projection matrix.
It might happen that the columns of X are not linearly independent, so that X is not of full rank. This would occur, for example, if two of the inputs were perfectly correlated, (e.g., x2 = 3x1). Then XT X is singular and the least squares coefficients βˆ are not uniquely defined. However, the fitted values yˆ = Xβˆ are still the projection of y onto the column space of X; there is just more than one way to express that projection in terms of the column vectors of X. The non-full-rank case occurs most often when one or more qualitative inputs are coded in a redundant fashion. There is usually a natural way to resolve the non-unique representation, by recoding and/or dropping redundant columns in X. Most regression software packages detect these redundancies and automatically implement some strategy for removing them. Rank deficiencies can also occur in signal and image analysis, where the number of inputs p can exceed the number of training cases N. In this case, the features are typically reduced by filtering or else the fitting is controlled by regularization (Section 5.2.3 and Chapter 18).
Up to now we have made minimal assumptions about the true distribution of the data. In order to pin down the sampling properties of βˆ, we now assume that the observations yi are uncorrelated and have constant variance σ2, and that the xi are fixed (non random). The variance–covariance matrix of the least squares parameter estimates is easily derived from (3.6) and is given by
\[\text{Var}(\hat{\boldsymbol{\beta}}) = (\mathbf{X}^T \mathbf{X})^{-1} \boldsymbol{\sigma}^2. \tag{3.8}\]
Typically one estimates the variance σ2 by
\[ \hat{\sigma}^2 = \frac{1}{N - p - 1} \sum\_{i=1}^{N} (y\_i - \hat{y}\_i)^2. \]
The N − p − 1 rather than N in the denominator makes ˆσ2 an unbiased estimate of σ2: E(ˆσ2) = σ2.
To draw inferences about the parameters and the model, additional assumptions are needed. We now assume that (3.1) is the correct model for the mean; that is, the conditional expectation of Y is linear in X1,…,Xp. We also assume that the deviations of Y around its expectation are additive and Gaussian. Hence
\[\begin{aligned} Y\_- &= \operatorname{E}(Y|X\_1, \dots, X\_p) + \varepsilon \\ &= \beta\_0 + \sum\_{j=1}^p X\_j \beta\_j + \varepsilon, \end{aligned} \tag{3.9}\]
where the error ε is a Gaussian random variable with expectation zero and variance σ2, written ε ∼ N(0, σ2).
Under (3.9), it is easy to show that
\[ \hat{\beta} \sim N(\beta, (\mathbf{X}^T \mathbf{X})^{-1} \sigma^2). \tag{3.10} \]
This is a multivariate normal distribution with mean vector and variance– covariance matrix as shown. Also
\[(N-p-1)\hat{\sigma}^2 \sim \sigma^2 \chi^2\_{N-p-1},\tag{3.11}\]
a chi-squared distribution with N −p−1 degrees of freedom. In addition βˆ and ˆσ2 are statistically independent. We use these distributional properties to form tests of hypothesis and confidence intervals for the parameters βj .

FIGURE 3.3. The tail probabilities Pr(|Z| > z) for three distributions, t30, t100 and standard normal. Shown are the appropriate quantiles for testing significance at the p = 0.05 and 0.01 levels. The difference between t and the standard normal becomes negligible for N bigger than about 100.
To test the hypothesis that a particular coefficient βj = 0, we form the standardized coefficient or Z-score
\[z\_j = \frac{\hat{\beta}\_j}{\hat{\sigma}\sqrt{v\_j}},\tag{3.12}\]
where vj is the jth diagonal element of (XT X)−1. Under the null hypothesis that βj = 0, zj is distributed as tN−p−1 (a t distribution with N − p − 1 degrees of freedom), and hence a large (absolute) value of zj will lead to rejection of this null hypothesis. If ˆσ is replaced by a known value σ, then zj would have a standard normal distribution. The difference between the tail quantiles of a t-distribution and a standard normal become negligible as the sample size increases, and so we typically use the normal quantiles (see Figure 3.3).
Often we need to test for the significance of groups of coefficients simultaneously. For example, to test if a categorical variable with k levels can be excluded from a model, we need to test whether the coefficients of the dummy variables used to represent the levels can all be set to zero. Here we use the F statistic,
\[F = \frac{(\text{RSS}\_0 - \text{RSS}\_1)/(p\_1 - p\_0)}{\text{RSS}\_1/(N - p\_1 - 1)},\tag{3.13}\]
where RSS1 is the residual sum-of-squares for the least squares fit of the bigger model with p1+1 parameters, and RSS0 the same for the nested smaller model with p0 + 1 parameters, having p1 −p0 parameters constrained to be zero. The F statistic measures the change in residual sum-of-squares per additional parameter in the bigger model, and it is normalized by an estimate of σ2. Under the Gaussian assumptions, and the null hypothesis that the smaller model is correct, the F statistic will have a Fp1−p0,N−p1−1 distribution. It can be shown (Exercise 3.1) that the zj in (3.12) are equivalent to the F statistic for dropping the single coefficient βj from the model. For large N, the quantiles of the Fp1−p0,N−p1−1 approach those of the χ2 p1−p0 .
Similarly, we can isolate βj in (3.10) to obtain a 1−2α confidence interval for βj :
\[(\hat{\beta}\_j - z^{(1-\alpha)}v\_j^{\frac{1}{2}}\hat{\sigma}, \ \hat{\beta}\_j + z^{(1-\alpha)}v\_j^{\frac{1}{2}}\hat{\sigma}).\tag{3.14}\]
Here z(1−α) is the 1 − α percentile of the normal distribution:
\[\begin{array}{rcl}z^{(1-0.025)} &=& 1.96, \\ z^{(1-.05)} &=& 1.645, \text{ etc.} \end{array}\]
Hence the standard practice of reporting βˆ ± 2 · se(βˆ) amounts to an approximate 95% confidence interval. Even if the Gaussian error assumption does not hold, this interval will be approximately correct, with its coverage approaching 1 − 2α as the sample size N → ∞.
In a similar fashion we can obtain an approximate confidence set for the entire parameter vector β, namely
\[C\_{\beta} = \{ \beta | (\hat{\beta} - \beta)^T \mathbf{X}^T \mathbf{X} (\hat{\beta} - \beta) \le \hat{\sigma}^2 \chi^2\_{p+1}^{-(1-\alpha)} \},\tag{3.15}\]
where χ2 ℓ (1−α) is the 1 − α percentile of the chi-squared distribution on ℓ degrees of freedom: for example, χ2 5 (1−0.05) = 11.1, χ2 5 (1−0.1) = 9.2. This confidence set for β generates a corresponding confidence set for the true function f(x) = xT β, namely {xT β|β ∈ Cβ} (Exercise 3.2; see also Figure 5.4 in Section 5.2.2 for examples of confidence bands for functions).
3.2.1 Example: Prostate Cancer
The data for this example come from a study by Stamey et al. (1989). They examined the correlation between the level of prostate-specific antigen and a number of clinical measures in men who were about to receive a radical prostatectomy. The variables are log cancer volume (lcavol), log prostate weight (lweight), age, log of the amount of benign prostatic hyperplasia (lbph), seminal vesicle invasion (svi), log of capsular penetration (lcp), Gleason score (gleason), and percent of Gleason scores 4 or 5 (pgg45). The correlation matrix of the predictors given in Table 3.1 shows many strong correlations. Figure 1.1 (page 3) of Chapter 1 is a scatterplot matrix showing every pairwise plot between the variables. We see that svi is a binary variable, and gleason is an ordered categorical variable. We see, for
50 3. Linear Methods for Regression
| lcavol | lweight | age | lbph | svi | lcp | gleason | |
|---|---|---|---|---|---|---|---|
| lweight | 0.300 | ||||||
| age | 0.286 | 0.317 | |||||
| lbph | 0.063 | 0.437 | 0.287 | ||||
| svi | 0.593 | 0.181 | 0.129 | −0.139 | |||
| lcp | 0.692 | 0.157 | 0.173 | −0.089 | 0.671 | ||
| gleason | 0.426 | 0.024 | 0.366 | 0.033 | 0.307 | 0.476 | |
| pgg45 | 0.483 | 0.074 | 0.276 | −0.030 | 0.481 | 0.663 | 0.757 |
TABLE 3.1. Correlations of predictors in the prostate cancer data.
TABLE 3.2. Linear model fit to the prostate cancer data. The Z score is the coefficient divided by its standard error (3.12). Roughly a Z score larger than two in absolute value is significantly nonzero at the p = 0.05 level.
| Term | Coefficient | Std. Error | Z Score |
|---|---|---|---|
| Intercept | 2.46 | 0.09 | 27.60 |
| lcavol | 0.68 | 0.13 | 5.37 |
| lweight | 0.26 | 0.10 | 2.75 |
| age | −0.14 | 0.10 | −1.40 |
| lbph | 0.21 | 0.10 | 2.06 |
| svi | 0.31 | 0.12 | 2.47 |
| lcp | −0.29 | 0.15 | −1.87 |
| gleason | −0.02 | 0.15 | −0.15 |
| pgg45 | 0.27 | 0.15 | 1.74 |
example, that both lcavol and lcp show a strong relationship with the response lpsa, and with each other. We need to fit the effects jointly to untangle the relationships between the predictors and the response.
We fit a linear model to the log of prostate-specific antigen, lpsa, after first standardizing the predictors to have unit variance. We randomly split the dataset into a training set of size 67 and a test set of size 30. We applied least squares estimation to the training set, producing the estimates, standard errors and Z-scores shown in Table 3.2. The Z-scores are defined in (3.12), and measure the effect of dropping that variable from the model. A Z-score greater than 2 in absolute value is approximately significant at the 5% level. (For our example, we have nine parameters, and the 0.025 tail quantiles of the t67−9 distribution are ±2.002!) The predictor lcavol shows the strongest effect, with lweight and svi also strong. Notice that lcp is not significant, once lcavol is in the model (when used in a model without lcavol, lcp is strongly significant). We can also test for the exclusion of a number of terms at once, using the F-statistic (3.13). For example, we consider dropping all the non-significant terms in Table 3.2, namely age, lcp, gleason, and pgg45. We get
\[F = \frac{(32.81 - 29.43)/(9 - 5)}{29.43/(67 - 9)} = 1.67,\tag{3.16}\]
which has a p-value of 0.17 (Pr(F4,58 > 1.67) = 0.17), and hence is not significant.
The mean prediction error on the test data is 0.521. In contrast, prediction using the mean training value of lpsa has a test error of 1.057, which is called the “base error rate.” Hence the linear model reduces the base error rate by about 50%. We will return to this example later to compare various selection and shrinkage methods.
3.2.2 The Gauss–Markov Theorem
One of the most famous results in statistics asserts that the least squares estimates of the parameters β have the smallest variance among all linear unbiased estimates. We will make this precise here, and also make clear that the restriction to unbiased estimates is not necessarily a wise one. This observation will lead us to consider biased estimates such as ridge regression later in the chapter. We focus on estimation of any linear combination of the parameters θ = aT β; for example, predictions f(x0) = xT 0 β are of this form. The least squares estimate of aT β is
\[ \hat{\boldsymbol{\theta}} = \boldsymbol{a}^T \hat{\boldsymbol{\beta}} = \boldsymbol{a}^T (\mathbf{X}^T \mathbf{X})^{-1} \mathbf{X}^T \mathbf{y}. \tag{3.17} \]
Considering X to be fixed, this is a linear function cT 0 y of the response vector y. If we assume that the linear model is correct, aT βˆ is unbiased since
\[\begin{aligned} \mathbf{E}(a^T \boldsymbol{\beta}) &= \quad \mathbf{E}(a^T (\mathbf{X}^T \mathbf{X})^{-1} \mathbf{X}^T \mathbf{y}) \\ &= \quad a^T (\mathbf{X}^T \mathbf{X})^{-1} \mathbf{X}^T \mathbf{X} \boldsymbol{\beta} \\ &= \quad a^T \boldsymbol{\beta}. \end{aligned} \tag{3.18}\]
The Gauss–Markov theorem states that if we have any other linear estimator ˜θ = cT y that is unbiased for aT β, that is, E(cT y) = aT β, then
\[\text{Var}(a^T\hat{\beta}) \le \text{Var}(\mathbf{c}^T\mathbf{y}).\tag{3.19}\]
The proof (Exercise 3.3) uses the triangle inequality. For simplicity we have stated the result in terms of estimation of a single parameter aT β, but with a few more definitions one can state it in terms of the entire parameter vector β (Exercise 3.3).
Consider the mean squared error of an estimator ˜θ in estimating θ:
\[\begin{aligned} \text{MSE}(\tilde{\theta}) &= \quad \text{E}(\tilde{\theta} - \theta)^2 \\ &= \quad \text{Var}(\tilde{\theta}) + [\text{E}(\tilde{\theta}) - \theta]^2. \end{aligned} \tag{3.20}\]
52 3. Linear Methods for Regression
The first term is the variance, while the second term is the squared bias. The Gauss-Markov theorem implies that the least squares estimator has the smallest mean squared error of all linear estimators with no bias. However, there may well exist a biased estimator with smaller mean squared error. Such an estimator would trade a little bias for a larger reduction in variance. Biased estimates are commonly used. Any method that shrinks or sets to zero some of the least squares coefficients may result in a biased estimate. We discuss many examples, including variable subset selection and ridge regression, later in this chapter. From a more pragmatic point of view, most models are distortions of the truth, and hence are biased; picking the right model amounts to creating the right balance between bias and variance. We go into these issues in more detail in Chapter 7.
Mean squared error is intimately related to prediction accuracy, as discussed in Chapter 2. Consider the prediction of the new response at input x0,
\[Y\_0 = f(x\_0) + \varepsilon\_0.\tag{3.21}\]
Then the expected prediction error of an estimate ˜f(x0) = xT 0 β˜ is
\[\begin{aligned} \mathrm{E}(Y\_0 - \tilde{f}(x\_0))^2 &= \sigma^2 + \mathrm{E}(x\_0^T \tilde{\beta} - f(x\_0))^2 \\ &= \sigma^2 + \mathrm{MSE}(\tilde{f}(x\_0)). \end{aligned} \tag{3.22}\]
Therefore, expected prediction error and mean squared error differ only by the constant σ2, representing the variance of the new observation y0.
3.2.3 Multiple Regression from Simple Univariate Regression
The linear model (3.1) with p > 1 inputs is called the multiple linear regression model. The least squares estimates (3.6) for this model are best understood in terms of the estimates for the univariate (p = 1) linear model, as we indicate in this section.
Suppose first that we have a univariate model with no intercept, that is,
\[Y = X\beta + \varepsilon.\tag{3.23}\]
The least squares estimate and residuals are
\[\begin{aligned} \hat{\beta} &= \frac{\sum\_{1}^{N} x\_{i} y\_{i}}{\sum\_{1}^{N} x\_{i}^{2}}, \\ r\_{i} &= y\_{i} - x\_{i} \hat{\beta}. \end{aligned} \tag{3.24}\]
In convenient vector notation, we let y = (y1,…,yN )T , x = (x1,…,xN )T and define
\[ \begin{aligned} \langle \mathbf{x}, \mathbf{y} \rangle &= \sum\_{i=1}^{N} x\_i y\_i, \\ &= \quad \mathbf{x}^T \mathbf{y}, \end{aligned} \tag{3.25} \]
the inner product between x and y1. Then we can write
\[\begin{aligned} \hat{\boldsymbol{\beta}} &= \frac{\langle \mathbf{x}, \mathbf{y} \rangle}{\langle \mathbf{x}, \mathbf{x} \rangle}, \\ \mathbf{r} &= \mathbf{y} - \mathbf{x} \hat{\boldsymbol{\beta}}. \end{aligned} \tag{3.26}\]
As we will see, this simple univariate regression provides the building block for multiple linear regression. Suppose next that the inputs x1, x2,…, xp (the columns of the data matrix X) are orthogonal; that is ⟨xj , xk⟩ = 0 for all j ̸= k. Then it is easy to check that the multiple least squares estimates βˆj are equal to ⟨xj , y⟩/⟨xj , xj ⟩—the univariate estimates. In other words, when the inputs are orthogonal, they have no effect on each other’s parameter estimates in the model.
Orthogonal inputs occur most often with balanced, designed experiments (where orthogonality is enforced), but almost never with observational data. Hence we will have to orthogonalize them in order to carry this idea further. Suppose next that we have an intercept and a single input x. Then the least squares coefficient of x has the form
\[ \hat{\beta}\_1 = \frac{\langle \mathbf{x} - \bar{x}\mathbf{1}, \mathbf{y} \rangle}{\langle \mathbf{x} - \bar{x}\mathbf{1}, \mathbf{x} - \bar{x}\mathbf{1} \rangle}, \tag{3.27} \]
where ¯x = ( i xi/N, and 1 = x0, the vector of N ones. We can view the estimate (3.27) as the result of two applications of the simple regression (3.26). The steps are:
- regress x on 1 to produce the residual z = x − x¯1;
- regress y on the residual z to give the coefficient βˆ1.
In this procedure, “regress b on a” means a simple univariate regression of b on a with no intercept, producing coefficient ˆγ = ⟨a, b⟩/⟨a, a⟩ and residual vector b − γˆa. We say that b is adjusted for a, or is “orthogonalized” with respect to a.
Step 1 orthogonalizes x with respect to x0 = 1. Step 2 is just a simple univariate regression, using the orthogonal predictors 1 and z. Figure 3.4 shows this process for two general inputs x1 and x2. The orthogonalization does not change the subspace spanned by x1 and x2, it simply produces an orthogonal basis for representing it.
This recipe generalizes to the case of p inputs, as shown in Algorithm 3.1. Note that the inputs z0,…, zj−1 in step 2 are orthogonal, hence the simple regression coefficients computed there are in fact also the multiple regression coefficients.
1The inner-product notation is suggestive of generalizations of linear regression to different metric spaces, as well as to probability spaces.
54 3. Linear Methods for Regression

FIGURE 3.4. Least squares regression by orthogonalization of the inputs. The vector x2 is regressed on the vector x1, leaving the residual vector z. The regression of y on z gives the multiple regression coefficient of x2. Adding together the projections of y on each of x1 and z gives the least squares fit yˆ.
Algorithm 3.1 Regression by Successive Orthogonalization.
- Initialize z0 = x0 = 1.
- For j = 1, 2,…,p
- Regress xj on z0, z1,…,, zj−1 to produce coefficients ˆγℓj = ⟨zℓ, xj ⟩/⟨zℓ, zℓ⟩, ℓ = 0,…,j − 1 and residual vector zj = xj − (j−1 k=0 γˆkjzk.
- Regress y on the residual zp to give the estimate βˆp.
The result of this algorithm is
\[ \hat{\beta}\_p = \frac{\langle \mathbf{z}\_p, \mathbf{y} \rangle}{\langle \mathbf{z}\_p, \mathbf{z}\_p \rangle}. \tag{3.28} \]
Re-arranging the residual in step 2, we can see that each of the xj is a linear combination of the zk, k ≤ j. Since the zj are all orthogonal, they form a basis for the column space of X, and hence the least squares projection onto this subspace is yˆ. Since zp alone involves xp (with coefficient 1), we see that the coefficient (3.28) is indeed the multiple regression coefficient of y on xp. This key result exposes the effect of correlated inputs in multiple regression. Note also that by rearranging the xj , any one of them could be in the last position, and a similar results holds. Hence stated more generally, we have shown that the jth multiple regression coefficient is the univariate regression coefficient of y on xj·012…(j−1)(j+1)…,p, the residual after regressing xj on x0, x1,…, xj−1, xj+1,…, xp:
The multiple regression coefficient βˆj represents the additional contribution of xj on y, after xj has been adjusted for x0, x1,…, xj−1, xj+1,…, xp.
If xp is highly correlated with some of the other xk’s, the residual vector zp will be close to zero, and from (3.28) the coefficient βˆp will be very unstable. This will be true for all the variables in the correlated set. In such situations, we might have all the Z-scores (as in Table 3.2) be small any one of the set can be deleted—yet we cannot delete them all. From (3.28) we also obtain an alternate formula for the variance estimates (3.8),
\[\text{Var}(\hat{\beta}\_p) = \frac{\sigma^2}{\langle \mathbf{z}\_p, \mathbf{z}\_p \rangle} = \frac{\sigma^2}{||\mathbf{z}\_p||^2}. \tag{3.29}\]
In other words, the precision with which we can estimate βˆp depends on the length of the residual vector zp; this represents how much of xp is unexplained by the other xk’s.
Algorithm 3.1 is known as the Gram–Schmidt procedure for multiple regression, and is also a useful numerical strategy for computing the estimates. We can obtain from it not just βˆp, but also the entire multiple least squares fit, as shown in Exercise 3.4.
We can represent step 2 of Algorithm 3.1 in matrix form:
\[\mathbf{X} = \mathbf{Z}\Gamma,\tag{3.30}\]
where Z has as columns the zj (in order), and Γ is the upper triangular matrix with entries ˆγkj . Introducing the diagonal matrix D with jth diagonal entry Djj = ∥zj∥, we get
\[\begin{aligned} \mathbf{X} &= \mathbf{Z} \mathbf{D}^{-1} \mathbf{D} \mathbf{T} \\ &= \mathbf{Q} \mathbf{R}, \end{aligned} \tag{3.31}\]
the so-called QR decomposition of X. Here Q is an N × (p + 1) orthogonal matrix, QT Q = I, and R is a (p + 1) × (p + 1) upper triangular matrix.
The QR decomposition represents a convenient orthogonal basis for the column space of X. It is easy to see, for example, that the least squares solution is given by
\[ \hat{\boldsymbol{\beta}}\, \, \, \, \, \, \, \, \mathbf{R}^{-1} \mathbf{Q}^{T} \mathbf{y}, \tag{3.32} \]
\[ \hat{\mathbf{y}}\_{\cdot} = \mathbf{Q} \mathbf{Q}^T \mathbf{y}. \tag{3.33} \]
Equation (3.32) is easy to solve because R is upper triangular (Exercise 3.4).
56 3. Linear Methods for Regression
3.2.4 Multiple Outputs
Suppose we have multiple outputs Y1, Y2,…,YK that we wish to predict from our inputs X0, X1, X2,…,Xp. We assume a linear model for each output
\[Y\_k = \beta\_{0k} + \sum\_{j=1}^p X\_j \beta\_{jk} + \varepsilon\_k \tag{3.34}\]
\[=\quad f\_k(X) + \varepsilon\_k. \tag{3.35}\]
With N training cases we can write the model in matrix notation
\[\mathbf{Y} = \mathbf{X}\mathbf{B} + \mathbf{E}.\tag{3.36}\]
Here Y is the N ×K response matrix, with ik entry yik, X is the N ×(p+1) input matrix, B is the (p + 1) × K matrix of parameters and E is the N × K matrix of errors. A straightforward generalization of the univariate loss function (3.2) is
\[\text{RSS(B)}\quad = \sum\_{k=1}^{K} \sum\_{i=1}^{N} (y\_{ik} - f\_k(x\_i))^2 \tag{3.37}\]
\[=\left.\text{tr}[\left(\mathbf{Y} - \mathbf{X}\mathbf{B}\right)^{T}(\mathbf{Y} - \mathbf{X}\mathbf{B})\right].\tag{3.38}\]
The least squares estimates have exactly the same form as before
\[ \hat{\mathbf{B}} = (\mathbf{X}^T \mathbf{X})^{-1} \mathbf{X}^T \mathbf{Y}. \tag{3.39} \]
Hence the coefficients for the kth outcome are just the least squares estimates in the regression of yk on x0, x1,…, xp. Multiple outputs do not affect one another’s least squares estimates.
If the errors ε = (ε1,…, εK) in (3.34) are correlated, then it might seem appropriate to modify (3.37) in favor of a multivariate version. Specifically, suppose Cov(ε) = Σ, then the multivariate weighted criterion
\[\text{RSS}(\mathbf{B}; \boldsymbol{\Sigma}) = \sum\_{i=1}^{N} (y\_i - f(x\_i))^T \boldsymbol{\Sigma}^{-1} (y\_i - f(x\_i)) \tag{3.40}\]
arises naturally from multivariate Gaussian theory. Here f(x) is the vector function (f1(x),…,fK(x)), and yi the vector of K responses for observation i. However, it can be shown that again the solution is given by (3.39); K separate regressions that ignore the correlations (Exercise 3.11). If the Σi vary among observations, then this is no longer the case, and the solution for B no longer decouples.
In Section 3.7 we pursue the multiple outcome problem, and consider situations where it does pay to combine the regressions.
3.3 Subset Selection
There are two reasons why we are often not satisfied with the least squares estimates (3.6).
- The first is prediction accuracy: the least squares estimates often have low bias but large variance. Prediction accuracy can sometimes be improved by shrinking or setting some coefficients to zero. By doing so we sacrifice a little bit of bias to reduce the variance of the predicted values, and hence may improve the overall prediction accuracy.
- The second reason is interpretation. With a large number of predictors, we often would like to determine a smaller subset that exhibit the strongest effects. In order to get the “big picture,” we are willing to sacrifice some of the small details.
In this section we describe a number of approaches to variable subset selection with linear regression. In later sections we discuss shrinkage and hybrid approaches for controlling variance, as well as other dimension-reduction strategies. These all fall under the general heading model selection. Model selection is not restricted to linear models; Chapter 7 covers this topic in some detail.
With subset selection we retain only a subset of the variables, and eliminate the rest from the model. Least squares regression is used to estimate the coefficients of the inputs that are retained. There are a number of different strategies for choosing the subset.
3.3.1 Best-Subset Selection
Best subset regression finds for each k ∈ {0, 1, 2,…,p} the subset of size k that gives smallest residual sum of squares (3.2). An efficient algorithm the leaps and bounds procedure (Furnival and Wilson, 1974)—makes this feasible for p as large as 30 or 40. Figure 3.5 shows all the subset models for the prostate cancer example. The lower boundary represents the models that are eligible for selection by the best-subsets approach. Note that the best subset of size 2, for example, need not include the variable that was in the best subset of size 1 (for this example all the subsets are nested). The best-subset curve (red lower boundary in Figure 3.5) is necessarily decreasing, so cannot be used to select the subset size k. The question of how to choose k involves the tradeoff between bias and variance, along with the more subjective desire for parsimony. There are a number of criteria that one may use; typically we choose the smallest model that minimizes an estimate of the expected prediction error.
Many of the other approaches that we discuss in this chapter are similar, in that they use the training data to produce a sequence of models varying in complexity and indexed by a single parameter. In the next section we use

FIGURE 3.5. All possible subset models for the prostate cancer example. At each subset size is shown the residual sum-of-squares for each model of that size.
cross-validation to estimate prediction error and select k; the AIC criterion is a popular alternative. We defer more detailed discussion of these and other approaches to Chapter 7.
3.3.2 Forward- and Backward-Stepwise Selection
Rather than search through all possible subsets (which becomes infeasible for p much larger than 40), we can seek a good path through them. Forwardstepwise selection starts with the intercept, and then sequentially adds into the model the predictor that most improves the fit. With many candidate predictors, this might seem like a lot of computation; however, clever updating algorithms can exploit the QR decomposition for the current fit to rapidly establish the next candidate (Exercise 3.9). Like best-subset regression, forward stepwise produces a sequence of models indexed by k, the subset size, which must be determined.
Forward-stepwise selection is a greedy algorithm, producing a nested sequence of models. In this sense it might seem sub-optimal compared to best-subset selection. However, there are several reasons why it might be preferred:
- Computational; for large p we cannot compute the best subset sequence, but we can always compute the forward stepwise sequence (even when p ≫ N).
- Statistical; a price is paid in variance for selecting the best subset of each size; forward stepwise is a more constrained search, and will have lower variance, but perhaps more bias.

FIGURE 3.6. Comparison of four subset-selection techniques on a simulated linear regression problem Y = XT β + ε. There are N = 300 observations on p = 31 standard Gaussian variables, with pairwise correlations all equal to 0.85. For 10 of the variables, the coefficients are drawn at random from a N(0, 0.4) distribution; the rest are zero. The noise ε ∼ N(0, 6.25), resulting in a signal-to-noise ratio of 0.64. Results are averaged over 50 simulations. Shown is the mean-squared error of the estimated coefficient βˆ(k) at each step from the true β.
Backward-stepwise selection starts with the full model, and sequentially deletes the predictor that has the least impact on the fit. The candidate for dropping is the variable with the smallest Z-score (Exercise 3.10). Backward selection can only be used when N>p, while forward stepwise can always be used.
Figure 3.6 shows the results of a small simulation study to compare best-subset regression with the simpler alternatives forward and backward selection. Their performance is very similar, as is often the case. Included in the figure is forward stagewise regression (next section), which takes longer to reach minimum error.
60 3. Linear Methods for Regression
On the prostate cancer example, best-subset, forward and backward selection all gave exactly the same sequence of terms.
Some software packages implement hybrid stepwise-selection strategies that consider both forward and backward moves at each step, and select the “best” of the two. For example in the R package the step function uses the AIC criterion for weighing the choices, which takes proper account of the number of parameters fit; at each step an add or drop will be performed that minimizes the AIC score.
Other more traditional packages base the selection on F-statistics, adding “significant” terms, and dropping “non-significant” terms. These are out of fashion, since they do not take proper account of the multiple testing issues. It is also tempting after a model search to print out a summary of the chosen model, such as in Table 3.2; however, the standard errors are not valid, since they do not account for the search process. The bootstrap (Section 8.2) can be useful in such settings.
Finally, we note that often variables come in groups (such as the dummy variables that code a multi-level categorical predictor). Smart stepwise procedures (such as step in R) will add or drop whole groups at a time, taking proper account of their degrees-of-freedom.
3.3.3 Forward-Stagewise Regression
Forward-stagewise regression (FS) is even more constrained than forwardstepwise regression. It starts like forward-stepwise regression, with an intercept equal to ¯y, and centered predictors with coefficients initially all 0. At each step the algorithm identifies the variable most correlated with the current residual. It then computes the simple linear regression coefficient of the residual on this chosen variable, and then adds it to the current coefficient for that variable. This is continued till none of the variables have correlation with the residuals—i.e. the least-squares fit when N>p.
Unlike forward-stepwise regression, none of the other variables are adjusted when a term is added to the model. As a consequence, forward stagewise can take many more than p steps to reach the least squares fit, and historically has been dismissed as being inefficient. It turns out that this “slow fitting” can pay dividends in high-dimensional problems. We see in Section 3.8.1 that both forward stagewise and a variant which is slowed down even further are quite competitive, especially in very highdimensional problems.
Forward-stagewise regression is included in Figure 3.6. In this example it takes over 1000 steps to get all the correlations below 10−4. For subset size k, we plotted the error for the last step for which there where k nonzero coefficients. Although it catches up with the best fit, it takes longer to do so.
3.3.4 Prostate Cancer Data Example (Continued)
Table 3.3 shows the coefficients from a number of different selection and shrinkage methods. They are best-subset selection using an all-subsets search, ridge regression, the lasso, principal components regression and partial least squares. Each method has a complexity parameter, and this was chosen to minimize an estimate of prediction error based on tenfold cross-validation; full details are given in Section 7.10. Briefly, cross-validation works by dividing the training data randomly into ten equal parts. The learning method is fit—for a range of values of the complexity parameter—to nine-tenths of the data, and the prediction error is computed on the remaining one-tenth. This is done in turn for each one-tenth of the data, and the ten prediction error estimates are averaged. From this we obtain an estimated prediction error curve as a function of the complexity parameter.
Note that we have already divided these data into a training set of size 67 and a test set of size 30. Cross-validation is applied to the training set, since selecting the shrinkage parameter is part of the training process. The test set is there to judge the performance of the selected model.
The estimated prediction error curves are shown in Figure 3.7. Many of the curves are very flat over large ranges near their minimum. Included are estimated standard error bands for each estimated error rate, based on the ten error estimates computed by cross-validation. We have used the “one-standard-error” rule—we pick the most parsimonious model within one standard error of the minimum (Section 7.10, page 244). Such a rule acknowledges the fact that the tradeoff curve is estimated with error, and hence takes a conservative approach.
Best-subset selection chose to use the two predictors lcvol and lweight. The last two lines of the table give the average prediction error (and its estimated standard error) over the test set.
3.4 Shrinkage Methods
By retaining a subset of the predictors and discarding the rest, subset selection produces a model that is interpretable and has possibly lower prediction error than the full model. However, because it is a discrete process variables are either retained or discarded—it often exhibits high variance, and so doesn’t reduce the prediction error of the full model. Shrinkage methods are more continuous, and don’t suffer as much from high variability.
3.4.1 Ridge Regression
Ridge regression shrinks the regression coefficients by imposing a penalty on their size. The ridge coefficients minimize a penalized residual sum of

FIGURE 3.7. Estimated prediction error curves and their standard errors for the various selection and shrinkage methods. Each curve is plotted as a function of the corresponding complexity parameter for that method. The horizontal axis has been chosen so that the model complexity increases as we move from left to right. The estimates of prediction error and their standard errors were obtained by tenfold cross-validation; full details are given in Section 7.10. The least complex model within one standard error of the best is chosen, indicated by the purple vertical broken lines.
TABLE 3.3. Estimated coefficients and test error results, for different subset and shrinkage methods applied to the prostate data. The blank entries correspond to variables omitted.
| Term | LS | Best Subset | Ridge | Lasso | PCR | PLS |
|---|---|---|---|---|---|---|
| Intercept | 2.465 | 2.477 | 2.452 | 2.468 | 2.497 | 2.452 |
| lcavol | 0.680 | 0.740 | 0.420 | 0.533 | 0.543 | 0.419 |
| lweight | 0.263 | 0.316 | 0.238 | 0.169 | 0.289 | 0.344 |
| age | −0.141 | −0.046 | −0.152 | −0.026 | ||
| lbph | 0.210 | 0.162 | 0.002 | 0.214 | 0.220 | |
| svi | 0.305 | 0.227 | 0.094 | 0.315 | 0.243 | |
| lcp | −0.288 | 0.000 | −0.051 | 0.079 | ||
| gleason | −0.021 | 0.040 | 0.232 | 0.011 | ||
| pgg45 | 0.267 | 0.133 | −0.056 | 0.084 | ||
| Test Error | 0.521 | 0.492 | 0.492 | 0.479 | 0.449 | 0.528 |
| Std Error | 0.179 | 0.143 | 0.165 | 0.164 | 0.105 | 0.152 |
squares,
\[\hat{\beta}^{\text{ridge}} = \underset{\beta}{\text{argmin}} \left\{ \sum\_{i=1}^{N} \left( y\_i - \beta\_0 - \sum\_{j=1}^{p} x\_{ij} \beta\_j \right)^2 + \lambda \sum\_{j=1}^{p} \beta\_j^2 \right\}. \tag{3.41}\]
Here λ ≥ 0 is a complexity parameter that controls the amount of shrinkage: the larger the value of λ, the greater the amount of shrinkage. The coefficients are shrunk toward zero (and each other). The idea of penalizing by the sum-of-squares of the parameters is also used in neural networks, where it is known as weight decay (Chapter 11).
An equivalent way to write the ridge problem is
\[\begin{aligned} \hat{\beta}^{\text{ridge}} &= \underset{\beta}{\text{argmin}} \sum\_{i=1}^{N} \left( y\_i - \beta\_0 - \sum\_{j=1}^{p} x\_{ij}\beta\_j \right)^2, \\ \text{subject to } & \sum\_{j=1}^{p} \beta\_j^2 \le t, \end{aligned} \tag{3.42}\]
which makes explicit the size constraint on the parameters. There is a oneto-one correspondence between the parameters λ in (3.41) and t in (3.42). When there are many correlated variables in a linear regression model, their coefficients can become poorly determined and exhibit high variance. A wildly large positive coefficient on one variable can be canceled by a similarly large negative coefficient on its correlated cousin. By imposing a size constraint on the coefficients, as in (3.42), this problem is alleviated.
The ridge solutions are not equivariant under scaling of the inputs, and so one normally standardizes the inputs before solving (3.41). In addition,
64 3. Linear Methods for Regression
notice that the intercept β0 has been left out of the penalty term. Penalization of the intercept would make the procedure depend on the origin chosen for Y ; that is, adding a constant c to each of the targets yi would not simply result in a shift of the predictions by the same amount c. It can be shown (Exercise 3.5) that the solution to (3.41) can be separated into two parts, after reparametrization using centered inputs: each xij gets replaced by xij − x¯j . We estimate β0 by ¯y = 1 N (N 1 yi. The remaining coefficients get estimated by a ridge regression without intercept, using the centered xij . Henceforth we assume that this centering has been done, so that the input matrix X has p (rather than p + 1) columns.
Writing the criterion in (3.41) in matrix form,
\[\text{RSS}(\lambda) = (\mathbf{y} - \mathbf{X}\beta)^T(\mathbf{y} - \mathbf{X}\beta) + \lambda\beta^T\beta,\tag{3.43}\]
the ridge regression solutions are easily seen to be
\[\boldsymbol{\beta}^{\text{ridge}} = (\mathbf{X}^T \mathbf{X} + \lambda \mathbf{I})^{-1} \mathbf{X}^T \mathbf{y},\tag{3.44}\]
where I is the p×p identity matrix. Notice that with the choice of quadratic penalty βT β, the ridge regression solution is again a linear function of y. The solution adds a positive constant to the diagonal of XT X before inversion. This makes the problem nonsingular, even if XT X is not of full rank, and was the main motivation for ridge regression when it was first introduced in statistics (Hoerl and Kennard, 1970). Traditional descriptions of ridge regression start with definition (3.44). We choose to motivate it via (3.41) and (3.42), as these provide insight into how it works.
Figure 3.8 shows the ridge coefficient estimates for the prostate cancer example, plotted as functions of df(λ), the effective degrees of freedom implied by the penalty λ (defined in (3.50) on page 68). In the case of orthonormal inputs, the ridge estimates are just a scaled version of the least squares estimates, that is, βˆridge = βˆ/(1 + λ).
Ridge regression can also be derived as the mean or mode of a posterior distribution, with a suitably chosen prior distribution. In detail, suppose yi ∼ N(β0 + xT i β, σ2), and the parameters βj are each distributed as N(0, τ 2), independently of one another. Then the (negative) log-posterior density of β, with τ 2 and σ2 assumed known, is equal to the expression in curly braces in (3.41), with λ = σ2/τ 2 (Exercise 3.6). Thus the ridge estimate is the mode of the posterior distribution; since the distribution is Gaussian, it is also the posterior mean.
The singular value decomposition (SVD) of the centered input matrix X gives us some additional insight into the nature of ridge regression. This decomposition is extremely useful in the analysis of many statistical methods. The SVD of the N × p matrix X has the form
\[\mathbf{X} = \mathbf{U}\mathbf{D}\mathbf{V}^T.\tag{3.45}\]

FIGURE 3.8. Profiles of ridge coefficients for the prostate cancer example, as the tuning parameter λ is varied. Coefficients are plotted versus df(λ), the effective degrees of freedom. A vertical line is drawn at df = 5.0, the value chosen by cross-validation.
66 3. Linear Methods for Regression
Here U and V are N × p and p × p orthogonal matrices, with the columns of U spanning the column space of X, and the columns of V spanning the row space. D is a p × p diagonal matrix, with diagonal entries d1 ≥ d2 ≥ ··· ≥ dp ≥ 0 called the singular values of X. If one or more values dj = 0, X is singular.
Using the singular value decomposition we can write the least squares fitted vector as
\[\begin{aligned} \mathbf{X}\hat{\boldsymbol{\beta}}^{\text{ls}} &= \quad \mathbf{X}(\mathbf{X}^T\mathbf{X})^{-1}\mathbf{X}^T\mathbf{y} \\ &= \quad \mathbf{U}\mathbf{U}^T\mathbf{y}, \end{aligned} \tag{3.46}\]
after some simplification. Note that UT y are the coordinates of y with respect to the orthonormal basis U. Note also the similarity with (3.33); Q and U are generally different orthogonal bases for the column space of X (Exercise 3.8).
Now the ridge solutions are
\[\begin{aligned} \mathbf{X}\hat{\boldsymbol{\beta}}^{\text{ridge}} &= \begin{aligned} \mathbf{X}(\mathbf{X}^T\mathbf{X} + \lambda\mathbf{I})^{-1}\mathbf{X}^T\mathbf{y} \\ &= \mathbf{U}\,\mathbf{D}(\mathbf{D}^2 + \lambda\mathbf{I})^{-1}\mathbf{D}\,\mathbf{U}^T\mathbf{y} \\ &= \sum\_{j=1}^p \mathbf{u}\_j \frac{d\_j^2}{d\_j^2 + \lambda} \mathbf{u}\_j^T\mathbf{y}, \end{aligned} \tag{3.47}\]
where the uj are the columns of U. Note that since λ ≥ 0, we have d2 j/(d2 j + λ) ≤ 1. Like linear regression, ridge regression computes the coordinates of y with respect to the orthonormal basis U. It then shrinks these coordinates by the factors d2 j/(d2 j + λ). This means that a greater amount of shrinkage is applied to the coordinates of basis vectors with smaller d2 j .
What does a small value of d2 j mean? The SVD of the centered matrix X is another way of expressing the principal components of the variables in X. The sample covariance matrix is given by S = XT X/N, and from (3.45) we have
\[\mathbf{X}^T \mathbf{X} = \mathbf{V} \mathbf{D}^2 \mathbf{V}^T,\tag{3.48}\]
which is the eigen decomposition of XT X (and of S, up to a factor N). The eigenvectors vj (columns of V) are also called the principal components (or Karhunen–Loeve) directions of X. The first principal component direction v1 has the property that z1 = Xv1 has the largest sample variance amongst all normalized linear combinations of the columns of X. This sample variance is easily seen to be
\[\text{Var}(\mathbf{z}\_1) = \text{Var}(\mathbf{X}v\_1) = \frac{d\_1^2}{N},\tag{3.49}\]
and in fact z1 = Xv1 = u1d1. The derived variable z1 is called the first principal component of X, and hence u1 is the normalized first principal

FIGURE 3.9. Principal components of some input data points. The largest principal component is the direction that maximizes the variance of the projected data, and the smallest principal component minimizes that variance. Ridge regression projects y onto these components, and then shrinks the coefficients of the low– variance components more than the high-variance components.
component. Subsequent principal components zj have maximum variance d2 j/N, subject to being orthogonal to the earlier ones. Conversely the last principal component has minimum variance. Hence the small singular values dj correspond to directions in the column space of X having small variance, and ridge regression shrinks these directions the most.
Figure 3.9 illustrates the principal components of some data points in two dimensions. If we consider fitting a linear surface over this domain (the Y -axis is sticking out of the page), the configuration of the data allow us to determine its gradient more accurately in the long direction than the short. Ridge regression protects against the potentially high variance of gradients estimated in the short directions. The implicit assumption is that the response will tend to vary most in the directions of high variance of the inputs. This is often a reasonable assumption, since predictors are often chosen for study because they vary with the response variable, but need not hold in general.
68 3. Linear Methods for Regression
In Figure 3.7 we have plotted the estimated prediction error versus the quantity
\[\begin{aligned} \text{df}(\lambda) &= \text{tr}[\mathbf{X}(\mathbf{X}^T \mathbf{X} + \lambda \mathbf{I})^{-1} \mathbf{X}^T], \\ &= \text{tr}(\mathbf{H}\_{\lambda}) \\ &= \sum\_{j=1}^p \frac{d\_j^2}{d\_j^2 + \lambda}. \end{aligned} \tag{3.50}\]
This monotone decreasing function of λ is the effective degrees of freedom of the ridge regression fit. Usually in a linear-regression fit with p variables, the degrees-of-freedom of the fit is p, the number of free parameters. The idea is that although all p coefficients in a ridge fit will be non-zero, they are fit in a restricted fashion controlled by λ. Note that df(λ) = p when λ = 0 (no regularization) and df(λ) → 0 as λ → ∞. Of course there is always an additional one degree of freedom for the intercept, which was removed apriori. This definition is motivated in more detail in Section 3.4.4 and Sections 7.4–7.6. In Figure 3.7 the minimum occurs at df(λ)=5.0. Table 3.3 shows that ridge regression reduces the test error of the full least squares estimates by a small amount.
3.4.2 The Lasso
The lasso is a shrinkage method like ridge, with subtle but important differences. The lasso estimate is defined by
\[\beta^{\text{lasso}} \quad = \operatorname\*{argmin}\_{\beta} \sum\_{i=1}^{N} \left( y\_i - \beta\_0 - \sum\_{j=1}^{p} x\_{ij}\beta\_j \right)^2\]
\[\text{subject to } \sum\_{j=1}^{p} |\beta\_j| \le t. \tag{3.51}\]
Just as in ridge regression, we can re-parametrize the constant β0 by standardizing the predictors; the solution for βˆ0 is ¯y, and thereafter we fit a model without an intercept (Exercise 3.5). In the signal processing literature, the lasso is also known as basis pursuit (Chen et al., 1998).
We can also write the lasso problem in the equivalent Lagrangian form
\[\hat{\beta}^{\text{lasso}} = \underset{\beta}{\text{argmin}} \left\{ \frac{1}{2} \sum\_{i=1}^{N} \left( y\_i - \beta\_0 - \sum\_{j=1}^{p} x\_{ij}\beta\_j \right)^2 + \lambda \sum\_{j=1}^{p} |\beta\_j| \right\}. \tag{3.52}\]
Notice the similarity to the ridge regression problem (3.42) or (3.41): the L2 ridge penalty (p 1 β2 j is replaced by the L1 lasso penalty (p 1 |βj |. This latter constraint makes the solutions nonlinear in the yi, and there is no closed form expression as in ridge regression. Computing the lasso solution is a quadratic programming problem, although we see in Section 3.4.4 that efficient algorithms are available for computing the entire path of solutions as λ is varied, with the same computational cost as for ridge regression. Because of the nature of the constraint, making t sufficiently small will cause some of the coefficients to be exactly zero. Thus the lasso does a kind of continuous subset selection. If t is chosen larger than t0 = (p 1 |βˆj | (where βˆj = βˆls j , the least squares estimates), then the lasso estimates are the βˆj ’s. On the other hand, for t = t0/2 say, then the least squares coefficients are shrunk by about 50% on average. However, the nature of the shrinkage is not obvious, and we investigate it further in Section 3.4.4 below. Like the subset size in variable subset selection, or the penalty parameter in ridge regression, t should be adaptively chosen to minimize an estimate of expected prediction error.
In Figure 3.7, for ease of interpretation, we have plotted the lasso prediction error estimates versus the standardized parameter s = t/(p 1 |βˆj |. A value ˆs ≈ 0.36 was chosen by 10-fold cross-validation; this caused four coefficients to be set to zero (fifth column of Table 3.3). The resulting model has the second lowest test error, slightly lower than the full least squares model, but the standard errors of the test error estimates (last line of Table 3.3) are fairly large.
Figure 3.10 shows the lasso coefficients as the standardized tuning parameter s = t/(p 1 |βˆj | is varied. At s = 1.0 these are the least squares estimates; they decrease to 0 as s → 0. This decrease is not always strictly monotonic, although it is in this example. A vertical line is drawn at s = 0.36, the value chosen by cross-validation.
3.4.3 Discussion: Subset Selection, Ridge Regression and the Lasso
In this section we discuss and compare the three approaches discussed so far for restricting the linear regression model: subset selection, ridge regression and the lasso.
In the case of an orthonormal input matrix X the three procedures have explicit solutions. Each method applies a simple transformation to the least squares estimate βˆj , as detailed in Table 3.4.
Ridge regression does a proportional shrinkage. Lasso translates each coefficient by a constant factor λ, truncating at zero. This is called “soft thresholding,” and is used in the context of wavelet-based smoothing in Section 5.9. Best-subset selection drops all variables with coefficients smaller than the Mth largest; this is a form of “hard-thresholding.”
Back to the nonorthogonal case; some pictures help understand their relationship. Figure 3.11 depicts the lasso (left) and ridge regression (right) when there are only two parameters. The residual sum of squares has elliptical contours, centered at the full least squares estimate. The constraint

FIGURE 3.10. Profiles of lasso coefficients, as the tuning parameter t is varied. Coefficients are plotted versus s = t/Pp 1 |βˆj |. A vertical line is drawn at s = 0.36, the value chosen by cross-validation. Compare Figure 3.8 on page 65; the lasso profiles hit zero, while those for ridge do not. The profiles are piece-wise linear, and so are computed only at the points displayed; see Section 3.4.4 for details.
TABLE 3.4. Estimators of βj in the case of orthonormal columns of X. M and λ are constants chosen by the corresponding techniques; sign denotes the sign of its argument (±1), and x+ denotes “positive part” of x. Below the table, estimators are shown by broken red lines. The 45◦ line in gray shows the unrestricted estimate for reference.

FIGURE 3.11. Estimation picture for the lasso (left) and ridge regression (right). Shown are contours of the error and constraint functions. The solid blue areas are the constraint regions |β1| + |β2| ≤ t and β2 1 + β2 2 ≤ t 2, respectively, while the red ellipses are the contours of the least squares error function.
72 3. Linear Methods for Regression
region for ridge regression is the disk β2 1 + β2 2 ≤ t, while that for lasso is the diamond |β1| + |β2| ≤ t. Both methods find the first point where the elliptical contours hit the constraint region. Unlike the disk, the diamond has corners; if the solution occurs at a corner, then it has one parameter βj equal to zero. When p > 2, the diamond becomes a rhomboid, and has many corners, flat edges and faces; there are many more opportunities for the estimated parameters to be zero.
We can generalize ridge regression and the lasso, and view them as Bayes estimates. Consider the criterion
\[\tilde{\beta} = \underset{\beta}{\text{argmin}} \left\{ \sum\_{i=1}^{N} \left( y\_i - \beta\_0 - \sum\_{j=1}^{p} x\_{ij}\beta\_j \right)^2 + \lambda \sum\_{j=1}^{p} |\beta\_j|^q \right\} \tag{3.53}\]
for q ≥ 0. The contours of constant value of ( j |βj | q are shown in Figure 3.12, for the case of two inputs.
Thinking of |βj | q as the log-prior density for βj , these are also the equicontours of the prior distribution of the parameters. The value q = 0 corresponds to variable subset selection, as the penalty simply counts the number of nonzero parameters; q = 1 corresponds to the lasso, while q = 2 to ridge regression. Notice that for q ≤ 1, the prior is not uniform in direction, but concentrates more mass in the coordinate directions. The prior corresponding to the q = 1 case is an independent double exponential (or Laplace) distribution for each input, with density (1/2τ ) exp(−|β|/τ ) and τ = 1/λ. The case q = 1 (lasso) is the smallest q such that the constraint region is convex; non-convex constraint regions make the optimization problem more difficult.
In this view, the lasso, ridge regression and best subset selection are Bayes estimates with different priors. Note, however, that they are derived as posterior modes, that is, maximizers of the posterior. It is more common to use the mean of the posterior as the Bayes estimate. Ridge regression is also the posterior mean, but the lasso and best subset selection are not.
Looking again at the criterion (3.53), we might try using other values of q besides 0, 1, or 2. Although one might consider estimating q from the data, our experience is that it is not worth the effort for the extra variance incurred. Values of q ∈ (1, 2) suggest a compromise between the lasso and ridge regression. Although this is the case, with q > 1, |βj | q is differentiable at 0, and so does not share the ability of lasso (q = 1) for

FIGURE 3.12. Contours of constant value of P j |βj | q for given values of q.

FIGURE 3.13. Contours of constant value of P j |βj | q for q = 1.2 (left plot), and the elastic-net penalty P j (αβ2 j +(1−α)|βj |) for α = 0.2 (right plot). Although visually very similar, the elastic-net has sharp (non-differentiable) corners, while the q = 1.2 penalty does not.
setting coefficients exactly to zero. Partly for this reason as well as for computational tractability, Zou and Hastie (2005) introduced the elasticnet penalty
\[\lambda \sum\_{j=1}^{p} \left( \alpha \beta\_j^2 + (1 - \alpha)|\beta\_j| \right),\tag{3.54}\]
a different compromise between ridge and lasso. Figure 3.13 compares the Lq penalty with q = 1.2 and the elastic-net penalty with α = 0.2; it is hard to detect the difference by eye. The elastic-net selects variables like the lasso, and shrinks together the coefficients of correlated predictors like ridge. It also has considerable computational advantages over the Lq penalties. We discuss the elastic-net further in Section 18.4.
3.4.4 Least Angle Regression
Least angle regression (LAR) is a relative newcomer (Efron et al., 2004), and can be viewed as a kind of “democratic” version of forward stepwise regression (Section 3.3.2). As we will see, LAR is intimately connected with the lasso, and in fact provides an extremely efficient algorithm for computing the entire lasso path as in Figure 3.10.
Forward stepwise regression builds a model sequentially, adding one variable at a time. At each step, it identifies the best variable to include in the active set, and then updates the least squares fit to include all the active variables.
Least angle regression uses a similar strategy, but only enters “as much” of a predictor as it deserves. At the first step it identifies the variable most correlated with the response. Rather than fit this variable completely, LAR moves the coefficient of this variable continuously toward its leastsquares value (causing its correlation with the evolving residual to decrease in absolute value). As soon as another variable “catches up” in terms of correlation with the residual, the process is paused. The second variable then joins the active set, and their coefficients are moved together in a way that keeps their correlations tied and decreasing. This process is continued
74 3. Linear Methods for Regression
until all the variables are in the model, and ends at the full least-squares fit. Algorithm 3.2 provides the details. The termination condition in step 5 requires some explanation. If p>N − 1, the LAR algorithm reaches a zero residual solution after N − 1 steps (the −1 is because we have centered the data).
Algorithm 3.2 Least Angle Regression.
- Standardize the predictors to have mean zero and unit norm. Start with the residual r = y − y¯, β1, β2,…, βp = 0.
- Find the predictor xj most correlated with r.
- Move βj from 0 towards its least-squares coefficient ⟨xj , r⟩, until some other competitor xk has as much correlation with the current residual as does xj .
- Move βj and βk in the direction defined by their joint least squares coefficient of the current residual on (xj , xk), until some other competitor xl has as much correlation with the current residual.
- Continue in this way until all p predictors have been entered. After min(N − 1, p) steps, we arrive at the full least-squares solution.
Suppose Ak is the active set of variables at the beginning of the kth step, and let βAk be the coefficient vector for these variables at this step; there will be k − 1 nonzero values, and the one just entered will be zero. If rk = y − XAk βAk is the current residual, then the direction for this step is
\[\delta\_k = (\mathbf{X}\_{\mathcal{A}\_k}^T \mathbf{X}\_{\mathcal{A}\_k})^{-1} \mathbf{X}\_{\mathcal{A}\_k}^T \mathbf{r}\_k. \tag{3.55}\]
The coefficient profile then evolves as βAk (α) = βAk + α · δk. Exercise 3.23 verifies that the directions chosen in this fashion do what is claimed: keep the correlations tied and decreasing. If the fit vector at the beginning of this step is ˆfk, then it evolves as ˆfk(α) = ˆfk + α · uk, where uk = XAk δk is the new fit direction. The name “least angle” arises from a geometrical interpretation of this process; uk makes the smallest (and equal) angle with each of the predictors in Ak (Exercise 3.24). Figure 3.14 shows the absolute correlations decreasing and joining ranks with each step of the LAR algorithm, using simulated data.
By construction the coefficients in LAR change in a piecewise linear fashion. Figure 3.15 [left panel] shows the LAR coefficient profile evolving as a function of their L1 arc length 2. Note that we do not need to take small
2The L1 arc-length of a differentiable curve β(s) for s ∈ [0, S] is given by TV(β, S) = R S 0 ||β˙(s)||1ds, where β˙(s) = ∂β(s)/∂s. For the piecewise-linear LAR coefficient profile, this amounts to summing the L1 norms of the changes in coefficients from step to step.

FIGURE 3.14. Progression of the absolute correlations during each step of the LAR procedure, using a simulated data set with six predictors. The labels at the top of the plot indicate which variables enter the active set at each step. The step length are measured in units of L1 arc length.

FIGURE 3.15. Left panel shows the LAR coefficient profiles on the simulated data, as a function of the L1 arc length. The right panel shows the Lasso profile. They are identical until the dark-blue coefficient crosses zero at an arc length of about 18.
76 3. Linear Methods for Regression
steps and recheck the correlations in step 3; using knowledge of the covariance of the predictors and the piecewise linearity of the algorithm, we can work out the exact step length at the beginning of each step (Exercise 3.25).
The right panel of Figure 3.15 shows the lasso coefficient profiles on the same data. They are almost identical to those in the left panel, and differ for the first time when the blue coefficient passes back through zero. For the prostate data, the LAR coefficient profile turns out to be identical to the lasso profile in Figure 3.10, which never crosses zero. These observations lead to a simple modification of the LAR algorithm that gives the entire lasso path, which is also piecewise-linear.
Algorithm 3.2a Least Angle Regression: Lasso Modification.
4a. If a non-zero coefficient hits zero, drop its variable from the active set of variables and recompute the current joint least squares direction.
The LAR(lasso) algorithm is extremely efficient, requiring the same order of computation as that of a single least squares fit using the p predictors. Least angle regression always takes p steps to get to the full least squares estimates. The lasso path can have more than p steps, although the two are often quite similar. Algorithm 3.2 with the lasso modification 3.2a is an efficient way of computing the solution to any lasso problem, especially when p ≫ N. Osborne et al. (2000a) also discovered a piecewise-linear path for computing the lasso, which they called a homotopy algorithm.
We now give a heuristic argument for why these procedures are so similar. Although the LAR algorithm is stated in terms of correlations, if the input features are standardized, it is equivalent and easier to work with innerproducts. Suppose A is the active set of variables at some stage in the algorithm, tied in their absolute inner-product with the current residuals y − Xβ. We can express this as
\[\mathbf{x}\_j^T(\mathbf{y} - \mathbf{X}\boldsymbol{\beta}) = \boldsymbol{\gamma} \cdot \boldsymbol{s}\_j, \forall j \in \mathcal{A} \tag{3.56}\]
where sj ∈ {−1, 1} indicates the sign of the inner-product, and γ is the common value. Also |xT k (y − Xβ)| ≤ γ ∀k ̸∈ A. Now consider the lasso criterion (3.52), which we write in vector form
\[R(\beta) = \frac{1}{2}||\mathbf{y} - \mathbf{X}\beta||\_2^2 + \lambda||\beta||\_1. \tag{3.57}\]
Let B be the active set of variables in the solution for a given value of λ. For these variables R(β) is differentiable, and the stationarity conditions give
\[\mathbf{x}\_j^T(\mathbf{y} - \mathbf{X}\boldsymbol{\beta}) = \lambda \cdot \text{sign}(\beta\_j), \forall j \in \mathcal{B} \tag{3.58}\]
Comparing (3.58) with (3.56), we see that they are identical only if the sign of βj matches the sign of the inner product. That is why the LAR algorithm and lasso start to differ when an active coefficient passes through zero; condition (3.58) is violated for that variable, and it is kicked out of the active set B. Exercise 3.23 shows that these equations imply a piecewiselinear coefficient profile as λ decreases. The stationarity conditions for the non-active variables require that
\[|\mathbf{x}\_k^T(\mathbf{y} - \mathbf{X}\beta)| \le \lambda, \,\forall k \notin \mathcal{B},\tag{3.59}\]
which again agrees with the LAR algorithm.
Figure 3.16 compares LAR and lasso to forward stepwise and stagewise regression. The setup is the same as in Figure 3.6 on page 59, except here N = 100 here rather than 300, so the problem is more difficult. We see that the more aggressive forward stepwise starts to overfit quite early (well before the 10 true variables can enter the model), and ultimately performs worse than the slower forward stagewise regression. The behavior of LAR and lasso is similar to that of forward stagewise regression. Incremental forward stagewise is similar to LAR and lasso, and is described in Section 3.8.1.
Degrees-of-Freedom Formula for LAR and Lasso
Suppose that we fit a linear model via the least angle regression procedure, stopping at some number of steps k<p, or equivalently using a lasso bound t that produces a constrained version of the full least squares fit. How many parameters, or “degrees of freedom” have we used?
Consider first a linear regression using a subset of k features. If this subset is prespecified in advance without reference to the training data, then the degrees of freedom used in the fitted model is defined to be k. Indeed, in classical statistics, the number of linearly independent parameters is what is meant by “degrees of freedom.” Alternatively, suppose that we carry out a best subset selection to determine the “optimal” set of k predictors. Then the resulting model has k parameters, but in some sense we have used up more than k degrees of freedom.
We need a more general definition for the effective degrees of freedom of an adaptively fitted model. We define the degrees of freedom of the fitted vector yˆ = (ˆy1, yˆ2,…, yˆN ) as
\[\mathrm{d}\mathbf{f}(\hat{\mathbf{y}}) = \frac{1}{\sigma^2} \sum\_{i=1}^{N} \mathrm{Cov}(\hat{y}\_i, y\_i). \tag{3.60}\]
Here Cov(ˆyi, yi) refers to the sampling covariance between the predicted value ˆyi and its corresponding outcome value yi. This makes intuitive sense: the harder that we fit to the data, the larger this covariance and hence df(yˆ). Expression (3.60) is a useful notion of degrees of freedom, one that can be applied to any model prediction yˆ. This includes models that are

FIGURE 3.16. Comparison of LAR and lasso with forward stepwise, forward stagewise (FS) and incremental forward stagewise (FS0) regression. The setup is the same as in Figure 3.6, except N = 100 here rather than 300. Here the slower FS regression ultimately outperforms forward stepwise. LAR and lasso show similar behavior to FS and FS0. Since the procedures take different numbers of steps (across simulation replicates and methods), we plot the MSE as a function of the fraction of total L1 arc-length toward the least-squares fit.
adaptively fitted to the training data. This definition is motivated and discussed further in Sections 7.4–7.6.
Now for a linear regression with k fixed predictors, it is easy to show that df(yˆ) = k. Likewise for ridge regression, this definition leads to the closed-form expression (3.50) on page 68: df(yˆ) = tr(Sλ). In both these cases, (3.60) is simple to evaluate because the fit yˆ = Hλy is linear in y. If we think about definition (3.60) in the context of a best subset selection of size k, it seems clear that df(yˆ) will be larger than k, and this can be verified by estimating Cov(ˆyi, yi)/σ2 directly by simulation. However there is no closed form method for estimating df(yˆ) for best subset selection.
For LAR and lasso, something magical happens. These techniques are adaptive in a smoother way than best subset selection, and hence estimation of degrees of freedom is more tractable. Specifically it can be shown that after the kth step of the LAR procedure, the effective degrees of freedom of the fit vector is exactly k. Now for the lasso, the (modified) LAR procedure often takes more than p steps, since predictors can drop out. Hence the definition is a little different; for the lasso, at any stage df(yˆ) approximately equals the number of predictors in the model. While this approximation works reasonably well anywhere in the lasso path, for each k it works best at the last model in the sequence that contains k predictors. A detailed study of the degrees of freedom for the lasso may be found in Zou et al. (2007).
3.5 Methods Using Derived Input Directions
In many situations we have a large number of inputs, often very correlated. The methods in this section produce a small number of linear combinations Zm, m = 1,…,M of the original inputs Xj , and the Zm are then used in place of the Xj as inputs in the regression. The methods differ in how the linear combinations are constructed.
3.5.1 Principal Components Regression
In this approach the linear combinations Zm used are the principal components as defined in Section 3.4.1 above.
Principal component regression forms the derived input columns zm = Xvm, and then regresses y on z1, z2,…, zM for some M ≤ p. Since the zm are orthogonal, this regression is just a sum of univariate regressions:
\[\hat{\mathbf{y}}\_{(M)}^{\text{pcr}} = \bar{y}\mathbf{1} + \sum\_{m=1}^{M} \hat{\theta}\_{m} \mathbf{z}\_{m},\tag{3.61}\]
where ˆθm = ⟨zm, y⟩/⟨zm, zm⟩. Since the zm are each linear combinations of the original xj , we can express the solution (3.61) in terms of coefficients of the xj (Exercise 3.13):
\[ \hat{\beta}^{\text{pcr}}(M) = \sum\_{m=1}^{M} \hat{\theta}\_m v\_m. \tag{3.62} \]
As with ridge regression, principal components depend on the scaling of the inputs, so typically we first standardize them. Note that if M = p, we would just get back the usual least squares estimates, since the columns of Z = UD span the column space of X. For M<p we get a reduced regression. We see that principal components regression is very similar to ridge regression: both operate via the principal components of the input matrix. Ridge regression shrinks the coefficients of the principal components (Figure 3.17), shrinking more depending on the size of the corresponding eigenvalue; principal components regression discards the p − M smallest eigenvalue components. Figure 3.17 illustrates this.
80 3. Linear Methods for Regression

FIGURE 3.17. Ridge regression shrinks the regression coefficients of the principal components, using shrinkage factors d2 j/(d2 j + λ) as in (3.47). Principal component regression truncates them. Shown are the shrinkage and truncation patterns corresponding to Figure 3.7, as a function of the principal component index.
In Figure 3.7 we see that cross-validation suggests seven terms; the resulting model has the lowest test error in Table 3.3.
3.5.2 Partial Least Squares
This technique also constructs a set of linear combinations of the inputs for regression, but unlike principal components regression it uses y (in addition to X) for this construction. Like principal component regression, partial least squares (PLS) is not scale invariant, so we assume that each xj is standardized to have mean 0 and variance 1. PLS begins by computing ˆϕ1j = ⟨xj , y⟩ for each j. From this we construct the derived input z1 = ( j ϕˆ1jxj , which is the first partial least squares direction. Hence in the construction of each zm, the inputs are weighted by the strength of their univariate effect on y3. The outcome y is regressed on z1 giving coefficient ˆθ1, and then we orthogonalize x1,…, xp with respect to z1. We continue this process, until M ≤ p directions have been obtained. In this manner, partial least squares produces a sequence of derived, orthogonal inputs or directions z1, z2,…, zM. As with principal-component regression, if we were to construct all M = p directions, we would get back a solution equivalent to the usual least squares estimates; using M<p directions produces a reduced regression. The procedure is described fully in Algorithm 3.3.
3Since the xj are standardized, the first directions ˆϕ1j are the univariate regression coefficients (up to an irrelevant constant); this is not the case for subsequent directions.
Algorithm 3.3 Partial Least Squares.
- Standardize each xj to have mean zero and variance one. Set yˆ(0) = y¯1, and x(0) j = xj , j = 1,…,p.
- For m = 1, 2,…,p
- zm = (p j=1 ϕˆmjx(m−1) j , where ˆϕmj = ⟨x(m−1) j , y⟩.
- ˆθm = ⟨zm, y⟩/⟨zm, zm⟩.
- yˆ(m) = yˆ(m−1) + ˆθmzm.
- Orthogonalize each x(m−1) j with respect to zm: x(m) j = x(m−1) j − [⟨zm, x(m−1) j ⟩/⟨zm, zm⟩]zm, j = 1, 2,…,p.
- Output the sequence of fitted vectors {yˆ(m) }p 1. Since the {zℓ}m 1 are linear in the original xj , so is yˆ(m) = Xβˆpls(m). These linear coefficients can be recovered from the sequence of PLS transformations.
In the prostate cancer example, cross-validation chose M = 2 PLS directions in Figure 3.7. This produced the model given in the rightmost column of Table 3.3.
What optimization problem is partial least squares solving? Since it uses the response y to construct its directions, its solution path is a nonlinear function of y. It can be shown (Exercise 3.15) that partial least squares seeks directions that have high variance and have high correlation with the response, in contrast to principal components regression which keys only on high variance (Stone and Brooks, 1990; Frank and Friedman, 1993). In particular, the mth principal component direction vm solves:
\[\max\_{\alpha} \text{Var}(\mathbf{X}\alpha) \tag{3.63}\]
\[\text{subject to } ||\alpha|| = 1, \ \alpha^T \mathbf{S} v\_\ell = 0, \ \ell = 1, \dots, m - 1,\]
where S is the sample covariance matrix of the xj . The conditions αT Svℓ = 0 ensures that zm = Xα is uncorrelated with all the previous linear combinations zℓ = Xvℓ. The mth PLS direction ˆϕm solves:
\[\max\_{\alpha} \text{Corr}^2(\mathbf{y}, \mathbf{X}\alpha) \text{Var}(\mathbf{X}\alpha) \tag{3.64}\]
\[\text{subject to } ||\alpha|| = 1, \ \alpha^T \mathbf{S} \hat{\varphi}\_{\ell} = 0, \ \ell = 1, \ldots, m - 1.\]
Further analysis reveals that the variance aspect tends to dominate, and so partial least squares behaves much like ridge regression and principal components regression. We discuss this further in the next section.
If the input matrix X is orthogonal, then partial least squares finds the least squares estimates after m = 1 steps. Subsequent steps have no effect
82 3. Linear Methods for Regression
since the ˆϕmj are zero for m > 1 (Exercise 3.14). It can also be shown that the sequence of PLS coefficients for m = 1, 2,…,p represents the conjugate gradient sequence for computing the least squares solutions (Exercise 3.18).
3.6 Discussion: A Comparison of the Selection and Shrinkage Methods
There are some simple settings where we can understand better the relationship between the different methods described above. Consider an example with two correlated inputs X1 and X2, with correlation ρ. We assume that the true regression coefficients are β1 = 4 and β2 = 2. Figure 3.18 shows the coefficient profiles for the different methods, as their tuning parameters are varied. The top panel has ρ = 0.5, the bottom panel ρ = −0.5. The tuning parameters for ridge and lasso vary over a continuous range, while best subset, PLS and PCR take just two discrete steps to the least squares solution. In the top panel, starting at the origin, ridge regression shrinks the coefficients together until it finally converges to least squares. PLS and PCR show similar behavior to ridge, although are discrete and more extreme. Best subset overshoots the solution and then backtracks. The behavior of the lasso is intermediate to the other methods. When the correlation is negative (lower panel), again PLS and PCR roughly track the ridge path, while all of the methods are more similar to one another.
It is interesting to compare the shrinkage behavior of these different methods. Recall that ridge regression shrinks all directions, but shrinks low-variance directions more. Principal components regression leaves M high-variance directions alone, and discards the rest. Interestingly, it can be shown that partial least squares also tends to shrink the low-variance directions, but can actually inflate some of the higher variance directions. This can make PLS a little unstable, and cause it to have slightly higher prediction error compared to ridge regression. A full study is given in Frank and Friedman (1993). These authors conclude that for minimizing prediction error, ridge regression is generally preferable to variable subset selection, principal components regression and partial least squares. However the improvement over the latter two methods was only slight.
To summarize, PLS, PCR and ridge regression tend to behave similarly. Ridge regression may be preferred because it shrinks smoothly, rather than in discrete steps. Lasso falls somewhere between ridge regression and best subset regression, and enjoys some of the properties of each.

ρ = 0.5


FIGURE 3.18. Coefficient profiles from different methods for a simple problem: two inputs with correlation ±0.5, and the true regression coefficients β = (4, 2).
3.7 Multiple Outcome Shrinkage and Selection
As noted in Section 3.2.4, the least squares estimates in a multiple-output linear model are simply the individual least squares estimates for each of the outputs.
To apply selection and shrinkage methods in the multiple output case, one could apply a univariate technique individually to each outcome or simultaneously to all outcomes. With ridge regression, for example, we could apply formula (3.44) to each of the K columns of the outcome matrix Y , using possibly different parameters λ, or apply it to all columns using the same value of λ. The former strategy would allow different amounts of regularization to be applied to different outcomes but require estimation of k separate regularization parameters λ1,…, λk, while the latter would permit all k outputs to be used in estimating the sole regularization parameter λ.
Other more sophisticated shrinkage and selection strategies that exploit correlations in the different responses can be helpful in the multiple output case. Suppose for example that among the outputs we have
\[Y\_k \quad = \quad f(X) + \varepsilon\_k \tag{3.65}\]
\[Y\_{\ell} \quad = \quad f(X) + \varepsilon\_{\ell};\tag{3.66}\]
i.e., (3.65) and (3.66) share the same structural part f(X) in their models. It is clear in this case that we should pool our observations on Yk and Yl to estimate the common f.
Combining responses is at the heart of canonical correlation analysis (CCA), a data reduction technique developed for the multiple output case. Similar to PCA, CCA finds a sequence of uncorrelated linear combinations Xvm, m = 1,…,M of the xj , and a corresponding sequence of uncorrelated linear combinations Yum of the responses yk, such that the correlations
\[\text{Corr}^2(\mathbf{Y}u\_m, \mathbf{X}v\_m) \tag{3.67}\]
are successively maximized. Note that at most M = min(K, p) directions can be found. The leading canonical response variates are those linear combinations (derived responses) best predicted by the xj ; in contrast, the trailing canonical variates can be poorly predicted by the xj , and are candidates for being dropped. The CCA solution is computed using a generalized SVD of the sample cross-covariance matrix YT X/N (assuming Y and X are centered; Exercise 3.20).
Reduced-rank regression (Izenman, 1975; van der Merwe and Zidek, 1980) formalizes this approach in terms of a regression model that explicitly pools information. Given an error covariance Cov(ε) = Σ, we solve the following restricted multivariate regression problem:
\[\hat{\mathbf{B}}^{\text{rr}}(m) = \underset{\text{rank}(\mathbf{B}) = m}{\text{argmin}} \sum\_{i=1}^{N} (y\_i - \mathbf{B}^T x\_i)^T \boldsymbol{\Sigma}^{-1} (y\_i - \mathbf{B}^T x\_i). \tag{3.68}\]
With Σ replaced by the estimate YT Y/N, one can show (Exercise 3.21) that the solution is given by a CCA of Y and X:
\[ \hat{\mathbf{B}}^{\text{rr}}(m) = \hat{\mathbf{B}} \mathbf{U}\_m \mathbf{U}\_m^-,\tag{3.69} \]
where Um is the K × m sub-matrix of U consisting of the first m columns, and U is the K × M matrix of left canonical vectors u1, u2,…,uM. U− m is its generalized inverse. Writing the solution as
\[ \hat{\mathbf{B}}^{\text{rr}}(M) = (\mathbf{X}^T \mathbf{X})^{-1} \mathbf{X}^T (\mathbf{Y} \mathbf{U}\_m) \mathbf{U}\_m^-,\tag{3.70} \]
we see that reduced-rank regression performs a linear regression on the pooled response matrix YUm, and then maps the coefficients (and hence the fits as well) back to the original response space. The reduced-rank fits are given by
\[\begin{split} \hat{\mathbf{Y}}^{\text{rr}}(m) &= \mathbf{X}(\mathbf{X}^T\mathbf{X})^{-1}\mathbf{X}^T\mathbf{Y}\mathbf{U}\_m\mathbf{U}\_m^- \\ &= \mathbf{H}\mathbf{Y}\mathbf{P}\_m, \end{split} \tag{3.71}\]
where H is the usual linear regression projection operator, and Pm is the rank-m CCA response projection operator. Although a better estimate of Σ would be (Y−XBˆ )T (Y−XBˆ )/(N −pK), one can show that the solution remains the same (Exercise 3.22).
Reduced-rank regression borrows strength among responses by truncating the CCA. Breiman and Friedman (1997) explored with some success shrinkage of the canonical variates between X and Y, a smooth version of reduced rank regression. Their proposal has the form (compare (3.69))
\[ \hat{\mathbf{B}}^{c+w} = \hat{\mathbf{B}} \mathbf{U} \boldsymbol{\Lambda} \mathbf{U}^{-1},\tag{3.72} \]
where Λ is a diagonal shrinkage matrix (the “c+w” stands for “Curds and Whey,” the name they gave to their procedure). Based on optimal prediction in the population setting, they show that Λ has diagonal entries
\[\lambda\_m = \frac{c\_m^2}{c\_m^2 + \frac{p}{N}(1 - c\_m^2)}, \ m = 1, \ldots, M,\tag{3.73}\]
where cm is the mth canonical correlation coefficient. Note that as the ratio of the number of input variables to sample size p/N gets small, the shrinkage factors approach 1. Breiman and Friedman (1997) proposed modified versions of Λ based on training data and cross-validation, but the general form is the same. Here the fitted response has the form
\[ \hat{\mathbf{Y}}^{\text{c+w}} = \mathbf{H} \mathbf{Y} \mathbf{S}^{\text{c+w}},\tag{3.74} \]
86 3. Linear Methods for Regression
where Sc+w = UΛU−1 is the response shrinkage operator.
Breiman and Friedman (1997) also suggested shrinking in both the Y space and X space. This leads to hybrid shrinkage models of the form
\[ \hat{\mathbf{Y}}^{\text{ridge}, \text{c}+\text{w}} = \mathbf{A}\_{\lambda} \mathbf{Y} \mathbf{S}^{\text{c}+\text{w}},\tag{3.75} \]
where Aλ = X(XT X+λI)−1XT is the ridge regression shrinkage operator, as in (3.46) on page 66. Their paper and the discussions thereof contain many more details.
3.8.1 Incremental Forward Stagewise Regression
Here we present another LAR-like algorithm, this time focused on forward stagewise regression. Interestingly, efforts to understand a flexible nonlinear regression procedure (boosting) led to a new algorithm for linear models (LAR). In reading the first edition of this book and the forward stagewise
Algorithm 3.4 Incremental Forward Stagewise Regression—FSϵ.
- Start with the residual r equal to y and β1, β2,…, βp = 0. All the predictors are standardized to have mean zero and unit norm.
- Find the predictor xj most correlated with r
- Update βj ← βj + δj , where δj = ϵ · sign[⟨xj , r⟩] and ϵ > 0 is a small step size, and set r ← r − δjxj .
- Repeat steps 2 and 3 many times, until the residuals are uncorrelated with all the predictors.
Algorithm 16.1 of Chapter 164, our colleague Brad Efron realized that with
4In the first edition, this was Algorithm 10.4 in Chapter 10.

FIGURE 3.19. Coefficient profiles for the prostate data. The left panel shows incremental forward stagewise regression with step size ϵ = 0.01. The right panel shows the infinitesimal version FS0 obtained letting ϵ → 0. This profile was fit by the modification 3.2b to the LAR Algorithm 3.2. In this example the FS0 profiles are monotone, and hence identical to those of lasso and LAR.
linear models, one could explicitly construct the piecewise-linear lasso paths of Figure 3.10. This led him to propose the LAR procedure of Section 3.4.4, as well as the incremental version of forward-stagewise regression presented here.
Consider the linear-regression version of the forward-stagewise boosting algorithm 16.1 proposed in Section 16.1 (page 608). It generates a coefficient profile by repeatedly updating (by a small amount ϵ) the coefficient of the variable most correlated with the current residuals. Algorithm 3.4 gives the details. Figure 3.19 (left panel) shows the progress of the algorithm on the prostate data with step size ϵ = 0.01. If δj = ⟨xj , r⟩ (the least-squares coefficient of the residual on jth predictor), then this is exactly the usual forward stagewise procedure (FS) outlined in Section 3.3.3.
Here we are mainly interested in small values of ϵ. Letting ϵ → 0 gives the right panel of Figure 3.19, which in this case is identical to the lasso path in Figure 3.10. We call this limiting procedure infinitesimal forward stagewise regression or FS0. This procedure plays an important role in non-linear, adaptive methods like boosting (Chapters 10 and 16) and is the version of incremental forward stagewise regression that is most amenable to theoretical analysis. B¨uhlmann and Hothorn (2007) refer to the same procedure as “L2boost”, because of its connections to boosting.
88 3. Linear Methods for Regression
Efron originally thought that the LAR Algorithm 3.2 was an implementation of FS0, allowing each tied predictor a chance to update their coefficients in a balanced way, while remaining tied in correlation. However, he then realized that the LAR least-squares fit amongst the tied predictors can result in coefficients moving in the opposite direction to their correlation, which cannot happen in Algorithm 3.4. The following modification of the LAR algorithm implements FS0:
| Algorithm 3.2b Least Angle Regression: FS0 | Modification. | |||
|---|---|---|---|---|
- Find the new direction by solving the constrained least squares problem
min b ||r − XAb||2 2 subject to bj sj ≥ 0, j ∈ A,
where sj is the sign of ⟨xj , r⟩.
The modification amounts to a non-negative least squares fit, keeping the signs of the coefficients the same as those of the correlations. One can show that this achieves the optimal balancing of infinitesimal “update turns” for the variables tied for maximal correlation (Hastie et al., 2007). Like lasso, the entire FS0 path can be computed very efficiently via the LAR algorithm.
As a consequence of these results, if the LAR profiles are monotone nonincreasing or non-decreasing, as they are in Figure 3.19, then all three methods—LAR, lasso, and FS0—give identical profiles. If the profiles are not monotone but do not cross the zero axis, then LAR and lasso are identical.
Since FS0 is different from the lasso, it is natural to ask if it optimizes a criterion. The answer is more complex than for lasso; the FS0 coefficient profile is the solution to a differential equation. While the lasso makes optimal progress in terms of reducing the residual sum-of-squares per unit increase in L1-norm of the coefficient vector β, FS0 is optimal per unit increase in L1 arc-length traveled along the coefficient path. Hence its coefficient path is discouraged from changing directions too often.
FS0 is more constrained than lasso, and in fact can be viewed as a monotone version of the lasso; see Figure 16.3 on page 614 for a dramatic example. FS0 may be useful in p ≫ N situations, where its coefficient profiles are much smoother and hence have less variance than those of lasso. More details on FS0 are given in Section 16.2.3 and Hastie et al. (2007). Figure 3.16 includes FS0 where its performance is very similar to that of the lasso.
3.8.2 Piecewise-Linear Path Algorithms
The least angle regression procedure exploits the piecewise linear nature of the lasso solution paths. It has led to similar “path algorithms” for other regularized problems. Suppose we solve
\[ \hat{\beta}(\lambda) = \operatorname{argmin}\_{\beta} \left[ R(\beta) + \lambda J(\beta) \right], \tag{3.76} \]
with
\[R(\beta) = \sum\_{i=1}^{N} L(y\_i, \beta\_0 + \sum\_{j=1}^{p} x\_{ij}\beta\_j),\tag{3.77}\]
where both the loss function L and the penalty function J are convex. Then the following are sufficient conditions for the solution path βˆ(λ) to be piecewise linear (Rosset and Zhu, 2007):
- R is quadratic or piecewise-quadratic as a function of β, and
- J is piecewise linear in β.
This also implies (in principle) that the solution path can be efficiently computed. Examples include squared- and absolute-error loss, “Huberized” losses, and the L1, L∞ penalties on β. Another example is the “hinge loss” function used in the support vector machine. There the loss is piecewise linear, and the penalty is quadratic. Interestingly, this leads to a piecewiselinear path algorithm in the dual space; more details are given in Section 12.3.5.
3.8.3 The Dantzig Selector
Candes and Tao (2007) proposed the following criterion:
\[\min\_{\beta} ||\beta||\_1 \text{ subject to } ||\mathbf{X}^T(\mathbf{y} - \mathbf{X}\beta)||\_\infty \le s. \tag{3.78}\]
They call the solution the Dantzig selector (DS). It can be written equivalently as
\[\min\_{\beta} ||\mathbf{X}^T(\mathbf{y} - \mathbf{X}\beta)||\_{\infty} \text{ subject to } ||\beta||\_1 \le t. \tag{3.79}\]
Here || · ||∞ denotes the L∞ norm, the maximum absolute value of the components of the vector. In this form it resembles the lasso, replacing squared error loss by the maximum absolute value of its gradient. Note that as t gets large, both procedures yield the least squares solution if N<p. If p ≥ N, they both yield the least squares solution with minimum L1 norm. However for smaller values of t, the DS procedure produces a different path of solutions than the lasso.
Candes and Tao (2007) show that the solution to DS is a linear programming problem; hence the name Dantzig selector, in honor of the late
90 3. Linear Methods for Regression
George Dantzig, the inventor of the simplex method for linear programming. They also prove a number of interesting mathematical properties for the method, related to its ability to recover an underlying sparse coefficient vector. These same properties also hold for the lasso, as shown later by Bickel et al. (2008).
Unfortunately the operating properties of the DS method are somewhat unsatisfactory. The method seems similar in spirit to the lasso, especially when we look at the lasso’s stationary conditions (3.58). Like the LAR algorithm, the lasso maintains the same inner product (and correlation) with the current residual for all variables in the active set, and moves their coefficients to optimally decrease the residual sum of squares. In the process, this common correlation is decreased monotonically (Exercise 3.23), and at all times this correlation is larger than that for non-active variables. The Dantzig selector instead tries to minimize the maximum inner product of the current residual with all the predictors. Hence it can achieve a smaller maximum than the lasso, but in the process a curious phenomenon can occur. If the size of the active set is m, there will be m variables tied with maximum correlation. However, these need not coincide with the active set! Hence it can include a variable in the model that has smaller correlation with the current residual than some of the excluded variables (Efron et al., 2007). This seems unreasonable and may be responsible for its sometimes inferior prediction accuracy. Efron et al. (2007) also show that DS can yield extremely erratic coefficient paths as the regularization parameter s is varied.
3.8.4 The Grouped Lasso
In some problems, the predictors belong to pre-defined groups; for example genes that belong to the same biological pathway, or collections of indicator (dummy) variables for representing the levels of a categorical predictor. In this situation it may be desirable to shrink and select the members of a group together. The grouped lasso is one way to achieve this. Suppose that the p predictors are divided into L groups, with pℓ the number in group ℓ. For ease of notation, we use a matrix Xℓ to represent the predictors corresponding to the ℓth group, with corresponding coefficient vector βℓ. The grouped-lasso minimizes the convex criterion
\[\min\_{\beta \in \mathbb{R}^p} \left( ||\mathbf{y} - \beta\_0 \mathbf{1} - \sum\_{\ell=1}^L \mathbf{X}\_\ell \beta\_\ell||\_2^2 + \lambda \sum\_{\ell=1}^L \sqrt{p\_\ell} ||\beta\_\ell||\_2 \right),\tag{3.80}\]
where the √pℓ terms accounts for the varying group sizes, and || · ||2 is the Euclidean norm (not squared). Since the Euclidean norm of a vector βℓ is zero only if all of its components are zero, this procedure encourages sparsity at both the group and individual levels. That is, for some values of λ, an entire group of predictors may drop out of the model. This procedure was proposed by Bakin (1999) and Lin and Zhang (2006), and studied and generalized by Yuan and Lin (2007). Generalizations include more general L2 norms ||η||K = (ηT Kη)1/2, as well as allowing overlapping groups of predictors (Zhao et al., 2008). There are also connections to methods for fitting sparse additive models (Lin and Zhang, 2006; Ravikumar et al., 2008).
3.8.5 Further Properties of the Lasso
A number of authors have studied the ability of the lasso and related procedures to recover the correct model, as N and p grow. Examples of this work include Knight and Fu (2000), Greenshtein and Ritov (2004), Tropp (2004), Donoho (2006b), Meinshausen (2007), Meinshausen and B¨uhlmann (2006), Tropp (2006), Zhao and Yu (2006), Wainwright (2006), and Bunea et al. (2007). For example Donoho (2006b) focuses on the p>N case and considers the lasso solution as the bound t gets large. In the limit this gives the solution with minimum L1 norm among all models with zero training error. He shows that under certain assumptions on the model matrix X, if the true model is sparse, this solution identifies the correct predictors with high probability.
Many of the results in this area assume a condition on the model matrix of the form
\[||(\mathbf{X}\_{\mathcal{S}}^{T}\mathbf{X}\_{\mathcal{S}})^{-1}\mathbf{X}\_{\mathcal{S}}\,^{T}\mathbf{X}\_{\mathcal{S}^c}||\_{\infty} \le (1-\epsilon) \text{ for some } \epsilon \in (0,1]. \tag{3.81}\]
Here S indexes the subset of features with non-zero coefficients in the true underlying model, and XS are the columns of X corresponding to those features. Similarly Sc are the features with true coefficients equal to zero, and XSc the corresponding columns. This says that the least squares coefficients for the columns of XSc on XS are not too large, that is, the “good” variables S are not too highly correlated with the nuisance variables Sc.
Regarding the coefficients themselves, the lasso shrinkage causes the estimates of the non-zero coefficients to be biased towards zero, and in general they are not consistent5. One approach for reducing this bias is to run the lasso to identify the set of non-zero coefficients, and then fit an unrestricted linear model to the selected set of features. This is not always feasible, if the selected set is large. Alternatively, one can use the lasso to select the set of non-zero predictors, and then apply the lasso again, but using only the selected predictors from the first step. This is known as the relaxed lasso (Meinshausen, 2007). The idea is to use cross-validation to estimate the initial penalty parameter for the lasso, and then again for a second penalty parameter applied to the selected set of predictors. Since
5Statistical consistency means as the sample size grows, the estimates converge to the true values.
92 3. Linear Methods for Regression
the variables in the second step have less “competition” from noise variables, cross-validation will tend to pick a smaller value for λ, and hence their coefficients will be shrunken less than those in the initial estimate.
Alternatively, one can modify the lasso penalty function so that larger coefficients are shrunken less severely; the smoothly clipped absolute deviation (SCAD) penalty of Fan and Li (2005) replaces λ|β| by Ja(β, λ), where
\[\frac{dJ\_a(\beta,\lambda)}{d\beta} = \lambda \cdot \text{sign}(\beta) \left[ I(|\beta| \le \lambda) + \frac{(a\lambda - |\beta|)\_+}{(a-1)\lambda} I(|\beta| > \lambda) \right] \tag{3.82}\]
for some a ≥ 2. The second term in square-braces reduces the amount of shrinkage in the lasso for larger values of β, with ultimately no shrinkage as a → ∞. Figure 3.20 shows the SCAD penalty, along with the lasso and

FIGURE 3.20. The lasso and two alternative non-convex penalties designed to penalize large coefficients less. For SCAD we use λ = 1 and a = 4, and ν = 1 2 in the last panel.
|β| 1−ν. However this criterion is non-convex, which is a drawback since it makes the computation much more difficult. The adaptive lasso (Zou, 2006) uses a weighted penalty of the form (p j=1 wj |βj | where wj = 1/|βˆj | ν, βˆj is the ordinary least squares estimate and ν > 0. This is a practical approximation to the |β| q penalties (q = 1−ν here) discussed in Section 3.4.3. The adaptive lasso yields consistent estimates of the parameters while retaining the attractive convexity property of the lasso.
3.8.6 Pathwise Coordinate Optimization
An alternate approach to the LARS algorithm for computing the lasso solution is simple coordinate descent. This idea was proposed by Fu (1998) and Daubechies et al. (2004), and later studied and generalized by Friedman et al. (2007), Wu and Lange (2008) and others. The idea is to fix the penalty parameter λ in the Lagrangian form (3.52) and optimize successively over each parameter, holding the other parameters fixed at their current values.
Suppose the predictors are all standardized to have mean zero and unit norm. Denote by β˜k(λ) the current estimate for βk at penalty parameter λ. We can rearrange (3.52) to isolate βj ,
\[R(\tilde{\beta}(\lambda), \beta\_j) = \frac{1}{2} \sum\_{i=1}^{N} \left( y\_i - \sum\_{k \neq j} x\_{ik} \tilde{\beta}\_k(\lambda) - x\_{ij} \beta\_j \right)^2 + \lambda \sum\_{k \neq j} |\tilde{\beta}\_k(\lambda)| + \lambda |\beta\_j|,\tag{3.83}\]
where we have suppressed the intercept and introduced a factor 1 2 for convenience. This can be viewed as a univariate lasso problem with response variable the partial residual yi − y˜ (j) i = yi − ( k̸=j xikβ˜k(λ). This has an explicit solution, resulting in the update
\[\bar{\beta}\_j(\lambda) \leftarrow S\left(\sum\_{i=1}^N x\_{ij}(y\_i - \bar{y}\_i^{(j)}), \lambda\right). \tag{3.84}\]
Here S(t, λ) = sign(t)(|t|−λ)+ is the soft-thresholding operator in Table 3.4 on page 71. The first argument to S(·) is the simple least-squares coefficient of the partial residual on the standardized variable xij . Repeated iteration of (3.84)—cycling through each variable in turn until convergence—yields the lasso estimate βˆ(λ).
We can also use this simple algorithm to efficiently compute the lasso solutions at a grid of values of λ. We start with the smallest value λmax for which βˆ(λmax) = 0, decrease it a little and cycle through the variables until convergence. Then λ is decreased again and the process is repeated, using the previous solution as a “warm start” for the new value of λ. This can be faster than the LARS algorithm, especially in large problems. A key to its speed is the fact that the quantities in (3.84) can be updated quickly as j varies, and often the update is to leave β˜j = 0. On the other hand, it delivers solutions over a grid of λ values, rather than the entire solution path. The same kind of algorithm can be applied to the elastic net, the grouped lasso and many other models in which the penalty is a sum of functions of the individual parameters (Friedman et al., 2010). It can also be applied, with some substantial modifications, to the fused lasso (Section 18.4.2); details are in Friedman et al. (2007).
3.9 Computational Considerations
Least squares fitting is usually done via the Cholesky decomposition of the matrix XT X or a QR decomposition of X. With N observations and p features, the Cholesky decomposition requires p3+N p2/2 operations, while the QR decomposition requires N p2 operations. Depending on the relative size of N and p, the Cholesky can sometimes be faster; on the other hand, it can be less numerically stable (Lawson and Hansen, 1974). Computation of the lasso via the LAR algorithm has the same order of computation as a least squares fit.
94 3. Linear Methods for Regression
Bibliographic Notes
Linear regression is discussed in many statistics books, for example, Seber (1984), Weisberg (1980) and Mardia et al. (1979). Ridge regression was introduced by Hoerl and Kennard (1970), while the lasso was proposed by Tibshirani (1996). Around the same time, lasso-type penalties were proposed in the basis pursuit method for signal processing (Chen et al., 1998). The least angle regression procedure was proposed in Efron et al. (2004); related to this is the earlier homotopy procedure of Osborne et al. (2000a) and Osborne et al. (2000b). Their algorithm also exploits the piecewise linearity used in the LAR/lasso algorithm, but lacks its transparency. The criterion for the forward stagewise criterion is discussed in Hastie et al. (2007). Park and Hastie (2007) develop a path algorithm similar to least angle regression for generalized regression models. Partial least squares was introduced by Wold (1975). Comparisons of shrinkage methods may be found in Copas (1983) and Frank and Friedman (1993).
Exercises
Ex. 3.1 Show that the F statistic (3.13) for dropping a single coefficient from a model is equal to the square of the corresponding z-score (3.12).
Ex. 3.2 Given data on two variables X and Y , consider fitting a cubic polynomial regression model f(X) = (3 j=0 βjXj . In addition to plotting the fitted curve, you would like a 95% confidence band about the curve. Consider the following two approaches:
- At each point x0, form a 95% confidence interval for the linear function aT β = (3 j=0 βjxj 0.
- Form a 95% confidence set for β as in (3.15), which in turn generates confidence intervals for f(x0).
How do these approaches differ? Which band is likely to be wider? Conduct a small simulation experiment to compare the two methods.
Ex. 3.3 Gauss–Markov theorem:
- Prove the Gauss–Markov theorem: the least squares estimate of a parameter aT β has variance no bigger than that of any other linear unbiased estimate of aT β (Section 3.2.2).
- The matrix inequality B ≼ A holds if A − B is positive semidefinite. Show that if Vˆ is the variance-covariance matrix of the least squares estimate of β and V˜ is the variance-covariance matrix of any other linear unbiased estimate, then Vˆ ≼ V˜ .
Ex. 3.4 Show how the vector of least squares coefficients can be obtained from a single pass of the Gram–Schmidt procedure (Algorithm 3.1). Represent your solution in terms of the QR decomposition of X.
Ex. 3.5 Consider the ridge regression problem (3.41). Show that this problem is equivalent to the problem
\[\hat{\beta}^c = \operatorname\*{argmin}\_{\beta^c} \left\{ \sum\_{i=1}^N \left[ y\_i - \beta\_0^c - \sum\_{j=1}^p (x\_{ij} - \bar{x}\_j) \beta\_j^c \right]^2 + \lambda \sum\_{j=1}^p \beta\_j^{c2} \right\}. \tag{3.85}\]
Give the correspondence between βc and the original β in (3.41). Characterize the solution to this modified criterion. Show that a similar result holds for the lasso.
Ex. 3.6 Show that the ridge regression estimate is the mean (and mode) of the posterior distribution, under a Gaussian prior β ∼ N(0, τ I), and Gaussian sampling model y ∼ N(Xβ, σ2I). Find the relationship between the regularization parameter λ in the ridge formula, and the variances τ and σ2.
Ex. 3.7 Assume yi ∼ N(β0 + xT i β, σ2), i = 1, 2,…,N, and the parameters βj are each distributed as N(0, τ 2), independently of one another. Assuming σ2 and τ 2 are known, show that the (minus) log-posterior density of β is proportional to (N i=1(yi − β0 − ( j xijβj )2 + λ(p j=1 β2 j where λ = σ2/τ 2.
Ex. 3.8 Consider the QR decomposition of the uncentered N × (p + 1) matrix X (whose first column is all ones), and the SVD of the N × p centered matrix X˜ . Show that Q2 and U span the same subspace, where Q2 is the sub-matrix of Q with the first column removed. Under what circumstances will they be the same, up to sign flips?
Ex. 3.9 Forward stepwise regression. Suppose we have the QR decomposition for the N ×q matrix X1 in a multiple regression problem with response y, and we have an additional p−q predictors in the matrix X2. Denote the current residual by r. We wish to establish which one of these additional variables will reduce the residual-sum-of squares the most when included with those in X1. Describe an efficient procedure for doing this.
Ex. 3.10 Backward stepwise regression. Suppose we have the multiple regression fit of y on X, along with the standard errors and Z-scores as in Table 3.2. We wish to establish which variable, when dropped, will increase the residual sum-of-squares the least. How would you do this?
Ex. 3.11 Show that the solution to the multivariate linear regression problem (3.40) is given by (3.39). What happens if the covariance matrices Σi are different for each observation?
96 3. Linear Methods for Regression
Ex. 3.12 Show that the ridge regression estimates can be obtained by ordinary least squares regression on an augmented data set. We augment the centered matrix X with p additional rows √ λI, and augment y with p zeros. By introducing artificial data having response value zero, the fitting procedure is forced to shrink the coefficients toward zero. This is related to the idea of hints due to Abu-Mostafa (1995), where model constraints are implemented by adding artificial data examples that satisfy them.
Ex. 3.13 Derive the expression (3.62), and show that βˆpcr(p) = βˆls.
Ex. 3.14 Show that in the orthogonal case, PLS stops after m = 1 steps, because subsequent ˆϕmj in step 2 in Algorithm 3.3 are zero.
Ex. 3.15 Verify expression (3.64), and hence show that the partial least squares directions are a compromise between the ordinary regression coefficient and the principal component directions.
Ex. 3.16 Derive the entries in Table 3.4, the explicit forms for estimators in the orthogonal case.
Ex. 3.17 Repeat the analysis of Table 3.3 on the spam data discussed in Chapter 1.
Ex. 3.18 Read about conjugate gradient algorithms (Murray et al., 1981, for example), and establish a connection between these algorithms and partial least squares.
Ex. 3.19 Show that ∥βˆridge∥ increases as its tuning parameter λ → 0. Does the same property hold for the lasso and partial least squares estimates? For the latter, consider the “tuning parameter” to be the successive steps in the algorithm.
Ex. 3.20 Consider the canonical-correlation problem (3.67). Show that the leading pair of canonical variates u1 and v1 solve the problem
\[\max\_{u^T(\mathbf{Y}^T\mathbf{Y})u = 1 \atop v\_T(\mathbf{X}^T\mathbf{X})v = 1} u^T(\mathbf{Y}^T\mathbf{X})v,\tag{3.86}\]
a generalized SVD problem. Show that the solution is given by u1 = (YT Y)− 1 2 u∗ 1, and v1 = (XT X)− 1 2 v∗ 1, where u∗ 1 and v∗ 1 are the leading left and right singular vectors in
\[(\mathbf{Y}^T\mathbf{Y})^{-\frac{1}{2}}(\mathbf{Y}^T\mathbf{X})(\mathbf{X}^T\mathbf{X})^{-\frac{1}{2}} = \mathbf{U}^\*\mathbf{D}^\*\mathbf{V}^{\*T}.\tag{3.87}\]
Show that the entire sequence um, vm, m = 1,…, min(K, p) is also given by (3.87).
Ex. 3.21 Show that the solution to the reduced-rank regression problem (3.68), with Σ estimated by YT Y/N, is given by (3.69). Hint: Transform Y to Y∗ = YΣ− 1 2 , and solved in terms of the canonical vectors u∗ m. Show that Um = Σ− 1 2 U∗ m, and a generalized inverse is U− m = U∗ mT Σ1 2 .
Ex. 3.22 Show that the solution in Exercise 3.21 does not change if Σ is estimated by the more natural quantity (Y − XBˆ )T (Y − XBˆ )/(N − pK).
Ex. 3.23 Consider a regression problem with all variables and response having mean zero and standard deviation one. Suppose also that each variable has identical absolute correlation with the response:
\[\frac{1}{N} |\langle \mathbf{x}\_j, \mathbf{y} \rangle| = \lambda, \ j = 1, \dots, p.\]
Let βˆ be the least-squares coefficient of y on X, and let u(α) = αXβˆ for α ∈ [0, 1] be the vector that moves a fraction α toward the least squares fit u. Let RSS be the residual sum-of-squares from the full least squares fit.
- Show that
\[\frac{1}{N} |\langle \mathbf{x}\_j, \mathbf{y} - \mathbf{u}(\alpha) \rangle| = (1 - \alpha)\lambda, \ j = 1, \dots, p,\]
and hence the correlations of each xj with the residuals remain equal in magnitude as we progress toward u.
- Show that these correlations are all equal to
\[ \lambda(\alpha) = \frac{(1-\alpha)}{\sqrt{(1-\alpha)^2 + \frac{\alpha(2-\alpha)}{N} \cdot RSS}} \cdot \lambda, \]
and hence they decrease monotonically to zero.
- Use these results to show that the LAR algorithm in Section 3.4.4 keeps the correlations tied and monotonically decreasing, as claimed in (3.55).
Ex. 3.24 LAR directions. Using the notation around equation (3.55) on page 74, show that the LAR direction makes an equal angle with each of the predictors in Ak.
Ex. 3.25 LAR look-ahead (Efron et al., 2004, Sec. 2). Starting at the beginning of the kth step of the LAR algorithm, derive expressions to identify the next variable to enter the active set at step k + 1, and the value of α at which this occurs (using the notation around equation (3.55) on page 74).
Ex. 3.26 Forward stepwise regression enters the variable at each step that most reduces the residual sum-of-squares. LAR adjusts variables that have the most (absolute) correlation with the current residuals. Show that these two entry criteria are not necessarily the same. [Hint: let xj.A be the jth
98 3. Linear Methods for Regression
variable, linearly adjusted for all the variables currently in the model. Show that the first criterion amounts to identifying the j for which Cor(xj.A, r) is largest in magnitude.
Ex. 3.27 Lasso and LAR: Consider the lasso problem in Lagrange multiplier form: with L(β) = 1 2 ( i(yi − ( j xijβj )2, we minimize
\[L(\beta) + \lambda \sum\_{j} |\beta\_{j}| \tag{3.88}\]
for fixed λ > 0.
- Setting βj = β+ j − β− j with β+ j , β− j ≥ 0, expression (3.88) becomes L(β) + λ ( j (β+ j + β− j ). Show that the Lagrange dual function is
\[L(\beta) + \lambda \sum\_{j} (\beta\_j^+ + \beta\_j^-) - \sum\_{j} \lambda\_j^+ \beta\_j^+ - \sum\_{j} \lambda\_j^- \beta\_j^- \tag{3.89}\]
and the Karush–Kuhn–Tucker optimality conditions are
\[\begin{aligned} \nabla L(\beta)\_j + \lambda - \lambda\_j^+ &=& 0 \\ -\nabla L(\beta)\_j + \lambda - \lambda\_j^- &=& 0 \\ \lambda\_j^+ \beta\_j^+ &=& 0 \\ \lambda\_j^- \beta\_j^- &=& 0, \end{aligned}\]
along with the non-negativity constraints on the parameters and all the Lagrange multipliers.
- Show that |∇L(β)j | ≤ λ ∀j, and that the KKT conditions imply one of the following three scenarios:
\[\begin{aligned} \lambda &= 0 \quad \Rightarrow \quad \nabla L(\beta)\_j = 0 \,\,\forall j\\ \beta\_j^+ &> 0, \,\,\lambda > 0 \quad \Rightarrow \quad \lambda\_j^+ = 0, \,\,\nabla L(\beta)\_j = -\lambda < 0, \,\,\beta\_j^- = 0\\ \beta\_j^- &> 0, \,\,\lambda > 0 \quad \Rightarrow \quad \lambda\_j^- = 0, \,\,\nabla L(\beta)\_j = \lambda > 0, \,\,\beta\_j^+ = 0. \end{aligned}\]
Hence show that for any “active” predictor having βj ̸= 0, we must have ∇L(β)j = −λ if βj > 0, and ∇L(β)j = λ if βj < 0. Assuming the predictors are standardized, relate λ to the correlation between the jth predictor and the current residuals.
- Suppose that the set of active predictors is unchanged for λ0 ≥ λ ≥ λ1. Show that there is a vector γ0 such that
\[ \hat{\beta}(\lambda) = \hat{\beta}(\lambda\_0) - (\lambda - \lambda\_0)\gamma\_0 \tag{3.90} \]
Thus the lasso solution path is linear as λ ranges from λ0 to λ1(Efron et al., 2004; Rosset and Zhu, 2007).
Ex. 3.28 Suppose for a given t in (3.51), the fitted lasso coefficient for variable Xj is βˆj = a. Suppose we augment our set of variables with an identical copy X∗ j = Xj . Characterize the effect of this exact collinearity by describing the set of solutions for βˆj and βˆ∗ j , using the same value of t.
Ex. 3.29 Suppose we run a ridge regression with parameter λ on a single variable X, and get coefficient a. We now include an exact copy X∗ = X, and refit our ridge regression. Show that both coefficients are identical, and derive their value. Show in general that if m copies of a variable Xj are included in a ridge regression, their coefficients are all the same.
Ex. 3.30 Consider the elastic-net optimization problem:
\[\min\_{\beta} \left| \|\mathbf{y} - \mathbf{X}\beta\|\|^2 + \lambda \left[ \alpha ||\beta||\_2^2 + (1 - \alpha) ||\beta||\_1 \right]. \tag{3.91}\]
Show how one can turn this into a lasso problem, using an augmented version of X and y.
100 3. Linear Methods for Regression
This is page 101 Printer: Opaque this
4 Linear Methods for Classification
4.1 Introduction
In this chapter we revisit the classification problem and focus on linear methods for classification. Since our predictor G(x) takes values in a discrete set G, we can always divide the input space into a collection of regions labeled according to the classification. We saw in Chapter 2 that the boundaries of these regions can be rough or smooth, depending on the prediction function. For an important class of procedures, these decision boundaries are linear; this is what we will mean by linear methods for classification.
There are several different ways in which linear decision boundaries can be found. In Chapter 2 we fit linear regression models to the class indicator variables, and classify to the largest fit. Suppose there are K classes, for convenience labeled 1, 2,…,K, and the fitted linear model for the kth indicator response variable is ˆfk(x) = βˆk0 + βˆT k x. The decision boundary between class k and ℓ is that set of points for which ˆfk(x) = ˆfℓ(x), that is, the set {x : (βˆk0 − βˆℓ0)+(βˆk − βˆℓ)T x = 0}, an affine set or hyperplane1 Since the same is true for any pair of classes, the input space is divided into regions of constant classification, with piecewise hyperplanar decision boundaries. This regression approach is a member of a class of methods that model discriminant functions δk(x) for each class, and then classify x to the class with the largest value for its discriminant function. Methods
1Strictly speaking, a hyperplane passes through the origin, while an affine set need not. We sometimes ignore the distinction and refer in general to hyperplanes.
102 4. Linear Methods for Classification
that model the posterior probabilities Pr(G = k|X = x) are also in this class. Clearly, if either the δk(x) or Pr(G = k|X = x) are linear in x, then the decision boundaries will be linear.
Actually, all we require is that some monotone transformation of δk or Pr(G = k|X = x) be linear for the decision boundaries to be linear. For example, if there are two classes, a popular model for the posterior probabilities is
\[\begin{aligned} \Pr(G=1|X=x) &= \frac{\exp(\beta\_0 + \beta^T x)}{1 + \exp(\beta\_0 + \beta^T x)}, \\ \Pr(G=2|X=x) &= \frac{1}{1 + \exp(\beta\_0 + \beta^T x)}. \end{aligned} \tag{4.1}\]
Here the monotone transformation is the logit transformation: log[p/(1−p)], and in fact we see that
\[\log \frac{\Pr(G = 1 | X = x)}{\Pr(G = 2 | X = x)} = \beta\_0 + \beta^T x. \tag{4.2}\]
The decision boundary is the set of points for which the log-odds are zero, and this is a hyperplane defined by 5 x|β0 + βT x = 06 . We discuss two very popular but different methods that result in linear log-odds or logits: linear discriminant analysis and linear logistic regression. Although they differ in their derivation, the essential difference between them is in the way the linear function is fit to the training data.
A more direct approach is to explicitly model the boundaries between the classes as linear. For a two-class problem in a p-dimensional input space, this amounts to modeling the decision boundary as a hyperplane—in other words, a normal vector and a cut-point. We will look at two methods that explicitly look for “separating hyperplanes.” The first is the wellknown perceptron model of Rosenblatt (1958), with an algorithm that finds a separating hyperplane in the training data, if one exists. The second method, due to Vapnik (1996), finds an optimally separating hyperplane if one exists, else finds a hyperplane that minimizes some measure of overlap in the training data. We treat the separable case here, and defer treatment of the nonseparable case to Chapter 12.
While this entire chapter is devoted to linear decision boundaries, there is considerable scope for generalization. For example, we can expand our variable set X1,…,Xp by including their squares and cross-products X2 1 , X2 2 ,…, X1X2,…, thereby adding p(p + 1)/2 additional variables. Linear functions in the augmented space map down to quadratic functions in the original space—hence linear decision boundaries to quadratic decision boundaries. Figure 4.1 illustrates the idea. The data are the same: the left plot uses linear decision boundaries in the two-dimensional space shown, while the right plot uses linear decision boundaries in the augmented five-dimensional space described above. This approach can be used with any basis transfor-

FIGURE 4.1. The left plot shows some data from three classes, with linear decision boundaries found by linear discriminant analysis. The right plot shows quadratic decision boundaries. These were obtained by finding linear boundaries in the five-dimensional space X1, X2, X1X2, X2 , X2 . Linear inequalities in this space are quadratic inequalities in the original space.
mation h(X) where h : IRp 6→ IRq with q>p, and will be explored in later chapters.
4.2 Linear Regression of an Indicator Matrix
Here each of the response categories are coded via an indicator variable. Thus if G has K classes, there will be K such indicators Yk, k = 1,…,K, with Yk = 1 if G = k else 0. These are collected together in a vector Y = (Y1,…,YK), and the N training instances of these form an N × K indicator response matrix Y. Y is a matrix of 0’s and 1’s, with each row having a single 1. We fit a linear regression model to each of the columns of Y simultaneously, and the fit is given by
\[ \hat{\mathbf{Y}} = \mathbf{X}(\mathbf{X}^T\mathbf{X})^{-1}\mathbf{X}^T\mathbf{Y}.\tag{4.3} \]
Chapter 3 has more details on linear regression. Note that we have a coefficient vector for each response column yk, and hence a (p+1)×K coefficient matrix Bˆ = (XT X)−1XT Y. Here X is the model matrix with p+1 columns corresponding to the p inputs, and a leading column of 1’s for the intercept.
A new observation with input x is classified as follows:
- compute the fitted output ˆf(x)T = (1, xT )Bˆ , a K vector;
- identify the largest component and classify accordingly:
\[ \hat{G}(x) = \operatorname{argmax}\_{k \in \mathcal{G}} \hat{f}\_k(x). \tag{4.4} \]
104 4. Linear Methods for Classification
What is the rationale for this approach? One rather formal justification is to view the regression as an estimate of conditional expectation. For the random variable Yk, E(Yk|X = x) = Pr(G = k|X = x), so conditional expectation of each of the Yk seems a sensible goal. The real issue is: how good an approximation to conditional expectation is the rather rigid linear regression model? Alternatively, are the ˆfk(x) reasonable estimates of the posterior probabilities Pr(G = k|X = x), and more importantly, does this matter?
It is quite straightforward to verify that ( k∈G ˆfk(x) = 1 for any x, as long as there is an intercept in the model (column of 1’s in X). However, the ˆfk(x) can be negative or greater than 1, and typically some are. This is a consequence of the rigid nature of linear regression, especially if we make predictions outside the hull of the training data. These violations in themselves do not guarantee that this approach will not work, and in fact on many problems it gives similar results to more standard linear methods for classification. If we allow linear regression onto basis expansions h(X) of the inputs, this approach can lead to consistent estimates of the probabilities. As the size of the training set N grows bigger, we adaptively include more basis elements so that linear regression onto these basis functions approaches conditional expectation. We discuss such approaches in Chapter 5.
A more simplistic viewpoint is to construct targets tk for each class, where tk is the kth column of the K × K identity matrix. Our prediction problem is to try and reproduce the appropriate target for an observation. With the same coding as before, the response vector yi (ith row of Y) for observation i has the value yi = tk if gi = k. We might then fit the linear model by least squares:
\[\min\_{\mathbf{B}} \sum\_{i=1}^{N} ||y\_i - [(1, x\_i^T)\mathbf{B}]^T||^2. \tag{4.5}\]
The criterion is a sum-of-squared Euclidean distances of the fitted vectors from their targets. A new observation is classified by computing its fitted vector ˆf(x) and classifying to the closest target:
\[\hat{G}(x) = \operatorname\*{argmin}\_{k} ||\hat{f}(x) - t\_k||^2. \tag{4.6}\]
This is exactly the same as the previous approach:
• The sum-of-squared-norm criterion is exactly the criterion for multiple response linear regression, just viewed slightly differently. Since a squared norm is itself a sum of squares, the components decouple and can be rearranged as a separate linear model for each element. Note that this is only possible because there is nothing in the model that binds the different responses together.

FIGURE 4.2. The data come from three classes in IR2 and are easily separated by linear decision boundaries. The right plot shows the boundaries found by linear discriminant analysis. The left plot shows the boundaries found by linear regression of the indicator response variables. The middle class is completely masked (never dominates).
• The closest target classification rule (4.6) is easily seen to be exactly the same as the maximum fitted component criterion (4.4), but does require that the fitted values sum to 1.
There is a serious problem with the regression approach when the number of classes K ≥ 3, especially prevalent when K is large. Because of the rigid nature of the regression model, classes can be masked by others. Figure 4.2 illustrates an extreme situation when K = 3. The three classes are perfectly separated by linear decision boundaries, yet linear regression misses the middle class completely.
In Figure 4.3 we have projected the data onto the line joining the three centroids (there is no information in the orthogonal direction in this case), and we have included and coded the three response variables Y1, Y2 and Y3. The three regression lines (left panel) are included, and we see that the line corresponding to the middle class is horizontal and its fitted values are never dominant! Thus, observations from class 2 are classified either as class 1 or class 3. The right panel uses quadratic regression rather than linear regression. For this simple example a quadratic rather than linear fit (for the middle class at least) would solve the problem. However, it can be seen that if there were four rather than three classes lined up like this, a quadratic would not come down fast enough, and a cubic would be needed as well. A loose but general rule is that if K ≥ 3 classes are lined up, polynomial terms up to degree K − 1 might be needed to resolve them. Note also that these are polynomials along the derived direction


FIGURE 4.3. The effects of masking on linear regression in IR for a three-class problem. The rug plot at the base indicates the positions and class membership of each observation. The three curves in each panel are the fitted regressions to the three-class indicator variables; for example, for the blue class, yblue is 1 for the blue observations, and 0 for the green and orange. The fits are linear and quadratic polynomials. Above each plot is the training error rate. The Bayes error rate is .025 for this problem, as is the LDA error rate.
passing through the centroids, which can have arbitrary orientation. So in p-dimensional input space, one would need general polynomial terms and cross-products of total degree K − 1, O(pK−1) terms in all, to resolve such worst-case scenarios.
The example is extreme, but for large K and small p such maskings naturally occur. As a more realistic illustration, Figure 4.4 is a projection of the training data for a vowel recognition problem onto an informative two-dimensional subspace. There are K = 11 classes in p = 10 dimensions. This is a difficult classification problem, and the best methods achieve around 40% errors on the test data. The main point here is summarized in Table 4.1; linear regression has an error rate of 67%, while a close relative, linear discriminant analysis, has an error rate of 56%. It seems that masking has hurt in this case. While all the other methods in this chapter are based on linear functions of x as well, they use them in such a way that avoids this masking problem.
4.3 Linear Discriminant Analysis
Decision theory for classification (Section 2.4) tells us that we need to know the class posteriors Pr(G|X) for optimal classification. Suppose fk(x) is the class-conditional density of X in class G = k, and let πk be the prior probability of class k, with (K k=1 πk = 1. A simple application of Bayes

Linear Discriminant Analysis
FIGURE 4.4. A two-dimensional plot of the vowel training data. There are eleven classes with X ∈ IR10, and this is the best view in terms of a LDA model (Section 4.3.3). The heavy circles are the projected mean vectors for each class. The class overlap is considerable.
TABLE 4.1. Training and test error rates using a variety of linear techniques on the vowel data. There are eleven classes in ten dimensions, of which three account for 90% of the variance (via a principal components analysis). We see that linear regression is hurt by masking, increasing the test and training error by over 10%.
| Technique | Error Rates | |||
|---|---|---|---|---|
| Training | Test | |||
| Linear regression | 0.48 | 0.67 | ||
| Linear discriminant analysis | 0.32 | 0.56 | ||
| Quadratic discriminant analysis | 0.01 | 0.53 | ||
| Logistic regression | 0.22 | 0.51 |
108 4. Linear Methods for Classification
theorem gives us
\[\Pr(G = k | X = x) = \frac{f\_k(x)\pi\_k}{\sum\_{\ell=1}^K f\_\ell(x)\pi\_\ell}.\tag{4.7}\]
We see that in terms of ability to classify, having the fk(x) is almost equivalent to having the quantity Pr(G = k|X = x).
Many techniques are based on models for the class densities:
- linear and quadratic discriminant analysis use Gaussian densities;
- more flexible mixtures of Gaussians allow for nonlinear decision boundaries (Section 6.8);
- general nonparametric density estimates for each class density allow the most flexibility (Section 6.6.2);
- Naive Bayes models are a variant of the previous case, and assume that each of the class densities are products of marginal densities; that is, they assume that the inputs are conditionally independent in each class (Section 6.6.3).
Suppose that we model each class density as multivariate Gaussian
\[f\_k(x) = \frac{1}{(2\pi)^{p/2} |\Sigma\_k|^{1/2}} e^{-\frac{1}{2}(x-\mu\_k)^T \Sigma\_k^{-1} (x-\mu\_k)}.\tag{4.8}\]
Linear discriminant analysis (LDA) arises in the special case when we assume that the classes have a common covariance matrix Σk = Σ ∀k. In comparing two classes k and ℓ, it is sufficient to look at the log-ratio, and we see that
\[\begin{split} \log \frac{\Pr(G=k|X=x)}{\Pr(G=\ell|X=x)} &= \log \frac{f\_k(x)}{f\_\ell(x)} + \log \frac{\pi\_k}{\pi\_\ell} \\ &= \log \frac{\pi\_k}{\pi\_\ell} - \frac{1}{2} (\mu\_k + \mu\_\ell)^T \Sigma^{-1} (\mu\_k - \mu\_\ell) \\ &\quad + x^T \Sigma^{-1} (\mu\_k - \mu\_\ell), \end{split} \tag{4.9}\]
an equation linear in x. The equal covariance matrices cause the normalization factors to cancel, as well as the quadratic part in the exponents. This linear log-odds function implies that the decision boundary between classes k and ℓ—the set where Pr(G = k|X = x) = Pr(G = ℓ|X = x)—is linear in x; in p dimensions a hyperplane. This is of course true for any pair of classes, so all the decision boundaries are linear. If we divide IRp into regions that are classified as class 1, class 2, etc., these regions will be separated by hyperplanes. Figure 4.5 (left panel) shows an idealized example with three classes and p = 2. Here the data do arise from three Gaussian distributions with a common covariance matrix. We have included in

FIGURE 4.5. The left panel shows three Gaussian distributions, with the same covariance and different means. Included are the contours of constant density enclosing 95% of the probability in each case. The Bayes decision boundaries between each pair of classes are shown (broken straight lines), and the Bayes decision boundaries separating all three classes are the thicker solid lines (a subset of the former). On the right we see a sample of 30 drawn from each Gaussian distribution, and the fitted LDA decision boundaries.
the figure the contours corresponding to 95% highest probability density, as well as the class centroids. Notice that the decision boundaries are not the perpendicular bisectors of the line segments joining the centroids. This would be the case if the covariance Σ were spherical σ2I, and the class priors were equal. From (4.9) we see that the linear discriminant functions
\[\delta\_k(x) = x^T \Sigma^{-1} \mu\_k - \frac{1}{2} \mu\_k^T \Sigma^{-1} \mu\_k + \log \pi\_k \tag{4.10}\]
are an equivalent description of the decision rule, with G(x) = argmaxkδk(x).
In practice we do not know the parameters of the Gaussian distributions, and will need to estimate them using our training data:
- πˆk = Nk/N, where Nk is the number of class-k observations;
- µˆk = ( gi=k xi/Nk; • Σˆ = (K k=1 ( gi=k(xi − µˆk)(xi − µˆk)T /(N − K).
Figure 4.5 (right panel) shows the estimated decision boundaries based on a sample of size 30 each from three Gaussian distributions. Figure 4.1 on page 103 is another example, but here the classes are not Gaussian.
With two classes there is a simple correspondence between linear discriminant analysis and classification by linear least squares, as in (4.5). The LDA rule classifies to class 2 if
\[\left(x^T \hat{\boldsymbol{\Sigma}}^{-1}(\hat{\mu}\_2 - \hat{\mu}\_1) > \frac{1}{2} \hat{\mu}\_2^T \hat{\boldsymbol{\Sigma}}^{-1} \hat{\mu}\_2 - \frac{1}{2} \hat{\mu}\_1^T \hat{\boldsymbol{\Sigma}}^{-1} \hat{\mu}\_1 + \log(N\_1/N) - \log(N\_2/N)\right) \tag{4.11}\]
110 4. Linear Methods for Classification
and class 1 otherwise. Suppose we code the targets in the two classes as +1 and −1, respectively. It is easy to show that the coefficient vector from least squares is proportional to the LDA direction given in (4.11) (Exercise 4.2). [In fact, this correspondence occurs for any (distinct) coding of the targets; see Exercise 4.2]. However unless N1 = N2 the intercepts are different and hence the resulting decision rules are different.
Since this derivation of the LDA direction via least squares does not use a Gaussian assumption for the features, its applicability extends beyond the realm of Gaussian data. However the derivation of the particular intercept or cut-point given in (4.11) does require Gaussian data. Thus it makes sense to instead choose the cut-point that empirically minimizes training error for a given dataset. This is something we have found to work well in practice, but have not seen it mentioned in the literature.
With more than two classes, LDA is not the same as linear regression of the class indicator matrix, and it avoids the masking problems associated with that approach (Hastie et al., 1994). A correspondence between regression and LDA can be established through the notion of optimal scoring, discussed in Section 12.5.
Getting back to the general discriminant problem (4.8), if the Σk are not assumed to be equal, then the convenient cancellations in (4.9) do not occur; in particular the pieces quadratic in x remain. We then get quadratic discriminant functions (QDA),
\[\delta\_k(x) = -\frac{1}{2}\log|\boldsymbol{\Sigma}\_k| - \frac{1}{2}(x - \mu\_k)^T \boldsymbol{\Sigma}\_k^{-1} (x - \mu\_k) + \log \pi\_k. \tag{4.12}\]
The decision boundary between each pair of classes k and ℓ is described by a quadratic equation {x : δk(x) = δℓ(x)}.
Figure 4.6 shows an example (from Figure 4.1 on page 103) where the three classes are Gaussian mixtures (Section 6.8) and the decision boundaries are approximated by quadratic equations in x. Here we illustrate two popular ways of fitting these quadratic boundaries. The right plot uses QDA as described here, while the left plot uses LDA in the enlarged five-dimensional quadratic polynomial space. The differences are generally small; QDA is the preferred approach, with the LDA method a convenient substitute 2.
The estimates for QDA are similar to those for LDA, except that separate covariance matrices must be estimated for each class. When p is large this can mean a dramatic increase in parameters. Since the decision boundaries are functions of the parameters of the densities, counting the number of parameters must be done with care. For LDA, it seems there are (K − 1) × (p + 1) parameters, since we only need the differences δk(x) − δK(x)
2For this figure and many similar figures in the book we compute the decision boundaries by an exhaustive contouring method. We compute the decision rule on a fine lattice of points, and then use contouring algorithms to compute the boundaries.

FIGURE 4.6. Two methods for fitting quadratic boundaries. The left plot shows the quadratic decision boundaries for the data in Figure 4.1 (obtained using LDA in the five-dimensional space X1, X2, X1X2, X2 , X2 ). The right plot shows the quadratic decision boundaries found by QDA. The differences are small, as is usually the case.
between the discriminant functions where K is some pre-chosen class (here we have chosen the last), and each difference requires p + 1 parameters3. Likewise for QDA there will be (K − 1) × {p(p + 3)/2+1} parameters. Both LDA and QDA perform well on an amazingly large and diverse set of classification tasks. For example, in the STATLOG project (Michie et al., 1994) LDA was among the top three classifiers for 7 of the 22 datasets, QDA among the top three for four datasets, and one of the pair were in the top three for 10 datasets. Both techniques are widely used, and entire books are devoted to LDA. It seems that whatever exotic tools are the rage of the day, we should always have available these two simple tools. The question arises why LDA and QDA have such a good track record. The reason is not likely to be that the data are approximately Gaussian, and in addition for LDA that the covariances are approximately equal. More likely a reason is that the data can only support simple decision boundaries such as linear or quadratic, and the estimates provided via the Gaussian models are stable. This is a bias variance tradeoff—we can put up with the bias of a linear decision boundary because it can be estimated with much lower variance than more exotic alternatives. This argument is less believable for QDA, since it can have many parameters itself, although perhaps fewer than the non-parametric alternatives.
Although we fit the covariance matrix Σˆ to compute the LDA discriminant functions, a much reduced function of it is all that is required to estimate the O(p) parameters needed to compute the decision boundaries.
112 4. Linear Methods for Classification

Regularized Discriminant Analysis on the Vowel Data
FIGURE 4.7. Test and training errors for the vowel data, using regularized discriminant analysis with a series of values of α ∈ [0, 1]. The optimum for the test data occurs around α = 0.9, close to quadratic discriminant analysis.
4.3.1 Regularized Discriminant Analysis
Friedman (1989) proposed a compromise between LDA and QDA, which allows one to shrink the separate covariances of QDA toward a common covariance as in LDA. These methods are very similar in flavor to ridge regression. The regularized covariance matrices have the form
\[ \hat{\Sigma}\_k(\alpha) = \alpha \hat{\Sigma}\_k + (1 - \alpha)\hat{\Sigma}, \tag{4.13} \]
where Σˆ is the pooled covariance matrix as used in LDA. Here α ∈ [0, 1] allows a continuum of models between LDA and QDA, and needs to be specified. In practice α can be chosen based on the performance of the model on validation data, or by cross-validation.
Figure 4.7 shows the results of RDA applied to the vowel data. Both the training and test error improve with increasing α, although the test error increases sharply after α = 0.9. The large discrepancy between the training and test error is partly due to the fact that there are many repeat measurements on a small number of individuals, different in the training and test set.
Similar modifications allow Σˆ itself to be shrunk toward the scalar covariance,
\[ \hat{\mathbf{E}}(\gamma) = \gamma \hat{\mathbf{E}} + (1 - \gamma) \hat{\sigma}^2 \mathbf{I} \tag{4.14} \]
for γ ∈ [0, 1]. Replacing Σˆ in (4.13) by Σˆ (γ) leads to a more general family of covariances Σˆ (α, γ) indexed by a pair of parameters.
In Chapter 12, we discuss other regularized versions of LDA, which are more suitable when the data arise from digitized analog signals and images. In these situations the features are high-dimensional and correlated, and the LDA coefficients can be regularized to be smooth or sparse in the original domain of the signal. This leads to better generalization and allows for easier interpretation of the coefficients. In Chapter 18 we also deal with very high-dimensional problems, where for example the features are geneexpression measurements in microarray studies. There the methods focus on the case γ = 0 in (4.14), and other severely regularized versions of LDA.
4.3.2 Computations for LDA
As a lead-in to the next topic, we briefly digress on the computations required for LDA and especially QDA. Their computations are simplified by diagonalizing Σˆ or Σˆ k. For the latter, suppose we compute the eigendecomposition for each Σˆ k = UkDkUT k , where Uk is p × p orthonormal, and Dk a diagonal matrix of positive eigenvalues dkℓ. Then the ingredients for δk(x) (4.12) are
- (x − µˆk)T Σˆ −1 k (x − µˆk)=[UT k (x − µˆk)]T D−1 k [UT k (x − µˆk)];
- log |Σˆ k| = ( ℓ log dkℓ.
In light of the computational steps outlined above, the LDA classifier can be implemented by the following pair of steps:
- Sphere the data with respect to the common covariance estimate Σˆ : X∗ ← D− 1 2 UT X, where Σˆ = UDUT . The common covariance estimate of X∗ will now be the identity.
- Classify to the closest class centroid in the transformed space, modulo the effect of the class prior probabilities πk.
4.3.3 Reduced-Rank Linear Discriminant Analysis
So far we have discussed LDA as a restricted Gaussian classifier. Part of its popularity is due to an additional restriction that allows us to view informative low-dimensional projections of the data.
The K centroids in p-dimensional input space lie in an affine subspace of dimension ≤ K − 1, and if p is much larger than K, this will be a considerable drop in dimension. Moreover, in locating the closest centroid, we can ignore distances orthogonal to this subspace, since they will contribute equally to each class. Thus we might just as well project the X∗ onto this centroid-spanning subspace HK−1, and make distance comparisons there. Thus there is a fundamental dimension reduction in LDA, namely, that we need only consider the data in a subspace of dimension at most K − 1.
114 4. Linear Methods for Classification
If K = 3, for instance, this could allow us to view the data in a twodimensional plot, color-coding the classes. In doing so we would not have relinquished any of the information needed for LDA classification.
What if K > 3? We might then ask for a L<K−1 dimensional subspace HL ⊆ HK−1 optimal for LDA in some sense. Fisher defined optimal to mean that the projected centroids were spread out as much as possible in terms of variance. This amounts to finding principal component subspaces of the centroids themselves (principal components are described briefly in Section 3.5.1, and in more detail in Section 14.5.1). Figure 4.4 shows such an optimal two-dimensional subspace for the vowel data. Here there are eleven classes, each a different vowel sound, in a ten-dimensional input space. The centroids require the full space in this case, since K − 1 = p, but we have shown an optimal two-dimensional subspace. The dimensions are ordered, so we can compute additional dimensions in sequence. Figure 4.8 shows four additional pairs of coordinates, also known as canonical or discriminant variables. In summary then, finding the sequences of optimal subspaces for LDA involves the following steps:
- compute the K × p matrix of class centroids M and the common covariance matrix W (for within-class covariance);
- compute M∗ = MW− 1 2 using the eigen-decomposition of W;
- compute B∗, the covariance matrix of M∗ (B for between-class covariance), and its eigen-decomposition B∗ = V∗DBV∗T . The columns v∗ ℓ of V∗ in sequence from first to last define the coordinates of the optimal subspaces.
Combining all these operations the ℓth discriminant variable is given by Zℓ = vT ℓ X with vℓ = W− 1 2 v∗ ℓ .
Fisher arrived at this decomposition via a different route, without referring to Gaussian distributions at all. He posed the problem:
Find the linear combination Z = aT X such that the betweenclass variance is maximized relative to the within-class variance.
Again, the between class variance is the variance of the class means of Z, and the within class variance is the pooled variance about the means. Figure 4.9 shows why this criterion makes sense. Although the direction joining the centroids separates the means as much as possible (i.e., maximizes the between-class variance), there is considerable overlap between the projected classes due to the nature of the covariances. By taking the covariance into account as well, a direction with minimum overlap can be found.
The between-class variance of Z is aT Ba and the within-class variance aTWa, where W is defined earlier, and B is the covariance matrix of the class centroid matrix M. Note that B + W = T, where T is the total covariance matrix of X, ignoring class information.

FIGURE 4.8. Four projections onto pairs of canonical variates. Notice that as the rank of the canonical variates increases, the centroids become less spread out. In the lower right panel they appear to be superimposed, and the classes most confused.

FIGURE 4.9. Although the line joining the centroids defines the direction of greatest centroid spread, the projected data overlap because of the covariance (left panel). The discriminant direction minimizes this overlap for Gaussian data (right panel).
Fisher’s problem therefore amounts to maximizing the Rayleigh quotient,
\[\max\_{a} \frac{a^T \mathbf{B} a}{a^T \mathbf{W} a},\tag{4.15}\]
or equivalently
\[\max\_{a} a^T \mathbf{B} a \text{ subject to } a^T \mathbf{W} a = 1. \tag{4.16}\]
This is a generalized eigenvalue problem, with a given by the largest eigenvalue of W−1B. It is not hard to show (Exercise 4.1) that the optimal a1 is identical to v1 defined above. Similarly one can find the next direction a2, orthogonal in W to a1, such that aT 2 Ba2/aT 2 Wa2 is maximized; the solution is a2 = v2, and so on. The aℓ are referred to as discriminant coordinates, not to be confused with discriminant functions. They are also referred to as canonical variates, since an alternative derivation of these results is through a canonical correlation analysis of the indicator response matrix Y on the predictor matrix X. This line is pursued in Section 12.5.
To summarize the developments so far:
- Gaussian classification with common covariances leads to linear decision boundaries. Classification can be achieved by sphering the data with respect to W, and classifying to the closest centroid (modulo log πk) in the sphered space.
- Since only the relative distances to the centroids count, one can confine the data to the subspace spanned by the centroids in the sphered space.
- This subspace can be further decomposed into successively optimal subspaces in term of centroid separation. This decomposition is identical to the decomposition due to Fisher.

LDA and Dimension Reduction on the Vowel Data
FIGURE 4.10. Training and test error rates for the vowel data, as a function of the dimension of the discriminant subspace. In this case the best error rate is for dimension 2. Figure 4.11 shows the decision boundaries in this space.
The reduced subspaces have been motivated as a data reduction (for viewing) tool. Can they also be used for classification, and what is the rationale? Clearly they can, as in our original derivation; we simply limit the distance-to-centroid calculations to the chosen subspace. One can show that this is a Gaussian classification rule with the additional restriction that the centroids of the Gaussians lie in a L-dimensional subspace of IRp. Fitting such a model by maximum likelihood, and then constructing the posterior probabilities using Bayes’ theorem amounts to the classification rule described above (Exercise 4.8).
Gaussian classification dictates the log πk correction factor in the distance calculation. The reason for this correction can be seen in Figure 4.9. The misclassification rate is based on the area of overlap between the two densities. If the πk are equal (implicit in that figure), then the optimal cut-point is midway between the projected means. If the πk are not equal, moving the cut-point toward the smaller class will improve the error rate. As mentioned earlier for two classes, one can derive the linear rule using LDA (or any other method), and then choose the cut-point to minimize misclassification error over the training data.
As an example of the benefit of the reduced-rank restriction, we return to the vowel data. There are 11 classes and 10 variables, and hence 10 possible dimensions for the classifier. We can compute the training and test error in each of these hierarchical subspaces; Figure 4.10 shows the results. Figure 4.11 shows the decision boundaries for the classifier based on the two-dimensional LDA solution.
There is a close connection between Fisher’s reduced rank discriminant analysis and regression of an indicator response matrix. It turns out that

Classification in Reduced Subspace
Canonical Coordinate 1
FIGURE 4.11. Decision boundaries for the vowel training data, in the two-dimensional subspace spanned by the first two canonical variates. Note that in any higher-dimensional subspace, the decision boundaries are higher-dimensional affine planes, and could not be represented as lines.
LDA amounts to the regression followed by an eigen-decomposition of Yˆ T Y. In the case of two classes, there is a single discriminant variable that is identical up to a scalar multiplication to either of the columns of Yˆ . These connections are developed in Chapter 12. A related fact is that if one transforms the original predictors X to Yˆ , then LDA using Yˆ is identical to LDA in the original space (Exercise 4.3).
4.4 Logistic Regression
The logistic regression model arises from the desire to model the posterior probabilities of the K classes via linear functions in x, while at the same time ensuring that they sum to one and remain in [0, 1]. The model has the form
\[\begin{aligned} \log \frac{\Pr(G = 1 | X = x)}{\Pr(G = K | X = x)} &= \beta\_{10} + \beta\_1^T x \\ \log \frac{\Pr(G = 2 | X = x)}{\Pr(G = K | X = x)} &= \beta\_{20} + \beta\_2^T x \\ &\vdots \\ \log \frac{\Pr(G = K - 1 | X = x)}{\Pr(G = K | X = x)} &= \beta\_{(K-1)0} + \beta\_{K-1}^T x. \end{aligned} \tag{4.17}\]
The model is specified in terms of K − 1 log-odds or logit transformations (reflecting the constraint that the probabilities sum to one). Although the model uses the last class as the denominator in the odds-ratios, the choice of denominator is arbitrary in that the estimates are equivariant under this choice. A simple calculation shows that
\[\Pr(G = k | X = x) \quad = \frac{\exp(\beta\_{k0} + \beta\_k^T x)}{1 + \sum\_{\ell=1}^{K-1} \exp(\beta\_{\ell0} + \beta\_\ell^T x)}, \quad k = 1, \ldots, K - 1,\]
\[\Pr(G = K | X = x) \quad = \frac{1}{1 + \sum\_{\ell=1}^{K-1} \exp(\beta\_{\ell0} + \beta\_\ell^T x)},\tag{4.18}\]
and they clearly sum to one. To emphasize the dependence on the entire parameter set θ = {β10, βT 1 ,…, β(K−1)0, βT K−1}, we denote the probabilities Pr(G = k|X = x) = pk(x; θ).
When K = 2, this model is especially simple, since there is only a single linear function. It is widely used in biostatistical applications where binary responses (two classes) occur quite frequently. For example, patients survive or die, have heart disease or not, or a condition is present or absent.
120 4. Linear Methods for Classification
4.4.1 Fitting Logistic Regression Models
Logistic regression models are usually fit by maximum likelihood, using the conditional likelihood of G given X. Since Pr(G|X) completely specifies the conditional distribution, the multinomial distribution is appropriate. The log-likelihood for N observations is
\[\ell(\theta) = \sum\_{i=1}^{N} \log p\_{g\_i}(x\_i; \theta), \tag{4.19}\]
where pk(xi; θ) = Pr(G = k|X = xi; θ).
We discuss in detail the two-class case, since the algorithms simplify considerably. It is convenient to code the two-class gi via a 0/1 response yi, where yi = 1 when gi = 1, and yi = 0 when gi = 2. Let p1(x; θ) = p(x; θ), and p2(x; θ)=1 − p(x; θ). The log-likelihood can be written
\[\ell(\boldsymbol{\beta}) = \sum\_{i=1}^{N} \left\{ y\_i \log p(x\_i; \boldsymbol{\beta}) + (1 - y\_i) \log(1 - p(x\_i; \boldsymbol{\beta})) \right\}\]
\[= \sum\_{i=1}^{N} \left\{ y\_i \boldsymbol{\beta}^T \boldsymbol{x}\_i - \log(1 + e^{\boldsymbol{\beta}^T \boldsymbol{x}\_i}) \right\}. \tag{4.20}\]
Here β = {β10, β1}, and we assume that the vector of inputs xi includes the constant term 1 to accommodate the intercept.
To maximize the log-likelihood, we set its derivatives to zero. These score equations are
\[\frac{\partial \ell(\beta)}{\partial \beta} = \sum\_{i=1}^{N} x\_i (y\_i - p(x\_i; \beta)) = 0,\tag{4.21}\]
which are p+ 1 equations nonlinear in β. Notice that since the first component of xi is 1, the first score equation specifies that (N i=1 yi = (N i=1 p(xi; β); the expected number of class ones matches the observed number (and hence also class twos.)
To solve the score equations (4.21), we use the Newton–Raphson algorithm, which requires the second-derivative or Hessian matrix
\[\frac{\partial^2 \ell(\boldsymbol{\beta})}{\partial \beta \partial \beta^T} = -\sum\_{i=1}^N x\_i x\_i \,^T p(x\_i; \boldsymbol{\beta}) (1 - p(x\_i; \boldsymbol{\beta})).\tag{4.22}\]
Starting with βold, a single Newton update is
\[ \beta^{\text{new}} \quad = \quad \beta^{\text{old}} - \left(\frac{\partial^2 \ell(\beta)}{\partial \beta \partial \beta^T}\right)^{-1} \frac{\partial \ell(\beta)}{\partial \beta}, \tag{4.23} \]
where the derivatives are evaluated at βold.
It is convenient to write the score and Hessian in matrix notation. Let y denote the vector of yi values, X the N × (p + 1) matrix of xi values, p the vector of fitted probabilities with ith element p(xi; βold) and W a N ×N diagonal matrix of weights with ith diagonal element p(xi; βold)(1− p(xi; βold)). Then we have
\[\frac{\partial \ell(\beta)}{\partial \beta}\_{\text{}} = \quad \mathbf{X}^T(\mathbf{y} - \mathbf{p}) \tag{4.24}\]
\[\frac{\partial^2 \ell(\beta)}{\partial \beta \partial \beta^T} \quad = \quad - \mathbf{X}^T \mathbf{W} \mathbf{X} \tag{4.25}\]
The Newton step is thus
\[\begin{aligned} \beta^{\text{new}} &= \beta^{\text{old}} + (\mathbf{X}^T \mathbf{W} \mathbf{X})^{-1} \mathbf{X}^T (\mathbf{y} - \mathbf{p}) \\ &= (\mathbf{X}^T \mathbf{W} \mathbf{X})^{-1} \mathbf{X}^T \mathbf{W} \left( \mathbf{X} \beta^{\text{old}} + \mathbf{W}^{-1} (\mathbf{y} - \mathbf{p}) \right) \\ &= (\mathbf{X}^T \mathbf{W} \mathbf{X})^{-1} \mathbf{X}^T \mathbf{W} \mathbf{z}. \end{aligned} \tag{4.26}\]
In the second and third line we have re-expressed the Newton step as a weighted least squares step, with the response
\[\mathbf{z} = \mathbf{X}\beta^{\text{old}} + \mathbf{W}^{-1}(\mathbf{y} - \mathbf{p}),\tag{4.27}\]
sometimes known as the adjusted response. These equations get solved repeatedly, since at each iteration p changes, and hence so does W and z. This algorithm is referred to as iteratively reweighted least squares or IRLS, since each iteration solves the weighted least squares problem:
\[\boldsymbol{\beta}^{\text{new}} \leftarrow \arg\min\_{\boldsymbol{\beta}} (\mathbf{z} - \mathbf{X}\boldsymbol{\beta})^T \mathbf{W} (\mathbf{z} - \mathbf{X}\boldsymbol{\beta}).\tag{4.28}\]
It seems that β = 0 is a good starting value for the iterative procedure, although convergence is never guaranteed. Typically the algorithm does converge, since the log-likelihood is concave, but overshooting can occur. In the rare cases that the log-likelihood decreases, step size halving will guarantee convergence.
For the multiclass case (K ≥ 3) the Newton algorithm can also be expressed as an iteratively reweighted least squares algorithm, but with a vector of K −1 responses and a nondiagonal weight matrix per observation. The latter precludes any simplified algorithms, and in this case it is numerically more convenient to work with the expanded vector θ directly (Exercise 4.4). Alternatively coordinate-descent methods (Section 3.8.6) can be used to maximize the log-likelihood efficiently. The R package glmnet (Friedman et al., 2010) can fit very large logistic regression problems efficiently, both in N and p. Although designed to fit regularized models, options allow for unregularized fits.
Logistic regression models are used mostly as a data analysis and inference tool, where the goal is to understand the role of the input variables
| Coefficient | Std. Error | Z Score | |
|---|---|---|---|
| (Intercept) | −4.130 | 0.964 | −4.285 |
| sbp | 0.006 | 0.006 | 1.023 |
| tobacco | 0.080 | 0.026 | 3.034 |
| ldl | 0.185 | 0.057 | 3.219 |
| famhist | 0.939 | 0.225 | 4.178 |
| obesity | -0.035 | 0.029 | −1.187 |
| alcohol | 0.001 | 0.004 | 0.136 |
| age | 0.043 | 0.010 | 4.184 |
TABLE 4.2. Results from a logistic regression fit to the South African heart disease data.
in explaining the outcome. Typically many models are fit in a search for a parsimonious model involving a subset of the variables, possibly with some interactions terms. The following example illustrates some of the issues involved.
4.4.2 Example: South African Heart Disease
Here we present an analysis of binary data to illustrate the traditional statistical use of the logistic regression model. The data in Figure 4.12 are a subset of the Coronary Risk-Factor Study (CORIS) baseline survey, carried out in three rural areas of the Western Cape, South Africa (Rousseauw et al., 1983). The aim of the study was to establish the intensity of ischemic heart disease risk factors in that high-incidence region. The data represent white males between 15 and 64, and the response variable is the presence or absence of myocardial infarction (MI) at the time of the survey (the overall prevalence of MI was 5.1% in this region). There are 160 cases in our data set, and a sample of 302 controls. These data are described in more detail in Hastie and Tibshirani (1987).
We fit a logistic-regression model by maximum likelihood, giving the results shown in Table 4.2. This summary includes Z scores for each of the coefficients in the model (coefficients divided by their standard errors); a nonsignificant Z score suggests a coefficient can be dropped from the model. Each of these correspond formally to a test of the null hypothesis that the coefficient in question is zero, while all the others are not (also known as the Wald test). A Z score greater than approximately 2 in absolute value is significant at the 5% level.
There are some surprises in this table of coefficients, which must be interpreted with caution. Systolic blood pressure (sbp) is not significant! Nor is obesity, and its sign is negative. This confusion is a result of the correlation between the set of predictors. On their own, both sbp and obesity are significant, and with positive sign. However, in the presence of many

FIGURE 4.12. A scatterplot matrix of the South African heart disease data. Each plot shows a pair of risk factors, and the cases and controls are color coded (red is a case). The variable family history of heart disease (famhist) is binary (yes or no).
124 4. Linear Methods for Classification
| Coefficient | Std. Error | Z score | |
|---|---|---|---|
| (Intercept) | −4.204 | 0.498 | −8.45 |
| tobacco | 0.081 | 0.026 | 3.16 |
| ldl | 0.168 | 0.054 | 3.09 |
| famhist | 0.924 | 0.223 | 4.14 |
| age | 0.044 | 0.010 | 4.52 |
TABLE 4.3. Results from stepwise logistic regression fit to South African heart disease data.
other correlated variables, they are no longer needed (and can even get a negative sign).
At this stage the analyst might do some model selection; find a subset of the variables that are sufficient for explaining their joint effect on the prevalence of chd. One way to proceed by is to drop the least significant coefficient, and refit the model. This is done repeatedly until no further terms can be dropped from the model. This gave the model shown in Table 4.3.
A better but more time-consuming strategy is to refit each of the models with one variable removed, and then perform an analysis of deviance to decide which variable to exclude. The residual deviance of a fitted model is minus twice its log-likelihood, and the deviance between two models is the difference of their individual residual deviances (in analogy to sums-ofsquares). This strategy gave the same final model as above.
How does one interpret a coefficient of 0.081 (Std. Error = 0.026) for tobacco, for example? Tobacco is measured in total lifetime usage in kilograms, with a median of 1.0kg for the controls and 4.1kg for the cases. Thus an increase of 1kg in lifetime tobacco usage accounts for an increase in the odds of coronary heart disease of exp(0.081) = 1.084 or 8.4%. Incorporating the standard error we get an approximate 95% confidence interval of exp(0.081 ± 2 × 0.026) = (1.03, 1.14).
We return to these data in Chapter 5, where we see that some of the variables have nonlinear effects, and when modeled appropriately, are not excluded from the model.
4.4.3 Quadratic Approximations and Inference
The maximum-likelihood parameter estimates βˆ satisfy a self-consistency relationship: they are the coefficients of a weighted least squares fit, where the responses are
\[z\_i = x\_i^T \hat{\beta} + \frac{(y\_i - \hat{p}\_i)}{\hat{p}\_i (1 - \hat{p}\_i)},\tag{4.29}\]
and the weights are wi = ˆpi(1−pˆi), both depending on βˆ itself. Apart from providing a convenient algorithm, this connection with least squares has more to offer:
• The weighted residual sum-of-squares is the familiar Pearson chisquare statistic
\[\sum\_{i=1}^{N} \frac{(y\_i - \hat{p}\_i)^2}{\hat{p}\_i (1 - \hat{p}\_i)},\tag{4.30}\]
a quadratic approximation to the deviance.
- Asymptotic likelihood theory says that if the model is correct, then βˆ is consistent (i.e., converges to the true β).
- A central limit theorem then shows that the distribution of βˆ converges to N(β,(XTWX)−1). This and other asymptotics can be derived directly from the weighted least squares fit by mimicking normal theory inference.
- Model building can be costly for logistic regression models, because each model fitted requires iteration. Popular shortcuts are the Rao score test which tests for inclusion of a term, and the Wald test which can be used to test for exclusion of a term. Neither of these require iterative fitting, and are based on the maximum-likelihood fit of the current model. It turns out that both of these amount to adding or dropping a term from the weighted least squares fit, using the same weights. Such computations can be done efficiently, without recomputing the entire weighted least squares fit.
Software implementations can take advantage of these connections. For example, the generalized linear modeling software in R (which includes logistic regression as part of the binomial family of models) exploits them fully. GLM (generalized linear model) objects can be treated as linear model objects, and all the tools available for linear models can be applied automatically.
4.4.4 L1 Regularized Logistic Regression
The L1 penalty used in the lasso (Section 3.4.2) can be used for variable selection and shrinkage with any linear regression model. For logistic regression, we would maximize a penalized version of (4.20):
\[\max\_{\beta\_0, \beta} \left\{ \sum\_{i=1}^N \left[ y\_i (\beta\_0 + \beta^T x\_i) - \log(1 + e^{\beta\_0 + \beta^T x\_i}) \right] - \lambda \sum\_{j=1}^p |\beta\_j| \right\}. \tag{4.31}\]
As with the lasso, we typically do not penalize the intercept term, and standardize the predictors for the penalty to be meaningful. Criterion (4.31) is
126 4. Linear Methods for Classification
concave, and a solution can be found using nonlinear programming methods (Koh et al., 2007, for example). Alternatively, using the same quadratic approximations that were used in the Newton algorithm in Section 4.4.1, we can solve (4.31) by repeated application of a weighted lasso algorithm. Interestingly, the score equations [see (4.24)] for the variables with non-zero coefficients have the form
\[\mathbf{x}\_j^T(\mathbf{y} - \mathbf{p}) = \lambda \cdot \text{sign}(\beta\_j),\tag{4.32}\]
which generalizes (3.58) in Section 3.4.4; the active variables are tied in their generalized correlation with the residuals.
Path algorithms such as LAR for lasso are more difficult, because the coefficient profiles are piecewise smooth rather than linear. Nevertheless, progress can be made using quadratic approximations.

FIGURE 4.13. L1 regularized logistic regression coefficients for the South African heart disease data, plotted as a function of the L1 norm. The variables were all standardized to have unit variance. The profiles are computed exactly at each of the plotted points.
Figure 4.13 shows the L1 regularization path for the South African heart disease data of Section 4.4.2. This was produced using the R package glmpath (Park and Hastie, 2007), which uses predictor–corrector methods of convex optimization to identify the exact values of λ at which the active set of non-zero coefficients changes (vertical lines in the figure). Here the profiles look almost linear; in other examples the curvature will be more visible.
Coordinate descent methods (Section 3.8.6) are very efficient for computing the coefficient profiles on a grid of values for λ. The R package glmnet (Friedman et al., 2010) can fit coefficient paths for very large logistic regression problems efficiently (large in N or p). Their algorithms can exploit sparsity in the predictor matrix X, which allows for even larger problems. See Section 18.4 for more details, and a discussion of L1-regularized multinomial models.
4.4.5 Logistic Regression or LDA?
In Section 4.3 we find that the log-posterior odds between class k and K are linear functions of x (4.9):
\[\begin{split} \log \frac{\Pr(G = k | X = x)}{\Pr(G = K | X = x)} &= \quad \log \frac{\pi\_k}{\pi\_K} - \frac{1}{2} (\mu\_k + \mu\_K)^T \Sigma^{-1} (\mu\_k - \mu\_K) \\ &\quad + x^T \Sigma^{-1} (\mu\_k - \mu\_K) \\ &= \quad \alpha\_{k0} + \alpha\_k^T x. \end{split} \tag{4.33}\]
This linearity is a consequence of the Gaussian assumption for the class densities, as well as the assumption of a common covariance matrix. The linear logistic model (4.17) by construction has linear logits:
\[\log \frac{\Pr(G = k | X = x)}{\Pr(G = K | X = x)} = \beta\_{k0} + \beta\_k^T x. \tag{4.34}\]
It seems that the models are the same. Although they have exactly the same form, the difference lies in the way the linear coefficients are estimated. The logistic regression model is more general, in that it makes less assumptions. We can write the joint density of X and G as
\[\Pr(X, G = k) = \Pr(X)\Pr(G = k | X),\tag{4.35}\]
where Pr(X) denotes the marginal density of the inputs X. For both LDA and logistic regression, the second term on the right has the logit-linear form
\[\Pr(G = k | X = x) = \frac{e^{\beta\_{k0} + \beta\_k^T x}}{1 + \sum\_{\ell=1}^{K-1} e^{\beta\_{\ell0} + \beta\_\ell^T x}},\tag{4.36}\]
where we have again arbitrarily chosen the last class as the reference.
The logistic regression model leaves the marginal density of X as an arbitrary density function Pr(X), and fits the parameters of Pr(G|X) by maximizing the conditional likelihood—the multinomial likelihood with probabilities the Pr(G = k|X). Although Pr(X) is totally ignored, we can think of this marginal density as being estimated in a fully nonparametric and unrestricted fashion, using the empirical distribution function which places mass 1/N at each observation.
With LDA we fit the parameters by maximizing the full log-likelihood, based on the joint density
\[\Pr(X, G = k) = \phi(X; \mu\_k, \Sigma) \pi\_k,\tag{4.37}\]
128 4. Linear Methods for Classification
where φ is the Gaussian density function. Standard normal theory leads easily to the estimates ˆµk,Σˆ , and ˆπk given in Section 4.3. Since the linear parameters of the logistic form (4.33) are functions of the Gaussian parameters, we get their maximum-likelihood estimates by plugging in the corresponding estimates. However, unlike in the conditional case, the marginal density Pr(X) does play a role here. It is a mixture density
\[\Pr(X) = \sum\_{k=1}^{K} \pi\_k \phi(X; \mu\_k, \Sigma), \tag{4.38}\]
which also involves the parameters.
What role can this additional component/restriction play? By relying on the additional model assumptions, we have more information about the parameters, and hence can estimate them more efficiently (lower variance). If in fact the true fk(x) are Gaussian, then in the worst case ignoring this marginal part of the likelihood constitutes a loss of efficiency of about 30% asymptotically in the error rate (Efron, 1975). Paraphrasing: with 30% more data, the conditional likelihood will do as well.
For example, observations far from the decision boundary (which are down-weighted by logistic regression) play a role in estimating the common covariance matrix. This is not all good news, because it also means that LDA is not robust to gross outliers.
From the mixture formulation, it is clear that even observations without class labels have information about the parameters. Often it is expensive to generate class labels, but unclassified observations come cheaply. By relying on strong model assumptions, such as here, we can use both types of information.
The marginal likelihood can be thought of as a regularizer, requiring in some sense that class densities be visible from this marginal view. For example, if the data in a two-class logistic regression model can be perfectly separated by a hyperplane, the maximum likelihood estimates of the parameters are undefined (i.e., infinite; see Exercise 4.5). The LDA coefficients for the same data will be well defined, since the marginal likelihood will not permit these degeneracies.
In practice these assumptions are never correct, and often some of the components of X are qualitative variables. It is generally felt that logistic regression is a safer, more robust bet than the LDA model, relying on fewer assumptions. It is our experience that the models give very similar results, even when LDA is used inappropriately, such as with qualitative predictors.

FIGURE 4.14. A toy example with two classes separable by a hyperplane. The orange line is the least squares solution, which misclassifies one of the training points. Also shown are two blue separating hyperplanes found by the perceptron learning algorithm with different random starts.
4.5 Separating Hyperplanes
We have seen that linear discriminant analysis and logistic regression both estimate linear decision boundaries in similar but slightly different ways. For the rest of this chapter we describe separating hyperplane classifiers. These procedures construct linear decision boundaries that explicitly try to separate the data into different classes as well as possible. They provide the basis for support vector classifiers, discussed in Chapter 12. The mathematical level of this section is somewhat higher than that of the previous sections.
Figure 4.14 shows 20 data points in two classes in IR2. These data can be separated by a linear boundary. Included in the figure (blue lines) are two of the infinitely many possible separating hyperplanes. The orange line is the least squares solution to the problem, obtained by regressing the −1/1 response Y on X (with intercept); the line is given by
\[\{x : \beta\_0 + \beta\_1 x\_1 + \beta\_2 x\_2 = 0\}. \tag{4.39}\]
This least squares solution does not do a perfect job in separating the points, and makes one error. This is the same boundary found by LDA, in light of its equivalence with linear regression in the two-class case (Section 4.3 and Exercise 4.2).
Classifiers such as (4.39), that compute a linear combination of the input features and return the sign, were called perceptrons in the engineering liter130 4. Linear Methods for Classification

FIGURE 4.15. The linear algebra of a hyperplane (affine set).
ature in the late 1950s (Rosenblatt, 1958). Perceptrons set the foundations for the neural network models of the 1980s and 1990s.
Before we continue, let us digress slightly and review some vector algebra. Figure 4.15 depicts a hyperplane or affine set L defined by the equation f(x) = β0 + βT x = 0; since we are in IR2 this is a line. Here we list some properties:
- For any two points x1 and x2 lying in L, βT (x1 − x2) = 0, and hence β∗ = β/||β|| is the vector normal to the surface of L.
- For any point x0 in L, βT x0 = −β0.
- The signed distance of any point x to L is given by
\[\begin{aligned} \beta^{\*T}(x - x\_0) &= \quad \frac{1}{||\beta||} (\beta^T x + \beta\_0) \\ &= \quad \frac{1}{||f'(x)||} f(x). \end{aligned} \tag{4.40}\]
Hence f(x) is proportional to the signed distance from x to the hyperplane defined by f(x) = 0.
4.5.1 Rosenblatt’s Perceptron Learning Algorithm
The perceptron learning algorithm tries to find a separating hyperplane by minimizing the distance of misclassified points to the decision boundary. If a response yi = 1 is misclassified, then xT i β + β0 < 0, and the opposite for a misclassified response with yi = −1. The goal is to minimize
\[D(\beta, \beta\_0) = -\sum\_{i \in \mathcal{M}} y\_i (x\_i^T \beta + \beta\_0),\tag{4.41}\]
where M indexes the set of misclassified points. The quantity is nonnegative and proportional to the distance of the misclassified points to the decision boundary defined by βT x + β0 = 0. The gradient (assuming M is fixed) is given by
\[\partial \frac{D(\beta, \beta\_0)}{\partial \beta} = -\sum\_{i \in \mathcal{M}} y\_i x\_i,\tag{4.42}\]
\[\partial \frac{D(\beta, \beta\_0)}{\partial \beta\_0} = -\sum\_{i \in \mathcal{M}} y\_i. \tag{4.43}\]
The algorithm in fact uses stochastic gradient descent to minimize this piecewise linear criterion. This means that rather than computing the sum of the gradient contributions of each observation followed by a step in the negative gradient direction, a step is taken after each observation is visited. Hence the misclassified observations are visited in some sequence, and the parameters β are updated via
\[ \begin{pmatrix} \beta \\ \beta\_0 \end{pmatrix} \leftarrow \begin{pmatrix} \beta \\ \beta\_0 \end{pmatrix} + \rho \begin{pmatrix} y\_i x\_i \\ y\_i \end{pmatrix} . \tag{4.44} \]
Here ρ is the learning rate, which in this case can be taken to be 1 without loss in generality. If the classes are linearly separable, it can be shown that the algorithm converges to a separating hyperplane in a finite number of steps (Exercise 4.6). Figure 4.14 shows two solutions to a toy problem, each started at a different random guess.
There are a number of problems with this algorithm, summarized in Ripley (1996):
- When the data are separable, there are many solutions, and which one is found depends on the starting values.
- The “finite” number of steps can be very large. The smaller the gap, the longer the time to find it.
- When the data are not separable, the algorithm will not converge, and cycles develop. The cycles can be long and therefore hard to detect.
The second problem can often be eliminated by seeking a hyperplane not in the original space, but in a much enlarged space obtained by creating
132 4. Linear Methods for Classification
many basis-function transformations of the original variables. This is analogous to driving the residuals in a polynomial regression problem down to zero by making the degree sufficiently large. Perfect separation cannot always be achieved: for example, if observations from two different classes share the same input. It may not be desirable either, since the resulting model is likely to be overfit and will not generalize well. We return to this point at the end of the next section.
A rather elegant solution to the first problem is to add additional constraints to the separating hyperplane.
4.5.2 Optimal Separating Hyperplanes

The optimal separating hyperplane separates the two classes and maximizes the distance to the closest point from either class (Vapnik, 1996). Not only does this provide a unique solution to the separating hyperplane problem, but by maximizing the margin between the two classes on the training data, this leads to better classification performance on test data.
We need to generalize criterion (4.41). Consider the optimization problem
\[\begin{aligned} \max\_{\beta, \beta\_0, ||\beta|| = 1} M\\ \text{subject to } y\_i(x\_i^T \beta + \beta\_0) \ge M, \ i = 1, \ldots, N. \end{aligned} \tag{4.45}\]
The set of conditions ensure that all the points are at least a signed distance M from the decision boundary defined by β and β0, and we seek the largest such M and associated parameters. We can get rid of the ||β|| = 1 constraint by replacing the conditions with
\[\frac{1}{||\beta||}y\_i(x\_i^T\beta + \beta\_0) \ge M,\tag{4.46}\]
(which redefines β0) or equivalently
\[y\_i(x\_i^T\beta + \beta\_0) \ge M||\beta||.\tag{4.47}\]
Since for any β and β0 satisfying these inequalities, any positively scaled multiple satisfies them too, we can arbitrarily set ||β|| = 1/M. Thus (4.45) is equivalent to
\[\begin{aligned} \min\_{\beta, \beta\_0} & \frac{1}{2} ||\beta||^2 \\ \text{subject to } y\_i(x\_i^T \beta + \beta\_0) & \ge 1, \ i = 1, \dots, N. \end{aligned} \tag{4.48}\]
In light of (4.40), the constraints define an empty slab or margin around the linear decision boundary of thickness 1/||β||. Hence we choose β and β0 to maximize its thickness. This is a convex optimization problem (quadratic criterion with linear inequality constraints). The Lagrange (primal) function, to be minimized w.r.t. β and β0, is
\[L\_P \quad = \frac{1}{2}||\beta||^2 - \sum\_{i=1}^{N} \alpha\_i [y\_i(x\_i^T \beta + \beta\_0) - 1]. \tag{4.49}\]
Setting the derivatives to zero, we obtain:
\[ \beta\_- = \sum\_{i=1}^N \alpha\_i y\_i x\_i,\tag{4.50} \]
\[0 \quad = \sum\_{i=1}^{N} \alpha\_i y\_i,\tag{4.51}\]
and substituting these in (4.49) we obtain the so-called Wolfe dual
\[L\_D = \sum\_{i=1}^N \alpha\_i - \frac{1}{2} \sum\_{i=1}^N \sum\_{k=1}^N \alpha\_i \alpha\_k y\_i y\_k x\_i^T x\_k\]
\[\text{subject to } \qquad \alpha\_i \ge 0. \tag{4.52}\]
The solution is obtained by maximizing LD in the positive orthant, a simpler convex optimization problem, for which standard software can be used. In addition the solution must satisfy the Karush–Kuhn–Tucker conditions, which include (4.50), (4.51), (4.52) and
\[ \alpha\_i[y\_i(x\_i^T\beta + \beta\_0) - 1] = 0 \,\forall i. \tag{4.53} \]
From these we can see that
- if αi > 0, then yi(xT i β + β0) = 1, or in other words, xi is on the boundary of the slab;
- if yi(xT i β+β0) > 1, xi is not on the boundary of the slab, and αi = 0.
From (4.50) we see that the solution vector β is defined in terms of a linear combination of the support points xi—those points defined to be on the boundary of the slab via αi > 0. Figure 4.16 shows the optimal separating hyperplane for our toy example; there are three support points. Likewise, β0 is obtained by solving (4.53) for any of the support points.
The optimal separating hyperplane produces a function ˆf(x) = xT βˆ+βˆ0 for classifying new observations:
\[ \hat{G}(x) = \text{sign}\hat{f}(x). \tag{4.54} \]
Although none of the training observations fall in the margin (by construction), this will not necessarily be the case for test observations. The

FIGURE 4.16. The same data as in Figure 4.14. The shaded region delineates the maximum margin separating the two classes. There are three support points indicated, which lie on the boundary of the margin, and the optimal separating hyperplane (blue line) bisects the slab. Included in the figure is the boundary found using logistic regression (red line), which is very close to the optimal separating hyperplane (see Section 12.3.3).
intuition is that a large margin on the training data will lead to good separation on the test data.
The description of the solution in terms of support points seems to suggest that the optimal hyperplane focuses more on the points that count, and is more robust to model misspecification. The LDA solution, on the other hand, depends on all of the data, even points far away from the decision boundary. Note, however, that the identification of these support points required the use of all the data. Of course, if the classes are really Gaussian, then LDA is optimal, and separating hyperplanes will pay a price for focusing on the (noisier) data at the boundaries of the classes.
Included in Figure 4.16 is the logistic regression solution to this problem, fit by maximum likelihood. Both solutions are similar in this case. When a separating hyperplane exists, logistic regression will always find it, since the log-likelihood can be driven to 0 in this case (Exercise 4.5). The logistic regression solution shares some other qualitative features with the separating hyperplane solution. The coefficient vector is defined by a weighted least squares fit of a zero-mean linearized response on the input features, and the weights are larger for points near the decision boundary than for those further away.
When the data are not separable, there will be no feasible solution to this problem, and an alternative formulation is needed. Again one can enlarge the space using basis transformations, but this can lead to artificial separation through over-fitting. In Chapter 12 we discuss a more attractive alternative known as the support vector machine, which allows for overlap, but minimizes a measure of the extent of this overlap.
Bibliographic Notes
Good general texts on classification include Duda et al. (2000), Hand (1981), McLachlan (1992) and Ripley (1996). Mardia et al. (1979) have a concise discussion of linear discriminant analysis. Michie et al. (1994) compare a large number of popular classifiers on benchmark datasets. Linear separating hyperplanes are discussed in Vapnik (1996). Our account of the perceptron learning algorithm follows Ripley (1996).
Exercises
Ex. 4.1 Show how to solve the generalized eigenvalue problem max aT Ba subject to aTWa = 1 by transforming to a standard eigenvalue problem.
Ex. 4.2 Suppose we have features x ∈ IRp, a two-class response, with class sizes N1, N2, and the target coded as −N/N1, N/N2.
- Show that the LDA rule classifies to class 2 if
\[ \lambda \, \boldsymbol{x}^T \hat{\boldsymbol{\Sigma}}^{-1} (\hat{\mu}\_2 - \hat{\mu}\_1) > \frac{1}{2} \hat{\mu}\_2^T \hat{\boldsymbol{\Sigma}}^{-1} \hat{\mu}\_2 - \frac{1}{2} \hat{\mu}\_1^T \hat{\boldsymbol{\Sigma}}^{-1} \hat{\mu}\_1 + \log \left( \frac{N\_1}{N} \right) - \log \left( \frac{N\_2}{N} \right), \]
and class 1 otherwise.
- Consider minimization of the least squares criterion
\[\sum\_{i=1}^{N} (y\_i - \beta\_0 - \boldsymbol{\beta}^T \boldsymbol{x}\_i)^2. \tag{4.55}\]
Show that the solution βˆ satisfies
\[\left[ (N-2)\hat{\Sigma} + \frac{N\_1 N\_2}{N} \hat{\Sigma}\_B \right] \beta = N(\hat{\mu}\_2 - \hat{\mu}\_1) \tag{4.56}\]
(after simplification),where Σˆ B = (ˆµ2 − µˆ1)(ˆµ2 − µˆ1)T .
- Hence show that Σˆ Bβ is in the direction (ˆµ2 − µˆ1) and thus
\[ \hat{\beta} \propto \hat{\Sigma}^{-1} (\hat{\mu}\_2 - \hat{\mu}\_1). \tag{4.57} \]
Therefore the least squares regression coefficient is identical to the LDA coefficient, up to a scalar multiple.
136 4. Linear Methods for Classification
- Show that this result holds for any (distinct) coding of the two classes.
- Find the solution βˆ0, and hence the predicted values ˆf = βˆ0 + βˆT x. Consider the following rule: classify to class 2 if ˆyi > 0 and class 1 otherwise. Show this is not the same as the LDA rule unless the classes have equal numbers of observations.
(Fisher, 1936; Ripley, 1996)
Ex. 4.3 Suppose we transform the original predictors X to Yˆ via linear regression. In detail, let Yˆ = X(XT X)−1XT Y = XBˆ , where Y is the indicator response matrix. Similarly for any input x ∈ IRp, we get a transformed vector ˆy = Bˆ T x ∈ IRK. Show that LDA using Yˆ is identical to LDA in the original space.
Ex. 4.4 Consider the multilogit model with K classes (4.17). Let β be the (p + 1)(K − 1)-vector consisting of all the coefficients. Define a suitably enlarged version of the input vector x to accommodate this vectorized coefficient matrix. Derive the Newton-Raphson algorithm for maximizing the multinomial log-likelihood, and describe how you would implement this algorithm.
Ex. 4.5 Consider a two-class logistic regression problem with x ∈ IR. Characterize the maximum-likelihood estimates of the slope and intercept parameter if the sample xi for the two classes are separated by a point x0 ∈ IR. Generalize this result to (a) x ∈ IRp (see Figure 4.16), and (b) more than two classes.
Ex. 4.6 Suppose we have N points xi in IRp in general position, with class labels yi ∈ {−1, 1}. Prove that the perceptron learning algorithm converges to a separating hyperplane in a finite number of steps:
- Denote a hyperplane by f(x) = βT 1 x + β0 = 0, or in more compact notation βT x∗ = 0, where x∗ = (x, 1) and β = (β1, β0). Let zi = x∗ i /||x∗ i ||. Show that separability implies the existence of a βsep such that yiβT sepzi ≥ 1 ∀i
- Given a current βold, the perceptron algorithm identifies a point zi that is misclassified, and produces the update βnew ← βold + yizi. Show that ||βnew −βsep||2 ≤ ||βold−βsep||2−1, and hence that the algorithm converges to a separating hyperplane in no more than ||βstart−βsep||2 steps (Ripley, 1996).
Ex. 4.7 Consider the criterion
\[D^\*(\beta, \beta\_0) = -\sum\_{i=1}^N y\_i (x\_i^T \beta + \beta\_0),\tag{4.58}\]
a generalization of (4.41) where we sum over all the observations. Consider minimizing D∗ subject to ||β|| = 1. Describe this criterion in words. Does it solve the optimal separating hyperplane problem?
Ex. 4.8 Consider the multivariate Gaussian model X|G = k ∼ N(µk, Σ), with the additional restriction that rank{µk}K 1 = L < max(K − 1, p). Derive the constrained MLEs for the µk and Σ. Show that the Bayes classification rule is equivalent to classifying in the reduced subspace computed by LDA (Hastie and Tibshirani, 1996b).
Ex. 4.9 Write a computer program to perform a quadratic discriminant analysis by fitting a separate Gaussian model per class. Try it out on the vowel data, and compute the misclassification error for the test data. The data can be found in the book website www-stat.stanford.edu/ElemStatLearn. 138 4. Linear Methods for Classification
This is page 139 Printer: Opaque this
5 Basis Expansions and Regularization
5.1 Introduction
We have already made use of models linear in the input features, both for regression and classification. Linear regression, linear discriminant analysis, logistic regression and separating hyperplanes all rely on a linear model. It is extremely unlikely that the true function f(X) is actually linear in X. In regression problems, f(X) = E(Y |X) will typically be nonlinear and nonadditive in X, and representing f(X) by a linear model is usually a convenient, and sometimes a necessary, approximation. Convenient because a linear model is easy to interpret, and is the first-order Taylor approximation to f(X). Sometimes necessary, because with N small and/or p large, a linear model might be all we are able to fit to the data without overfitting. Likewise in classification, a linear, Bayes-optimal decision boundary implies that some monotone transformation of Pr(Y = 1|X) is linear in X. This is inevitably an approximation.
In this chapter and the next we discuss popular methods for moving beyond linearity. The core idea in this chapter is to augment/replace the vector of inputs X with additional variables, which are transformations of X, and then use linear models in this new space of derived input features.
Denote by hm(X) : IRp 6→ IR the mth transformation of X, m = 1,…,M. We then model
\[f(X) = \sum\_{m=1}^{M} \beta\_m h\_m(X),\tag{5.1}\]
a linear basis expansion in X. The beauty of this approach is that once the basis functions hm have been determined, the models are linear in these new variables, and the fitting proceeds as before.
Some simple and widely used examples of the hm are the following:
- hm(X) = Xm, m = 1,…,p recovers the original linear model.
- hm(X) = X2 j or hm(X) = XjXk allows us to augment the inputs with polynomial terms to achieve higher-order Taylor expansions. Note, however, that the number of variables grows exponentially in the degree of the polynomial. A full quadratic model in p variables requires O(p2) square and cross-product terms, or more generally O(pd) for a degree-d polynomial.
- hm(X) = log(Xj ), AXj ,… permits other nonlinear transformations of single inputs. More generally one can use similar functions involving several inputs, such as hm(X) = ||X||.
- hm(X) = I(Lm ≤ Xk < Um), an indicator for a region of Xk. By breaking the range of Xk up into Mk such nonoverlapping regions results in a model with a piecewise constant contribution for Xk.
Sometimes the problem at hand will call for particular basis functions hm, such as logarithms or power functions. More often, however, we use the basis expansions as a device to achieve more flexible representations for f(X). Polynomials are an example of the latter, although they are limited by their global nature—tweaking the coefficients to achieve a functional form in one region can cause the function to flap about madly in remote regions. In this chapter we consider more useful families of piecewise-polynomials and splines that allow for local polynomial representations. We also discuss the wavelet bases, especially useful for modeling signals and images. These methods produce a dictionary D consisting of typically a very large number |D| of basis functions, far more than we can afford to fit to our data. Along with the dictionary we require a method for controlling the complexity of our model, using basis functions from the dictionary. There are three common approaches:
• Restriction methods, where we decide before-hand to limit the class of functions. Additivity is an example, where we assume that our model has the form
\[f(X) = \sum\_{j=1}^{p} f\_j(X\_j)\]
\[= \sum\_{j=1}^{p} \sum\_{m=1}^{M\_j} \beta\_{jm} h\_{jm}(X\_j). \tag{5.2}\]
The size of the model is limited by the number of basis functions Mj used for each component function fj .
- Selection methods, which adaptively scan the dictionary and include only those basis functions hm that contribute significantly to the fit of the model. Here the variable selection techniques discussed in Chapter 3 are useful. The stagewise greedy approaches such as CART, MARS and boosting fall into this category as well.
- Regularization methods where we use the entire dictionary but restrict the coefficients. Ridge regression is a simple example of a regularization approach, while the lasso is both a regularization and selection method. Here we discuss these and more sophisticated methods for regularization.
5.2 Piecewise Polynomials and Splines
We assume until Section 5.7 that X is one-dimensional. A piecewise polynomial function f(X) is obtained by dividing the domain of X into contiguous intervals, and representing f by a separate polynomial in each interval. Figure 5.1 shows two simple piecewise polynomials. The first is piecewise constant, with three basis functions:
\[h\_1(X) = I(X < \xi\_1), \quad h\_2(X) = I(\xi\_1 \le X < \xi\_2), \quad h\_3(X) = I(\xi\_2 \le X).\]
Since these are positive over disjoint regions, the least squares estimate of the model f(X) = (3 m=1 βmhm(X) amounts to βˆm = Y¯m, the mean of Y in the mth region.
The top right panel shows a piecewise linear fit. Three additional basis functions are needed: hm+3 = hm(X)X, m = 1,…, 3. Except in special cases, we would typically prefer the third panel, which is also piecewise linear, but restricted to be continuous at the two knots. These continuity restrictions lead to linear constraints on the parameters; for example, f(ξ− 1 ) = f(ξ+ 1 ) implies that β1 + ξ1β4 = β2 + ξ1β5. In this case, since there are two restrictions, we expect to get back two parameters, leaving four free parameters.
A more direct way to proceed in this case is to use a basis that incorporates the constraints:
\[h\_1(X) = 1, \quad h\_2(X) = X, \quad h\_3(X) = (X - \xi\_1)\_+, \quad h\_4(X) = (X - \xi\_2)\_+, \quad\]
where t+ denotes the positive part. The function h3 is shown in the lower right panel of Figure 5.1. We often prefer smoother functions, and these can be achieved by increasing the order of the local polynomial. Figure 5.2 shows a series of piecewise-cubic polynomials fit to the same data, with

FIGURE 5.1. The top left panel shows a piecewise constant function fit to some artificial data. The broken vertical lines indicate the positions of the two knots ξ1 and ξ2. The blue curve represents the true function, from which the data were generated with Gaussian noise. The remaining two panels show piecewise linear functions fit to the same data—the top right unrestricted, and the lower left restricted to be continuous at the knots. The lower right panel shows a piecewise– linear basis function, h3(X)=(X − ξ1)+, continuous at ξ1. The black points indicate the sample evaluations h3(xi), i = 1,…,N.

Piecewise Cubic Polynomials
FIGURE 5.2. A series of piecewise-cubic polynomials, with increasing orders of continuity.
increasing orders of continuity at the knots. The function in the lower right panel is continuous, and has continuous first and second derivatives at the knots. It is known as a cubic spline. Enforcing one more order of continuity would lead to a global cubic polynomial. It is not hard to show (Exercise 5.1) that the following basis represents a cubic spline with knots at ξ1 and ξ2:
\[\begin{aligned} h\_1(X) &= 1, & h\_3(X) &= X^2, & h\_5(X) &= (X - \xi\_1)\_+^3, \\ h\_2(X) &= X, & h\_4(X) &= X^3, & h\_6(X) &= (X - \xi\_2)\_+^3. \end{aligned} \tag{5.3}\]
There are six basis functions corresponding to a six-dimensional linear space of functions. A quick check confirms the parameter count: (3 regions)×(4 parameters per region) −(2 knots)×(3 constraints per knot)= 6.
More generally, an order-M spline with knots ξj , j = 1,…,K is a piecewise-polynomial of order M, and has continuous derivatives up to order M − 2. A cubic spline has M = 4. In fact the piecewise-constant function in Figure 5.1 is an order-1 spline, while the continuous piecewise linear function is an order-2 spline. Likewise the general form for the truncated-power basis set would be
\[\begin{array}{rcl} h\_j(X) &=& X^{j-1}, \; j = 1, \dots, M, \\ h\_{M+\ell}(X) &=& (X - \xi\_{\ell})\_+^{M-1}, \; \ell = 1, \dots, K. \end{array}\]
It is claimed that cubic splines are the lowest-order spline for which the knot-discontinuity is not visible to the human eye. There is seldom any good reason to go beyond cubic-splines, unless one is interested in smooth derivatives. In practice the most widely used orders are M = 1, 2 and 4.
These fixed-knot splines are also known as regression splines. One needs to select the order of the spline, the number of knots and their placement. One simple approach is to parameterize a family of splines by the number of basis functions or degrees of freedom, and have the observations xi determine the positions of the knots. For example, the expression bs(x,df=7) in R generates a basis matrix of cubic-spline functions evaluated at the N observations in x, with the 7−3=41 interior knots at the appropriate percentiles of x (20, 40, 60 and 80th.) One can be more explicit, however; bs(x, degree=1, knots = c(0.2, 0.4, 0.6)) generates a basis for linear splines, with three interior knots, and returns an N × 4 matrix.
Since the space of spline functions of a particular order and knot sequence is a vector space, there are many equivalent bases for representing them (just as there are for ordinary polynomials.) While the truncated power basis is conceptually simple, it is not too attractive numerically: powers of large numbers can lead to severe rounding problems. The B-spline basis, described in the Appendix to this chapter, allows for efficient computations even when the number of knots K is large.
5.2.1 Natural Cubic Splines
We know that the behavior of polynomials fit to data tends to be erratic near the boundaries, and extrapolation can be dangerous. These problems are exacerbated with splines. The polynomials fit beyond the boundary knots behave even more wildly than the corresponding global polynomials in that region. This can be conveniently summarized in terms of the pointwise variance of spline functions fit by least squares (see the example in the next section for details on these variance calculations). Figure 5.3 compares
1A cubic spline with four knots is eight-dimensional. The bs() function omits by default the constant term in the basis, since terms like this are typically included with other terms in the model.

FIGURE 5.3. Pointwise variance curves for four different models, with X consisting of 50 points drawn at random from U[0, 1], and an assumed error model with constant variance. The linear and cubic polynomial fits have two and four degrees of freedom, respectively, while the cubic spline and natural cubic spline each have six degrees of freedom. The cubic spline has two knots at 0.33 and 0.66, while the natural spline has boundary knots at 0.1 and 0.9, and four interior knots uniformly spaced between them.
the pointwise variances for a variety of different models. The explosion of the variance near the boundaries is clear, and inevitably is worst for cubic splines.
A natural cubic spline adds additional constraints, namely that the function is linear beyond the boundary knots. This frees up four degrees of freedom (two constraints each in both boundary regions), which can be spent more profitably by sprinkling more knots in the interior region. This tradeoff is illustrated in terms of variance in Figure 5.3. There will be a price paid in bias near the boundaries, but assuming the function is linear near the boundaries (where we have less information anyway) is often considered reasonable.
A natural cubic spline with K knots is represented by K basis functions. One can start from a basis for cubic splines, and derive the reduced basis by imposing the boundary constraints. For example, starting from the truncated power series basis described in Section 5.2, we arrive at (Exercise 5.4):
\[N\_1(X) = 1, \quad N\_2(X) = X, \quad N\_{k+2}(X) = d\_k(X) - d\_{K-1}(X), \qquad (5.4)\]
where
\[d\_k(X) = \frac{(X - \xi\_k)\_+^3 - (X - \xi\_K)\_+^3}{\xi\_K - \xi\_k}. \tag{5.5}\]
Each of these basis functions can be seen to have zero second and third derivative for X ≥ ξK.
5.2.2 Example: South African Heart Disease (Continued)
In Section 4.4.2 we fit linear logistic regression models to the South African heart disease data. Here we explore nonlinearities in the functions using natural splines. The functional form of the model is
\[\text{logit}[\Pr(\text{chd}|X)] = \theta\_0 + h\_1(X\_1)^T \theta\_1 + h\_2(X\_2)^T \theta\_2 + \dots + h\_p(X\_p)^T \theta\_p,\tag{5.6}\]
where each of the θj are vectors of coefficients multiplying their associated vector of natural spline basis functions hj .
We use four natural spline bases for each term in the model. For example, with X1 representing sbp, h1(X1) is a basis consisting of four basis functions. This actually implies three rather than two interior knots (chosen at uniform quantiles of sbp), plus two boundary knots at the extremes of the data, since we exclude the constant term from each of the hj .
Since famhist is a two-level factor, it is coded by a simple binary or dummy variable, and is associated with a single coefficient in the fit of the model.
More compactly we can combine all p vectors of basis functions (and the constant term) into one big vector h(X), and then the model is simply h(X)T θ, with total number of parameters df = 1 + (p j=1 dfj , the sum of the parameters in each component term. Each basis function is evaluated at each of the N samples, resulting in a N × df basis matrix H. At this point the model is like any other linear logistic model, and the algorithms described in Section 4.4.1 apply.
We carried out a backward stepwise deletion process, dropping terms from this model while preserving the group structure of each term, rather than dropping one coefficient at a time. The AIC statistic (Section 7.5) was used to drop terms, and all the terms remaining in the final model would cause AIC to increase if deleted from the model (see Table 5.1). Figure 5.4 shows a plot of the final model selected by the stepwise regression. The functions displayed are ˆfj (Xj ) = hj (Xj )T ˆθj for each variable Xj . The covariance matrix Cov(ˆθ) = Σ is estimated by Σˆ = (HTWH)−1, where W is the diagonal weight matrix from the logistic regression. Hence vj (Xj ) = Var[ ˆfj (Xj )] = hj (Xj )T Σˆ jjhj (Xj ) is the pointwise variance function of ˆfj , where Cov(ˆθj ) = Σˆ jj is the appropriate sub-matrix of Σˆ . The shaded region in each panel is defined by ˆfj (Xj ) ± 2 Avj (Xj ).
The AIC statistic is slightly more generous than the likelihood-ratio test (deviance test). Both sbp and obesity are included in this model, while

FIGURE 5.4. Fitted natural-spline functions for each of the terms in the final model selected by the stepwise procedure. Included are pointwise standard-error bands. The rug plot at the base of each figure indicates the location of each of the sample values for that variable (jittered to break ties).
TABLE 5.1. Final logistic regression model, after stepwise deletion of natural splines terms. The column labeled “LRT” is the likelihood-ratio test statistic when that term is deleted from the model, and is the change in deviance from the full model (labeled “none”).
| Terms | Df | Deviance | AIC | LRT | P-value |
|---|---|---|---|---|---|
| none | 458.09 | 502.09 | |||
| sbp | 4 | 467.16 | 503.16 | 9.076 | 0.059 |
| tobacco | 4 | 470.48 | 506.48 | 12.387 | 0.015 |
| ldl | 4 | 472.39 | 508.39 | 14.307 | 0.006 |
| famhist | 1 | 479.44 | 521.44 | 21.356 | 0.000 |
| obesity | 4 | 466.24 | 502.24 | 8.147 | 0.086 |
| age | 4 | 481.86 | 517.86 | 23.768 | 0.000 |
they were not in the linear model. The figure explains why, since their contributions are inherently nonlinear. These effects at first may come as a surprise, but an explanation lies in the nature of the retrospective data. These measurements were made sometime after the patients suffered a heart attack, and in many cases they had already benefited from a healthier diet and lifestyle, hence the apparent increase in risk at low values for obesity and sbp. Table 5.1 shows a summary of the selected model.
5.2.3 Example: Phoneme Recognition
In this example we use splines to reduce flexibility rather than increase it; the application comes under the general heading of functional modeling. In the top panel of Figure 5.5 are displayed a sample of 15 log-periodograms for each of the two phonemes “aa” and “ao” measured at 256 frequencies. The goal is to use such data to classify a spoken phoneme. These two phonemes were chosen because they are difficult to separate.
The input feature is a vector x of length 256, which we can think of as a vector of evaluations of a function X(f) over a grid of frequencies f. In reality there is a continuous analog signal which is a function of frequency, and we have a sampled version of it.
The gray lines in the lower panel of Figure 5.5 show the coefficients of a linear logistic regression model fit by maximum likelihood to a training sample of 1000 drawn from the total of 695 “aa”s and 1022 “ao”s. The coefficients are also plotted as a function of frequency, and in fact we can think of the model in terms of its continuous counterpart
\[\log \frac{\Pr(\text{aa}|X)}{\Pr(\text{aa}|X)} = \int X(f)\beta(f)df,\tag{5.7}\]

FIGURE 5.5. The top panel displays the log-periodogram as a function of frequency for 15 examples each of the phonemes “aa” and “ao” sampled from a total of 695 “aa”s and 1022 “ao”s. Each log-periodogram is measured at 256 uniformly spaced frequencies. The lower panel shows the coefficients (as a function of frequency) of a logistic regression fit to the data by maximum likelihood, using the 256 log-periodogram values as inputs. The coefficients are restricted to be smooth in the red curve, and are unrestricted in the jagged gray curve.
which we approximate by
\[\sum\_{j=1}^{256} X(f\_j)\beta(f\_j) = \sum\_{j=1}^{256} x\_j \beta\_j. \tag{5.8}\]
The coefficients compute a contrast functional, and will have appreciable values in regions of frequency where the log-periodograms differ between the two classes.
The gray curves are very rough. Since the input signals have fairly strong positive autocorrelation, this results in negative autocorrelation in the coefficients. In addition the sample size effectively provides only four observations per coefficient.
Applications such as this permit a natural regularization. We force the coefficients to vary smoothly as a function of frequency. The red curve in the lower panel of Figure 5.5 shows such a smooth coefficient curve fit to these data. We see that the lower frequencies offer the most discriminatory power. Not only does the smoothing allow easier interpretation of the contrast, it also produces a more accurate classifier:
| Raw | Regularized | |
|---|---|---|
| Training error | 0.080 | 0.185 |
| Test error | 0.255 | 0.158 |
The smooth red curve was obtained through a very simple use of natural cubic splines. We can represent the coefficient function as an expansion of splines β(f) = (M m=1 hm(f)θm. In practice this means that β = Hθ where, H is a p × M basis matrix of natural cubic splines, defined on the set of frequencies. Here we used M = 12 basis functions, with knots uniformly placed over the integers 1, 2,…, 256 representing the frequencies. Since xT β = xT Hθ, we can simply replace the input features x by their filtered versions x∗ = HT x, and fit θ by linear logistic regression on the x∗. The red curve is thus βˆ(f) = h(f)T ˆθ.
5.3 Filtering and Feature Extraction
In the previous example, we constructed a p×M basis matrix H, and then transformed our features x into new features x∗ = HT x. These filtered versions of the features were then used as inputs into a learning procedure: in the previous example, this was linear logistic regression.
Preprocessing of high-dimensional features is a very general and powerful method for improving the performance of a learning algorithm. The preprocessing need not be linear as it was above, but can be a general (nonlinear) function of the form x∗ = g(x). The derived features x∗ can then be used as inputs into any (linear or nonlinear) learning procedure.
For example, for signal or image recognition a popular approach is to first transform the raw features via a wavelet transform x∗ = HT x (Section 5.9) and then use the features x∗ as inputs into a neural network (Chapter 11). Wavelets are effective in capturing discrete jumps or edges, and the neural network is a powerful tool for constructing nonlinear functions of these features for predicting the target variable. By using domain knowledge to construct appropriate features, one can often improve upon a learning method that has only the raw features x at its disposal.
5.4 Smoothing Splines
Here we discuss a spline basis method that avoids the knot selection problem completely by using a maximal set of knots. The complexity of the fit is controlled by regularization. Consider the following problem: among all functions f(x) with two continuous derivatives, find one that minimizes the penalized residual sum of squares
\[\text{RSS}(f,\lambda) = \sum\_{i=1}^{N} \{y\_i - f(x\_i)\}^2 + \lambda \int \{f''(t)\}^2 dt,\tag{5.9}\]
where λ is a fixed smoothing parameter. The first term measures closeness to the data, while the second term penalizes curvature in the function, and λ establishes a tradeoff between the two. Two special cases are:
λ =0: f can be any function that interpolates the data.
λ = ∞ : the simple least squares line fit, since no second derivative can be tolerated.
These vary from very rough to very smooth, and the hope is that λ ∈ (0,∞) indexes an interesting class of functions in between.
The criterion (5.9) is defined on an infinite-dimensional function space in fact, a Sobolev space of functions for which the second term is defined. Remarkably, it can be shown that (5.9) has an explicit, finite-dimensional, unique minimizer which is a natural cubic spline with knots at the unique values of the xi, i = 1,…,N (Exercise 5.7). At face value it seems that the family is still over-parametrized, since there are as many as N knots, which implies N degrees of freedom. However, the penalty term translates to a penalty on the spline coefficients, which are shrunk some of the way toward the linear fit.
Since the solution is a natural spline, we can write it as
\[f(x) = \sum\_{j=1}^{N} N\_j(x)\theta\_j,\tag{5.10}\]

FIGURE 5.6. The response is the relative change in bone mineral density measured at the spine in adolescents, as a function of age. A separate smoothing spline was fit to the males and females, with λ ≈ 0.00022. This choice corresponds to about 12 degrees of freedom.
where the Nj (x) are an N-dimensional set of basis functions for representing this family of natural splines (Section 5.2.1 and Exercise 5.4). The criterion thus reduces to
\[\text{RSS}(\theta,\lambda) = \left(\mathbf{y} - \mathbf{N}\theta\right)^{T}\left(\mathbf{y} - \mathbf{N}\theta\right) + \lambda\theta^{T}\Omega\_{N}\theta,\tag{5.11}\]
where {N}ij = Nj (xi) and {ΩN }jk = B N′′ j (t)N′′ k (t)dt. The solution is easily seen to be ˆθ = (NT N + λΩN )
\[\hat{\theta} = (\mathbf{N}^T \mathbf{N} + \lambda \mathbf{1} \mathbf{1}\_N)^{-1} \mathbf{N}^T \mathbf{y},\tag{5.12}\]
a generalized ridge regression. The fitted smoothing spline is given by
\[\hat{f}(x) \quad = \sum\_{j=1}^{N} N\_j(x)\hat{\theta}\_j. \tag{5.13}\]
Efficient computational techniques for smoothing splines are discussed in the Appendix to this chapter.
Figure 5.6 shows a smoothing spline fit to some data on bone mineral density (BMD) in adolescents. The response is relative change in spinal BMD over two consecutive visits, typically about one year apart. The data are color coded by gender, and two separate curves were fit. This simple summary reinforces the evidence in the data that the growth spurt for females precedes that for males by about two years. In both cases the smoothing parameter λ was approximately 0.00022; this choice is discussed in the next section.
5.4.1 Degrees of Freedom and Smoother Matrices
We have not yet indicated how λ is chosen for the smoothing spline. Later in this chapter we describe automatic methods using techniques such as cross-validation. In this section we discuss intuitive ways of prespecifying the amount of smoothing.
A smoothing spline with prechosen λ is an example of a linear smoother (as in linear operator). This is because the estimated parameters in (5.12) are a linear combination of the yi. Denote by ˆf the N-vector of fitted values ˆf(xi) at the training predictors xi. Then
\[\begin{aligned} \mathbf{\hat{f}} &= & \mathbf{N} (\mathbf{N}^T \mathbf{N} + \lambda \mathbf{1} \mathbf{1}\_N)^{-1} \mathbf{N}^T \mathbf{y} \\ &= & \mathbf{S}\_{\lambda} \mathbf{y}. \end{aligned} \tag{5.14}\]
Again the fit is linear in y, and the finite linear operator Sλ is known as the smoother matrix. One consequence of this linearity is that the recipe for producing ˆf from y does not depend on y itself; Sλ depends only on the xi and λ.
Linear operators are familiar in more traditional least squares fitting as well. Suppose Bξ is a N × M matrix of M cubic-spline basis functions evaluated at the N training points xi, with knot sequence ξ, and M ≪ N. Then the vector of fitted spline values is given by
\[\begin{aligned} \hat{\mathbf{f}}\_{\cdot} &= \mathbf{B}\_{\xi} (\mathbf{B}\_{\xi}^{T} \mathbf{B}\_{\xi})^{-1} \mathbf{B}\_{\xi}^{T} \mathbf{y} \\ &= \mathbf{H}\_{\xi} \mathbf{y}. \end{aligned} \tag{5.15}\]
Here the linear operator Hξ is a projection operator, also known as the hat matrix in statistics. There are some important similarities and differences between Hξ and Sλ:
- Both are symmetric, positive semidefinite matrices.
- HξHξ = Hξ (idempotent), while SλSλ ≼ Sλ, meaning that the righthand side exceeds the left-hand side by a positive semidefinite matrix. This is a consequence of the shrinking nature of Sλ, which we discuss further below.
- Hξ has rank M, while Sλ has rank N.
The expression M = trace(Hξ) gives the dimension of the projection space, which is also the number of basis functions, and hence the number of parameters involved in the fit. By analogy we define the effective degrees of
freedom of a smoothing spline to be
\[\text{df}\_{\lambda} = \text{trace}(\mathbf{S}\_{\lambda}),\tag{5.16}\]
the sum of the diagonal elements of Sλ. This very useful definition allows us a more intuitive way to parameterize the smoothing spline, and indeed many other smoothers as well, in a consistent fashion. For example, in Figure 5.6 we specified dfλ = 12 for each of the curves, and the corresponding λ ≈ 0.00022 was derived numerically by solving trace(Sλ) = 12. There are many arguments supporting this definition of degrees of freedom, and we cover some of them here.
Since Sλ is symmetric (and positive semidefinite), it has a real eigendecomposition. Before we proceed, it is convenient to rewrite Sλ in the Reinsch form
\[\mathbf{S}\_{\lambda} = (\mathbf{I} + \lambda \mathbf{K})^{-1},\tag{5.17}\]
where K does not depend on λ (Exercise 5.9). Since ˆf = Sλy solves
\[\min\_{\mathbf{f}} (\mathbf{y} - \mathbf{f})^T (\mathbf{y} - \mathbf{f}) + \lambda \mathbf{f}^T \mathbf{K} \mathbf{f},\tag{5.18}\]
K is known as the penalty matrix, and indeed a quadratic form in K has a representation in terms of a weighted sum of squared (divided) second differences. The eigen-decomposition of Sλ is
\[\mathbf{S}\_{\lambda} = \sum\_{k=1}^{N} \rho\_k(\lambda) \mathbf{u}\_k \mathbf{u}\_k^T \tag{5.19}\]
with
\[\rho\_k(\lambda) = \frac{1}{1 + \lambda d\_k},\tag{5.20}\]
and dk the corresponding eigenvalue of K. Figure 5.7 (top) shows the results of applying a cubic smoothing spline to some air pollution data (128 observations). Two fits are given: a smoother fit corresponding to a larger penalty λ and a rougher fit for a smaller penalty. The lower panels represent the eigenvalues (lower left) and some eigenvectors (lower right) of the corresponding smoother matrices. Some of the highlights of the eigenrepresentation are the following:
- The eigenvectors are not affected by changes in λ, and hence the whole family of smoothing splines (for a particular sequence x) indexed by λ have the same eigenvectors.
- Sλy = (N k=1 ukρk(λ)⟨uk, y⟩, and hence the smoothing spline operates by decomposing y w.r.t. the (complete) basis {uk}, and differentially shrinking the contributions using ρk(λ). This is to be contrasted with a basis-regression method, where the components are

FIGURE 5.7. (Top:) Smoothing spline fit of ozone concentration versus Daggot pressure gradient. The two fits correspond to different values of the smoothing parameter, chosen to achieve five and eleven effective degrees of freedom, defined by dfλ = trace(Sλ). (Lower left:) First 25 eigenvalues for the two smoothing-spline matrices. The first two are exactly 1, and all are ≥ 0. (Lower right:) Third to sixth eigenvectors of the spline smoother matrices. In each case, uk is plotted against x, and as such is viewed as a function of x. The rug at the base of the plots indicate the occurrence of data points. The damped functions represent the smoothed versions of these functions (using the 5 df smoother).
either left alone, or shrunk to zero—that is, a projection matrix such as Hξ above has M eigenvalues equal to 1, and the rest are 0. For this reason smoothing splines are referred to as shrinking smoothers, while regression splines are projection smoothers (see Figure 3.17 on page 80).
- The sequence of uk, ordered by decreasing ρk(λ), appear to increase in complexity. Indeed, they have the zero-crossing behavior of polynomials of increasing degree. Since Sλuk = ρk(λ)uk, we see how each of the eigenvectors themselves are shrunk by the smoothing spline: the higher the complexity, the more they are shrunk. If the domain of X is periodic, then the uk are sines and cosines at different frequencies.
- The first two eigenvalues are always one, and they correspond to the two-dimensional eigenspace of functions linear in x (Exercise 5.11), which are never shrunk.
- The eigenvalues ρk(λ)=1/(1 + λdk) are an inverse function of the eigenvalues dk of the penalty matrix K, moderated by λ; λ controls the rate at which the ρk(λ) decrease to zero. d1 = d2 = 0 and again linear functions are not penalized.
- One can reparametrize the smoothing spline using the basis vectors uk (the Demmler–Reinsch basis). In this case the smoothing spline solves
\[\min\_{\theta} \|\mathbf{y} - \mathbf{U}\theta\|^2 + \lambda\theta^T \mathbf{D}\theta,\tag{5.21}\]
where U has columns uk and D is a diagonal matrix with elements dk.
• dfλ = trace(Sλ) = (N k=1 ρk(λ). For projection smoothers, all the eigenvalues are 1, each one corresponding to a dimension of the projection subspace.
Figure 5.8 depicts a smoothing spline matrix, with the rows ordered with x. The banded nature of this representation suggests that a smoothing spline is a local fitting method, much like the locally weighted regression procedures in Chapter 6. The right panel shows in detail selected rows of S, which we call the equivalent kernels. As λ → 0, dfλ → N, and Sλ → I, the N-dimensional identity matrix. As λ → ∞, dfλ → 2, and Sλ → H, the hat matrix for linear regression on x.
5.5 Automatic Selection of the Smoothing Parameters
The smoothing parameters for regression splines encompass the degree of the splines, and the number and placement of the knots. For smoothing

Equivalent Kernels
FIGURE 5.8. The smoother matrix for a smoothing spline is nearly banded, indicating an equivalent kernel with local support. The left panel represents the elements of S as an image. The right panel shows the equivalent kernel or weighting function in detail for the indicated rows.
splines, we have only the penalty parameter λ to select, since the knots are at all the unique training X’s, and cubic degree is almost always used in practice.
Selecting the placement and number of knots for regression splines can be a combinatorially complex task, unless some simplifications are enforced. The MARS procedure in Chapter 9 uses a greedy algorithm with some additional approximations to achieve a practical compromise. We will not discuss this further here.
5.5.1 Fixing the Degrees of Freedom
Since dfλ = trace(Sλ) is monotone in λ for smoothing splines, we can invert the relationship and specify λ by fixing df. In practice this can be achieved by simple numerical methods. So, for example, in R one can use smooth.spline(x,y,df=6) to specify the amount of smoothing. This encourages a more traditional mode of model selection, where we might try a couple of different values of df, and select one based on approximate F-tests, residual plots and other more subjective criteria. Using df in this way provides a uniform approach to compare many different smoothing methods. It is particularly useful in generalized additive models (Chapter 9), where several smoothing methods can be simultaneously used in one model.
5.5.2 The Bias–Variance Tradeoff
Figure 5.9 shows the effect of the choice of dfλ when using a smoothing spline on a simple example:
\[\begin{aligned} Y &= f(X) + \varepsilon, \\ f(X) &= \frac{\sin(12(X + 0.2))}{X + 0.2}, \end{aligned} \tag{5.22}\]
with X ∼ U[0, 1] and ε ∼ N(0, 1). Our training sample consists of N = 100 pairs xi, yi drawn independently from this model.
The fitted splines for three different values of dfλ are shown. The yellow shaded region in the figure represents the pointwise standard error of ˆfλ, that is, we have shaded the region between ˆfλ(x) ± 2 · se( ˆfλ(x)). Since ˆf = Sλy,
\[\begin{aligned} \text{Cov}(\hat{\mathbf{f}}) &= \quad \mathbf{S}\_{\lambda} \text{Cov}(\mathbf{y}) \mathbf{S}\_{\lambda}^{T} \\ &= \quad \mathbf{S}\_{\lambda} \mathbf{S}\_{\lambda}^{T}. \end{aligned} \tag{5.23}\]
The diagonal contains the pointwise variances at the training xi. The bias is given by
\[\begin{aligned} \text{Bias}(\hat{\mathbf{f}}) &= \mathbf{f} - \mathbf{E}(\hat{\mathbf{f}}) \\ &= \mathbf{f} - \mathbf{S}\_{\lambda} \mathbf{f}, \end{aligned} \tag{5.24}\]

FIGURE 5.9. The top left panel shows the EPE(λ) and CV(λ) curves for a realization from a nonlinear additive error model (5.22). The remaining panels show the data, the true functions (in purple), and the fitted curves (in green) with yellow shaded ±2× standard error bands, for three different values of dfλ.
where f is the (unknown) vector of evaluations of the true f at the training X’s. The expectations and variances are with respect to repeated draws of samples of size N = 100 from the model (5.22). In a similar fashion Var( ˆfλ(x0)) and Bias( ˆfλ(x0)) can be computed at any point x0 (Exercise 5.10). The three fits displayed in the figure give a visual demonstration of the bias-variance tradeoff associated with selecting the smoothing parameter.
- dfλ = 5: The spline under fits, and clearly trims down the hills and fills in the valleys. This leads to a bias that is most dramatic in regions of high curvature. The standard error band is very narrow, so we estimate a badly biased version of the true function with great reliability!
- dfλ = 9: Here the fitted function is close to the true function, although a slight amount of bias seems evident. The variance has not increased appreciably.
- dfλ = 15: The fitted function is somewhat wiggly, but close to the true function. The wiggliness also accounts for the increased width of the standard error bands—the curve is starting to follow some individual points too closely.
Note that in these figures we are seeing a single realization of data and hence fitted spline ˆf in each case, while the bias involves an expectation E( ˆf). We leave it as an exercise (5.10) to compute similar figures where the bias is shown as well. The middle curve seems “just right,” in that it has achieved a good compromise between bias and variance.
The integrated squared prediction error (EPE) combines both bias and variance in a single summary:
\[\begin{aligned} \text{EPE}(\hat{f}\_{\lambda}) &= \text{E}(Y - \hat{f}\_{\lambda}(X))^2 \\ &= \text{Var}(Y) + \text{E}\left[\text{Bias}^2(\hat{f}\_{\lambda}(X)) + \text{Var}(\hat{f}\_{\lambda}(X))\right] \\ &= \sigma^2 + \text{MSE}(\hat{f}\_{\lambda}). \end{aligned} \tag{5.25}\]
Note that this is averaged both over the training sample (giving rise to ˆfλ), and the values of the (independently chosen) prediction points (X, Y ). EPE is a natural quantity of interest, and does create a tradeoff between bias and variance. The blue points in the top left panel of Figure 5.9 suggest that dfλ = 9 is spot on!
Since we don’t know the true function, we do not have access to EPE, and need an estimate. This topic is discussed in some detail in Chapter 7, and techniques such as K-fold cross-validation, GCV and Cp are all in common use. In Figure 5.9 we include the N-fold (leave-one-out) cross-validation curve:
\[\text{CV}(\hat{f}\_{\lambda}) \quad = \ \frac{1}{N} \sum\_{i=1}^{N} (y\_i - \hat{f}\_{\lambda}^{(-i)}(x\_i))^2 \tag{5.26}\]
\[=\left.\frac{1}{N}\sum\_{i=1}^{N}\left(\frac{y\_i - \hat{f}\_\lambda(x\_i)}{1 - S\_\lambda(i, i)}\right)^2\right. \tag{5.27}\]
which can (remarkably) be computed for each value of λ from the original fitted values and the diagonal elements Sλ(i, i) of Sλ (Exercise 5.13).
The EPE and CV curves have a similar shape, but the entire CV curve is above the EPE curve. For some realizations this is reversed, and overall the CV curve is approximately unbiased as an estimate of the EPE curve.
5.6 Nonparametric Logistic Regression
The smoothing spline problem (5.9) in Section 5.4 is posed in a regression setting. It is typically straightforward to transfer this technology to other domains. Here we consider logistic regression with a single quantitative input X. The model is
\[\log \frac{\Pr(Y = 1 | X = x)}{\Pr(Y = 0 | X = x)} = f(x),\tag{5.28}\]
which implies
\[\Pr(Y=1|X=x) = \frac{e^{f(x)}}{1 + e^{f(x)}}.\tag{5.29}\]
Fitting f(x) in a smooth fashion leads to a smooth estimate of the conditional probability Pr(Y = 1|x), which can be used for classification or risk scoring.
We construct the penalized log-likelihood criterion
\[\ell(f;\lambda) \quad = \sum\_{i=1}^{N} \left[ y\_i \log p(x\_i) + (1 - y\_i) \log(1 - p(x\_i)) \right] - \frac{1}{2} \lambda \int \{f''(t)\}^2 dt\]
\[= \sum\_{i=1}^{N} \left[ y\_i f(x\_i) - \log(1 + e^{f(x\_i)}) \right] - \frac{1}{2} \lambda \int \{f''(t)\}^2 dt,\qquad(5.30)\]
where we have abbreviated p(x) = Pr(Y = 1|x). The first term in this expression is the log-likelihood based on the binomial distribution (c.f. Chapter 4, page 120). Arguments similar to those used in Section 5.4 show that the optimal f is a finite-dimensional natural spline with knots at the unique
values of x. This means that we can represent f(x) = (N j=1 Nj (x)θj . We compute the first and second derivatives
\[\frac{\partial \ell(\theta)}{\partial \theta} = \mathbf{N}^T(\mathbf{y} - \mathbf{p}) - \lambda \Omega \theta,\tag{5.31}\]
\[\frac{\partial^2 \ell(\theta)}{\partial \theta \partial \theta^T} = -\mathbf{N}^T \mathbf{W} \mathbf{N} - \lambda \mathbf{1},\tag{5.32}\]
where p is the N-vector with elements p(xi), and W is a diagonal matrix of weights p(xi)(1 − p(xi)). The first derivative (5.31) is nonlinear in θ, so we need to use an iterative algorithm as in Section 4.4.1. Using Newton– Raphson as in (4.23) and (4.26) for linear logistic regression, the update equation can be written
\[\begin{aligned} \boldsymbol{\theta}^{\text{new}} &= (\mathbf{N}^T \mathbf{W} \mathbf{N} + \lambda \boldsymbol{\Omega})^{-1} \mathbf{N}^T \mathbf{W} \left( \mathbf{N} \boldsymbol{\theta}^{\text{old}} + \mathbf{W}^{-1} (\mathbf{y} - \mathbf{p}) \right) \\ &= (\mathbf{N}^T \mathbf{W} \mathbf{N} + \lambda \boldsymbol{\Omega})^{-1} \mathbf{N}^T \mathbf{W} \mathbf{z}. \end{aligned} \tag{5.33}\]
We can also express this update in terms of the fitted values
\[\begin{split} \mathbf{f}^{\text{new}} &= \mathbf{N} (\mathbf{N}^T \mathbf{W} \mathbf{N} + \lambda \mathbf{1} \mathbf{2})^{-1} \mathbf{N}^T \mathbf{W} \left( \mathbf{f}^{\text{old}} + \mathbf{W}^{-1} (\mathbf{y} - \mathbf{p}) \right) \\ &= \mathbf{S}\_{\lambda, w} \mathbf{z}. \end{split} \tag{5.34}\]
Referring back to (5.12) and (5.14), we see that the update fits a weighted smoothing spline to the working response z (Exercise 5.12).
The form of (5.34) is suggestive. It is tempting to replace Sλ,w by any nonparametric (weighted) regression operator, and obtain general families of nonparametric logistic regression models. Although here x is onedimensional, this procedure generalizes naturally to higher-dimensional x. These extensions are at the heart of generalized additive models, which we pursue in Chapter 9.
5.7 Multidimensional Splines
So far we have focused on one-dimensional spline models. Each of the approaches have multidimensional analogs. Suppose X ∈ IR2, and we have a basis of functions h1k(X1), k = 1,…,M1 for representing functions of coordinate X1, and likewise a set of M2 functions h2k(X2) for coordinate X2. Then the M1 × M2 dimensional tensor product basis defined by
\[g\_{jk}(X) = h\_{1j}(X\_1)h\_{2k}(X\_2), \; j = 1, \ldots, M\_1, \; k = 1, \ldots, M\_2 \tag{5.35}\]
can be used for representing a two-dimensional function:
\[g(X) = \sum\_{j=1}^{M\_1} \sum\_{k=1}^{M\_2} \theta\_{jk} g\_{jk}(X). \tag{5.36}\]

FIGURE 5.10. A tensor product basis of B-splines, showing some selected pairs. Each two-dimensional function is the tensor product of the corresponding one dimensional marginals.
Figure 5.10 illustrates a tensor product basis using B-splines. The coefficients can be fit by least squares, as before. This can be generalized to d dimensions, but note that the dimension of the basis grows exponentially fast—yet another manifestation of the curse of dimensionality. The MARS procedure discussed in Chapter 9 is a greedy forward algorithm for including only those tensor products that are deemed necessary by least squares.
Figure 5.11 illustrates the difference between additive and tensor product (natural) splines on the simulated classification example from Chapter 2. A logistic regression model logit[Pr(T|x)] = h(x)T θ is fit to the binary response, and the estimated decision boundary is the contour h(x)T ˆθ = 0. The tensor product basis can achieve more flexibility at the decision boundary, but introduces some spurious structure along the way.


One-dimensional smoothing splines (via regularization) generalize to higher dimensions as well. Suppose we have pairs yi, xi with xi ∈ IRd, and we seek a d-dimensional regression function f(x). The idea is to set up the problem
\[\min\_{f} \sum\_{i=1}^{N} \{y\_i - f(x\_i)\}^2 + \lambda J[f],\tag{5.37}\]
where J is an appropriate penalty functional for stabilizing a function f in IRd. For example, a natural generalization of the one-dimensional roughness penalty (5.9) for functions on IR2 is
\[J[f] = \int \int\_{\mathbb{R}^2} \left[ \left( \frac{\partial^2 f(x)}{\partial x\_1^2} \right)^2 + 2 \left( \frac{\partial^2 f(x)}{\partial x\_1 \partial x\_2} \right)^2 + \left( \frac{\partial^2 f(x)}{\partial x\_2^2} \right)^2 \right] dx\_1 dx\_2. \tag{5.38}\]
Optimizing (5.37) with this penalty leads to a smooth two-dimensional surface, known as a thin-plate spline. It shares many properties with the one-dimensional cubic smoothing spline:
- as λ → 0, the solution approaches an interpolating function [the one with smallest penalty (5.38)];
- as λ → ∞, the solution approaches the least squares plane;
- for intermediate values of λ, the solution can be represented as a linear expansion of basis functions, whose coefficients are obtained by a form of generalized ridge regression.
The solution has the form
\[f(x) = \beta\_0 + \beta^T x + \sum\_{j=1}^{N} \alpha\_j h\_j(x),\tag{5.39}\]
where hj (x) = ||x − xj ||2 log ||x − xj ||. These hj are examples of radial basis functions, which are discussed in more detail in the next section. The coefficients are found by plugging (5.39) into (5.37), which reduces to a finite-dimensional penalized least squares problem. For the penalty to be finite, the coefficients αj have to satisfy a set of linear constraints; see Exercise 5.14.
Thin-plate splines are defined more generally for arbitrary dimension d, for which an appropriately more general J is used.
There are a number of hybrid approaches that are popular in practice, both for computational and conceptual simplicity. Unlike one-dimensional smoothing splines, the computational complexity for thin-plate splines is O(N3), since there is not in general any sparse structure that can be exploited. However, as with univariate smoothing splines, we can get away with substantially less than the N knots prescribed by the solution (5.39).

Systolic Blood Pressure
FIGURE 5.12. A thin-plate spline fit to the heart disease data, displayed as a contour plot. The response is systolic blood pressure, modeled as a function of age and obesity. The data points are indicated, as well as the lattice of points used as knots. Care should be taken to use knots from the lattice inside the convex hull of the data (red), and ignore those outside (green).
In practice, it is usually sufficient to work with a lattice of knots covering the domain. The penalty is computed for the reduced expansion just as before. Using K knots reduces the computations to O(NK2 + K3). Figure 5.12 shows the result of fitting a thin-plate spline to some heart disease risk factors, representing the surface as a contour plot. Indicated are the location of the input features, as well as the knots used in the fit. Note that λ was specified via dfλ = trace(Sλ) = 15.
More generally one can represent f ∈ IRd as an expansion in any arbitrarily large collection of basis functions, and control the complexity by applying a regularizer such as (5.38). For example, we could construct a basis by forming the tensor products of all pairs of univariate smoothing-spline basis functions as in (5.35), using, for example, the univariate B-splines recommended in Section 5.9.2 as ingredients. This leads to an exponential growth in basis functions as the dimension increases, and typically we have to reduce the number of functions per coordinate accordingly.
The additive spline models discussed in Chapter 9 are a restricted class of multidimensional splines. They can be represented in this general formulation as well; that is, there exists a penalty J[f] that guarantees that the solution has the form f(X) = α + f1(X1) + ··· + fd(Xd) and that each of the functions fj are univariate splines. In this case the penalty is somewhat degenerate, and it is more natural to assume that f is additive, and then simply impose an additional penalty on each of the component functions:
\[\begin{aligned} J[f] &= \quad J(f\_1 + f\_2 + \dots + f\_d) \\ &= \sum\_{j=1}^d \int f\_j''(t\_j)^2 dt\_j. \end{aligned} \tag{5.40}\]
These are naturally extended to ANOVA spline decompositions,
\[f(X) = \alpha + \sum\_{j} f\_j(X\_j) + \sum\_{j\]
where each of the components are splines of the required dimension. There are many choices to be made:
- The maximum order of interaction—we have shown up to order 2 above.
- Which terms to include—not all main effects and interactions are necessarily needed.
- What representation to use—some choices are:
- regression splines with a relatively small number of basis functions per coordinate, and their tensor products for interactions;
- a complete basis as in smoothing splines, and include appropriate regularizers for each term in the expansion.
In many cases when the number of potential dimensions (features) is large, automatic methods are more desirable. The MARS and MART procedures (Chapters 9 and 10, respectively), both fall into this category.
5.8 Regularization and Reproducing Kernel Hilbert Spaces

In this section we cast splines into the larger context of regularization methods and reproducing kernel Hilbert spaces. This section is quite technical and can be skipped by the disinterested or intimidated reader.
A general class of regularization problems has the form
\[\min\_{f \in \mathcal{H}} \left[ \sum\_{i=1}^{N} L(y\_i, f(x\_i)) + \lambda J(f) \right] \tag{5.42}\]
where L(y, f(x)) is a loss function, J(f) is a penalty functional, and H is a space of functions on which J(f) is defined. Girosi et al. (1995) describe quite general penalty functionals of the form
\[J(f) = \int\_{\mathbb{R}^d} \frac{|\tilde{f}(s)|^2}{\tilde{G}(s)} ds,\tag{5.43}\]
where ˜f denotes the Fourier transform of f, and G˜ is some positive function that falls off to zero as ||s|| → ∞. The idea is that 1/G˜ increases the penalty for high-frequency components of f. Under some additional assumptions they show that the solutions have the form
\[f(X) = \sum\_{k=1}^{K} \alpha\_k \phi\_k(X) + \sum\_{i=1}^{N} \theta\_i G(X - x\_i),\tag{5.44}\]
where the φk span the null space of the penalty functional J, and G is the inverse Fourier transform of G˜. Smoothing splines and thin-plate splines fall into this framework. The remarkable feature of this solution is that while the criterion (5.42) is defined over an infinite-dimensional space, the solution is finite-dimensional. In the next sections we look at some specific examples.
5.8.1 Spaces of Functions Generated by Kernels
An important subclass of problems of the form (5.42) are generated by a positive definite kernel K(x, y), and the corresponding space of functions HK is called a reproducing kernel Hilbert space (RKHS). The penalty functional J is defined in terms of the kernel as well. We give a brief and simplified introduction to this class of models, adapted from Wahba (1990) and Girosi et al. (1995), and nicely summarized in Evgeniou et al. (2000).
Let x, y ∈ IRp. We consider the space of functions generated by the linear span of {K(·, y), y ∈ IRp)}; i.e arbitrary linear combinations of the form f(x) = ( m αmK(x, ym), where each kernel term is viewed as a function of the first argument, and indexed by the second. Suppose that K has an eigen-expansion
\[K(x,y) = \sum\_{i=1}^{\infty} \gamma\_i \phi\_i(x)\phi\_i(y) \tag{5.45}\]
with γi ≥ 0, (∞ i=1 γ2 i < ∞. Elements of HK have an expansion in terms of these eigen-functions,
\[f(x) = \sum\_{i=1}^{\infty} c\_i \phi\_i(x),\tag{5.46}\]
with the constraint that
\[||f||\_{\mathcal{H}\_K}^2 \stackrel{\text{def}}{=} \sum\_{i=1}^{\infty} c\_i^2 / \gamma\_i < \infty,\tag{5.47}\]
where ||f||HK is the norm induced by K. The penalty functional in (5.42) for the space HK is defined to be the squared norm J(f) = ||f||2 HK . The quantity J(f) can be interpreted as a generalized ridge penalty, where functions with large eigenvalues in the expansion (5.45) get penalized less, and vice versa.
Rewriting (5.42) we have
\[\min\_{f \in \mathcal{H}\_K} \left[ \sum\_{i=1}^N L(y\_i, f(x\_i)) + \lambda ||f||\_{\mathcal{H}\_K}^2 \right] \tag{5.48}\]
or equivalently
\[\min\_{\{c\_{j}\}\_{1}^{\infty}} \left[ \sum\_{i=1}^{N} L(y\_{i}, \sum\_{j=1}^{\infty} c\_{j} \phi\_{j}(x\_{i})) + \lambda \sum\_{j=1}^{\infty} c\_{j}^{2} / \gamma\_{j} \right]. \tag{5.49}\]
It can be shown (Wahba, 1990, see also Exercise 5.15) that the solution to (5.48) is finite-dimensional, and has the form
\[f(x) = \sum\_{i=1}^{N} \alpha\_i K(x, x\_i). \tag{5.50}\]
The basis function hi(x) = K(x, xi) (as a function of the first argument) is known as the representer of evaluation at xi in HK, since for f ∈ HK, it is easily seen that ⟨K(·, xi), f⟩HK = f(xi). Similarly ⟨K(·, xi), K(·, xj )⟩HK = K(xi, xj ) (the reproducing property of HK), and hence
\[J(f) = \sum\_{i=1}^{N} \sum\_{j=1}^{N} K(x\_i, x\_j) \alpha\_i \alpha\_j \tag{5.51}\]
for f(x) = (N i=1 αiK(x, xi).
In light of (5.50) and (5.51), (5.48) reduces to a finite-dimensional criterion
\[\min\_{\alpha} L(\mathbf{y}, \mathbf{K}\alpha) + \lambda \alpha^T \mathbf{K}\alpha. \tag{5.52}\]
We are using a vector notation, in which K is the N × N matrix with ijth entry K(xi, xj ) and so on. Simple numerical algorithms can be used to optimize (5.52). This phenomenon, whereby the infinite-dimensional problem (5.48) or (5.49) reduces to a finite dimensional optimization problem, has been dubbed the kernel property in the literature on support-vector machines (see Chapter 12).
There is a Bayesian interpretation of this class of models, in which f is interpreted as a realization of a zero-mean stationary Gaussian process, with prior covariance function K. The eigen-decomposition produces a series of orthogonal eigen-functions φj (x) with associated variances γj . The typical scenario is that “smooth” functions φj have large prior variance, while “rough” φj have small prior variances. The penalty in (5.48) is the contribution of the prior to the joint likelihood, and penalizes more those components with smaller prior variance (compare with (5.43)).
For simplicity we have dealt with the case here where all members of H are penalized, as in (5.48). More generally, there may be some components in H that we wish to leave alone, such as the linear functions for cubic smoothing splines in Section 5.4. The multidimensional thin-plate splines of Section 5.7 and tensor product splines fall into this category as well. In these cases there is a more convenient representation H = H0 ⊕ H1, with the null space H0 consisting of, for example, low degree polynomials in x that do not get penalized. The penalty becomes J(f) = ∥P1f∥, where P1 is the orthogonal projection of f onto H1. The solution has the form f(x) = (M j=1 βjhj (x) + (N i=1 αiK(x, xi), where the first term represents an expansion in H0. From a Bayesian perspective, the coefficients of components in H0 have improper priors, with infinite variance.
5.8.2 Examples of RKHS
The machinery above is driven by the choice of the kernel K and the loss function L. We consider first regression using squared-error loss. In this case (5.48) specializes to penalized least squares, and the solution can be characterized in two equivalent ways corresponding to (5.49) or (5.52):
\[\min\_{\{c\_{j}\}\_{1}^{\infty}} \sum\_{i=1}^{N} \left( y\_{i} - \sum\_{j=1}^{\infty} c\_{j} \phi\_{j}(x\_{i}) \right)^{2} + \lambda \sum\_{j=1}^{\infty} \frac{c\_{j}^{2}}{\gamma\_{j}} \tag{5.53}\]
an infinite-dimensional, generalized ridge regression problem, or
\[\min\_{\alpha} (\mathbf{y} - \mathbf{K}\alpha)^T (\mathbf{y} - \mathbf{K}\alpha) + \lambda \alpha^T \mathbf{K}\alpha. \tag{5.54}\]
The solution for α is obtained simply as
\[ \hat{\alpha} = (\mathbf{K} + \lambda \mathbf{I})^{-1} \mathbf{y}, \tag{5.55} \]
and
\[\hat{f}(x) = \sum\_{j=1}^{N} \hat{\alpha}\_j K(x, x\_j). \tag{5.56}\]
The vector of N fitted values is given by
\[\begin{array}{rcl} \hat{\mathbf{f}}\_{-} &=& \mathbf{K}\hat{\boldsymbol{\alpha}}\_{-} \\ & & \cdots & \cdots & \cdots \\ \end{array} \tag{1.12}\]
\[=\left.\mathbf{K}(\mathbf{K}+\lambda\mathbf{I})^{-1}\mathbf{y}\right.\tag{5.57}\]
\[\mathbf{u} = (\mathbf{I} + \lambda \mathbf{K}^{-1})^{-1} \mathbf{y}. \tag{5.58}\]
The estimate (5.57) also arises as the kriging estimate of a Gaussian random field in spatial statistics (Cressie, 1993). Compare also (5.58) with the smoothing spline fit (5.17) on page 154.
Penalized Polynomial Regression
The kernel K(x, y)=(⟨x, y⟩ + 1)d (Vapnik, 1996), for x, y ∈ IRp, has M = $p+d d % eigen-functions that span the space of polynomials in IRp of total degree d. For example, with p = 2 and d = 2, M = 6 and
\[K(x,y) = \int\_{M} 1 + 2x\_1y\_1 + 2x\_2y\_2 + x\_1^2y\_1^2 + x\_2^2y\_2^2 + 2x\_1x\_2y\_1y\_2 \tag{5.59}\]
\[=\sum\_{m=1} h\_m(x)h\_m(y)\tag{5.60}\]
with
\[h(x)^T = (1, \sqrt{2}x\_1, \sqrt{2}x\_2, x\_1^2, x\_2^2, \sqrt{2}x\_1x\_2). \tag{5.61}\]
One can represent h in terms of the M orthogonal eigen-functions and eigenvalues of K,
\[h(x) = \mathbf{V} \mathbf{D}\_{\gamma}^{\frac{1}{2}} \phi(x),\tag{5.62}\]
where Dγ = diag(γ1, γ2,…, γM), and V is M × M and orthogonal.
Suppose we wish to solve the penalized polynomial regression problem
\[\min\_{\{\beta\_m\}\_1^M} \sum\_{i=1}^N \left( y\_i - \sum\_{m=1}^M \beta\_m h\_m(x\_i) \right)^2 + \lambda \sum\_{m=1}^M \beta\_m^2. \tag{5.63}\]
Substituting (5.62) into (5.63), we get an expression of the form (5.53) to optimize (Exercise 5.16).
The number of basis functions M = $p+d d % can be very large, often much larger than N. Equation (5.55) tells us that if we use the kernel representation for the solution function, we have only to evaluate the kernel N2 times, and can compute the solution in O(N3) operations.
This simplicity is not without implications. Each of the polynomials hm in (5.61) inherits a scaling factor from the particular form of K, which has a bearing on the impact of the penalty in (5.63). We elaborate on this in the next section.

FIGURE 5.13. Radial kernels kk(x) for the mixture data, with scale parameter ν = 1. The kernels are centered at five points xm chosen at random from the 200.
Gaussian Radial Basis Functions
In the preceding example, the kernel is chosen because it represents an expansion of polynomials and can conveniently compute high-dimensional inner products. In this example the kernel is chosen because of its functional form in the representation (5.50).
The Gaussian kernel K(x, y) = e−ν||x−y||2 along with squared-error loss, for example, leads to a regression model that is an expansion in Gaussian radial basis functions,
\[k\_m(x) = e^{-\nu ||x - x\_m||^2}, \; m = 1, \ldots, N,\tag{5.64}\]
each one centered at one of the training feature vectors xm. The coefficients are estimated using (5.54).
Figure 5.13 illustrates radial kernels in IR1 using the first coordinate of the mixture example from Chapter 2. We show five of the 200 kernel basis functions km(x) = K(x, xm).
Figure 5.14 illustrates the implicit feature space for the radial kernel with x ∈ IR1. We computed the 200 × 200 kernel matrix K, and its eigendecomposition ΦDγΦT . We can think of the columns of Φ and the corresponding eigenvalues in Dγ as empirical estimates of the eigen expansion (5.45)2. Although the eigenvectors are discrete, we can represent them as functions on IR1 (Exercise 5.17). Figure 5.15 shows the largest 50 eigenvalues of K. The leading eigenfunctions are smooth, and they are successively more wiggly as the order increases. This brings to life the penalty in (5.49), where we see the coefficients of higher-order functions get penalized more than lower-order ones. The right panel in Figure 5.14 shows the correspond-
2The ℓth column of Φ is an estimate of φℓ, evaluated at each of the N observations. Alternatively, the ith row of Φ is the estimated vector of basis functions φ(xi), evaluated at the point xi. Although in principle, there can be infinitely many elements in φ, our estimate has at most N elements.


ing feature space representation of the eigenfunctions
\[h\_{\ell}(x) = \sqrt{\hat{\gamma}}\_{\ell} \hat{\phi}\_{\ell}(x), \ \ell = 1, \ldots, N. \tag{5.65}\]
Note that ⟨h(xi), h(xi′ )⟩ = K(xi, xi′ ). The scaling by the eigenvalues quickly shrinks most of the functions down to zero, leaving an effective dimension of about 12 in this case. The corresponding optimization problem is a standard ridge regression, as in (5.63). So although in principle the implicit feature space is infinite dimensional, the effective dimension is dramatically lower because of the relative amounts of shrinkage applied to each basis function. The kernel scale parameter ν plays a role here as well; larger ν implies more local km functions, and increases the effective dimension of the feature space. See Hastie and Zhu (2006) for more details.
It is also known (Girosi et al., 1995) that a thin-plate spline (Section 5.7) is an expansion in radial basis functions, generated by the kernel
\[K(x, y) = \|x - y\|^2 \log(\|x - y\|). \tag{5.66}\]
Radial basis functions are discussed in more detail in Section 6.7.
Support Vector Classifiers
The support vector machines of Chapter 12 for a two-class classification problem have the form f(x) = α0+(N i=1 αiK(x, xi), where the parameters are chosen to minimize
\[\min\_{\alpha\_0, \alpha} \left\{ \sum\_{i=1}^N [1 - y\_i f(x\_i)]\_+ + \frac{\lambda}{2} \alpha^T \mathbf{K} \alpha \right\},\tag{5.67}\]
where yi ∈ {−1, 1}, and [z]+ denotes the positive part of z. This can be viewed as a quadratic optimization problem with linear constraints, and requires a quadratic programming algorithm for its solution. The name support vector arises from the fact that typically many of the ˆαi = 0 [due to the piecewise-zero nature of the loss function in (5.67)], and so ˆf is an expansion in a subset of the K(·, xi). See Section 12.3.3 for more details.
5.9 Wavelet Smoothing
We have seen two different modes of operation with dictionaries of basis functions. With regression splines, we select a subset of the bases, using either subject-matter knowledge, or else automatically. The more adaptive procedures such as MARS (Chapter 9) can capture both smooth and nonsmooth behavior. With smoothing splines, we use a complete basis, but then shrink the coefficients toward smoothness.
5.9 Wavelet Smoothing 175

FIGURE 5.16. Some selected wavelets at different translations and dilations for the Haar and symmlet families. The functions have been scaled to suit the display.
Wavelets typically use a complete orthonormal basis to represent functions, but then shrink and select the coefficients toward a sparse representation. Just as a smooth function can be represented by a few spline basis functions, a mostly flat function with a few isolated bumps can be represented with a few (bumpy) basis functions. Wavelets bases are very popular in signal processing and compression, since they are able to represent both smooth and/or locally bumpy functions in an efficient way—a phenomenon dubbed time and frequency localization. In contrast, the traditional Fourier basis allows only frequency localization.
Before we give details, let’s look at the Haar wavelets in the left panel of Figure 5.16 to get an intuitive idea of how wavelet smoothing works. The vertical axis indicates the scale (frequency) of the wavelets, from low scale at the bottom to high scale at the top. At each scale the wavelets are “packed in” side-by-side to completely fill the time axis: we have only shown
a selected subset. Wavelet smoothing fits the coefficients for this basis by least squares, and then thresholds (discards, filters) the smaller coefficients. Since there are many basis functions at each scale, it can use bases where it needs them and discard the ones it does not need, to achieve time and frequency localization. The Haar wavelets are simple to understand, but not smooth enough for most purposes. The symmlet wavelets in the right panel of Figure 5.16 have the same orthonormal properties, but are smoother.
Figure 5.17 displays an NMR (nuclear magnetic resonance) signal, which appears to be composed of smooth components and isolated spikes, plus some noise. The wavelet transform, using a symmlet basis, is shown in the lower left panel. The wavelet coefficients are arranged in rows, from lowest scale at the bottom, to highest scale at the top. The length of each line segment indicates the size of the coefficient. The bottom right panel shows the wavelet coefficients after they have been thresholded. The threshold procedure, given below in equation (5.69), is the same soft-thresholding rule that arises in the lasso procedure for linear regression (Section 3.4.2). Notice that many of the smaller coefficients have been set to zero. The green curve in the top panel shows the back-transform of the thresholded coefficients: this is the smoothed version of the original signal. In the next section we give the details of this process, including the construction of wavelets and the thresholding rule.
5.9.1 Wavelet Bases and the Wavelet Transform

In this section we give details on the construction and filtering of wavelets. Wavelet bases are generated by translations and dilations of a single scaling function φ(x) (also known as the father). The red curves in Figure 5.18 are the Haar and symmlet-8 scaling functions. The Haar basis is particularly easy to understand, especially for anyone with experience in analysis of variance or trees, since it produces a piecewise-constant representation. Thus if φ(x) = I(x ∈ [0, 1]), then φ0,k(x) = φ(x−k), k an integer, generates an orthonormal basis for functions with jumps at the integers. Call this reference space V0. The dilations φ1,k(x) = √2φ(2x−k) form an orthonormal basis for a space V1 ⊃ V0 of functions piecewise constant on intervals of length 1 2 . In fact, more generally we have ··· ⊃ V1 ⊃ V0 ⊃ V−1 ⊃ ··· where each Vj is spanned by φj,k = 2j/2φ(2jx − k).
Now to the definition of wavelets. In analysis of variance, we often represent a pair of means µ1 and µ2 by their grand mean µ = 1 2 (µ1 + µ2), and then a contrast α = 1 2 (µ1 − µ2). A simplification occurs if the contrast α is very small, because then we can set it to zero. In a similar manner we might represent a function in Vj+1 by a component in Vj plus the component in the orthogonal complement Wj of Vj to Vj+1, written as Vj+1 = Vj ⊕ Wj . The component in Wj represents detail, and we might wish to set some elements of this component to zero. It is easy to see that the functions ψ(x−k)

Wavelet Transform - Original Signal
Wavelet Transform - WaveShrunk Signal

FIGURE 5.17. The top panel shows an NMR signal, with the wavelet-shrunk version superimposed in green. The lower left panel represents the wavelet transform of the original signal, down to V4, using the symmlet-8 basis. Each coefficient is represented by the height (positive or negative) of the vertical bar. The lower right panel represents the wavelet coefficients after being shrunken using the waveshrink function in S-PLUS, which implements the SureShrink method of wavelet adaptation of Donoho and Johnstone.

FIGURE 5.18. The Haar and symmlet father (scaling) wavelet φ(x) and mother wavelet ψ(x).
generated by the mother wavelet ψ(x) = φ(2x)−φ(2x−1) form an orthonormal basis for W0 for the Haar family. Likewise ψj,k = 2j/2ψ(2jx − k) form a basis for Wj .
Now Vj+1 = Vj ⊕ Wj = Vj−1 ⊕ Wj−1 ⊕ Wj , so besides representing a function by its level-j detail and level-j rough components, the latter can be broken down to level-(j −1) detail and rough, and so on. Finally we get a representation of the form VJ = V0 ⊕ W0 ⊕ W1 ··· ⊕ WJ−1. Figure 5.16 on page 175 shows particular wavelets ψj,k(x).
Notice that since these spaces are orthogonal, all the basis functions are orthonormal. In fact, if the domain is discrete with N = 2J (time) points, this is as far as we can go. There are 2j basis elements at level j, and adding up, we have a total of 2J − 1 elements in the Wj , and one in V0. This structured orthonormal basis allows for a multiresolution analysis, which we illustrate in the next section.
While helpful for understanding the construction above, the Haar basis is often too coarse for practical purposes. Fortunately, many clever wavelet bases have been invented. Figures 5.16 and 5.18 include the Daubechies symmlet-8 basis. This basis has smoother elements than the corresponding Haar basis, but there is a tradeoff:
• Each wavelet has a support covering 15 consecutive time intervals, rather than one for the Haar basis. More generally, the symmlet-p family has a support of 2p − 1 consecutive intervals. The wider the support, the more time the wavelet has to die to zero, and so it can achieve this more smoothly. Note that the effective support seems to be much narrower.
• The symmlet-p wavelet ψ(x) has p vanishing moments; that is,
\[\int \psi(x) x^j dx = 0, \; j = 0, \ldots, p - 1.\]
One implication is that any order-p polynomial over the N = 2J times points is reproduced exactly in V0 (Exercise 5.18). In this sense V0 is equivalent to the null space of the smoothing-spline penalty. The Haar wavelets have one vanishing moment, and V0 can reproduce any constant function.
The symmlet-p scaling functions are one of many families of wavelet generators. The operations are similar to those for the Haar basis:
- If √ V0 is spanned by φ(x − k), then V1 ⊃ V0 is spanned by φ1,k(x) = 2φ(2x−k) and φ(x) = ( k∈Z h(k)φ1,k(x), for some filter coefficients h(k).
- W0 is spanned by ψ(x) = ( k∈Z g(k)φ1,k(x), with filter coefficients g(k)=(−1)1−kh(1 − k).
5.9.2 Adaptive Wavelet Filtering

Wavelets are particularly useful when the data are measured on a uniform lattice, such as a discretized signal, image, or a time series. We will focus on the one-dimensional case, and having N = 2J lattice-points is convenient. Suppose y is the response vector, and W is the N ×N orthonormal wavelet basis matrix evaluated at the N uniformly spaced observations. Then y∗ = WT y is called the wavelet transform of y (and is the full least squares regression coefficient). A popular method for adaptive wavelet fitting is known as SURE shrinkage (Stein Unbiased Risk Estimation, Donoho and Johnstone (1994)). We start with the criterion
\[\min\_{\theta} \left|| \mathbf{y} - \mathbf{W}\theta ||\_2^2 + 2\lambda ||\theta||\_1,\tag{5.68}\]
which is the same as the lasso criterion in Chapter 3. Because W is orthonormal, this leads to the simple solution:
\[\hat{\theta}\_j = \text{sign}(y\_j^\*) (|y\_j^\*| - \lambda)\_+. \tag{5.69}\]
The least squares coefficients are translated toward zero, and truncated at zero. The fitted function (vector) is then given by the inverse wavelet transform ˆf = Wθˆ.
A simple choice for λ is λ = σ √2 log N, where σ is an estimate of the standard deviation of the noise. We can give some motivation for this choice. Since W is an orthonormal transformation, if the elements of y are white noise (independent Gaussian variates with mean 0 and variance σ2), then so are y∗. Furthermore if random variables Z1, Z2,…,ZN are white noise, the expected maximum of |Zj |, j = 1,…,N is approximately σ √2 log N. Hence all coefficients below σ √2 log N are likely to be noise and are set to zero.
The space W could be any basis of orthonormal functions: polynomials, natural splines or cosinusoids. What makes wavelets special is the particular form of basis functions used, which allows for a representation localized in time and in frequency.
Let’s look again at the NMR signal of Figure 5.17. The wavelet transform was computed using a symmlet−8 basis. Notice that the coefficients do not descend all the way to V0, but stop at V4 which has 16 basis functions. As we ascend to each level of detail, the coefficients get smaller, except in locations where spiky behavior is present. The wavelet coefficients represent characteristics of the signal localized in time (the basis functions at each level are translations of each other) and localized in frequency. Each dilation increases the detail by a factor of two, and in this sense corresponds to doubling the frequency in a traditional Fourier representation. In fact, a more mathematical understanding of wavelets reveals that the wavelets at a particular scale have a Fourier transform that is restricted to a limited range or octave of frequencies.
The shrinking/truncation in the right panel was achieved using the SURE approach described in the introduction to this section. The orthonormal N × N basis matrix W has columns which are the wavelet basis functions evaluated at the N time points. In particular, in this case there will be 16 columns corresponding to the φ4,k(x), and the remainder devoted to the ψj,k(x), j = 4,…, 11. In practice λ depends on the noise variance, and has to be estimated from the data (such as the variance of the coefficients at the highest level).
Notice the similarity between the SURE criterion (5.68) on page 179, and the smoothing spline criterion (5.21) on page 156:
- Both are hierarchically structured from coarse to fine detail, although wavelets are also localized in time within each resolution level.
- The splines build in a bias toward smooth functions by imposing differential shrinking constants dk. Early versions of SURE shrinkage treated all scales equally. The S+wavelets function waveshrink() has many options, some of which allow for differential shrinkage.
- The spline L2 penalty cause pure shrinkage, while the SURE L1 penalty does shrinkage and selection.
More generally smoothing splines achieve compression of the original signal by imposing smoothness, while wavelets impose sparsity. Figure 5.19 compares a wavelet fit (using SURE shrinkage) to a smoothing spline fit (using cross-validation) on two examples different in nature. For the NMR data in the upper panel, the smoothing spline introduces detail everywhere in order to capture the detail in the isolated spikes; the wavelet fit nicely localizes the spikes. In the lower panel, the true function is smooth, and the noise is relatively high. The wavelet fit has let in some additional and unnecessary wiggles—a price it pays in variance for the additional adaptivity.
The wavelet transform is not performed by matrix multiplication as in y∗ = WT y. In fact, using clever pyramidal schemes y∗ can be obtained in O(N) computations, which is even faster than the N log(N) of the fast Fourier transform (FFT). While the general construction is beyond the scope of this book, it is easy to see for the Haar basis (Exercise 5.19). Likewise, the inverse wavelet transform Wθˆ is also O(N).
This has been a very brief glimpse of this vast and growing field. There is a very large mathematical and computational base built on wavelets. Modern image compression is often performed using two-dimensional wavelet representations.
Bibliographic Notes
Splines and B-splines are discussed in detail in de Boor (1978). Green and Silverman (1994) and Wahba (1990) give a thorough treatment of smoothing splines and thin-plate splines; the latter also covers reproducing kernel Hilbert spaces. See also Girosi et al. (1995) and Evgeniou et al. (2000) for connections between many nonparametric regression techniques using RKHS approaches. Modeling functional data, as in Section 5.2.3, is covered in detail in Ramsay and Silverman (1997).
Daubechies (1992) is a classic and mathematical treatment of wavelets. Other useful sources are Chui (1992) and Wickerhauser (1994). Donoho and Johnstone (1994) developed the SURE shrinkage and selection technology from a statistical estimation framework; see also Vidakovic (1999). Bruce and Gao (1996) is a useful applied introduction, which also describes the wavelet software in S-PLUS.
Exercises
Ex. 5.1 Show that the truncated power basis functions in (5.3) represent a basis for a cubic spline with the two knots as indicated.

FIGURE 5.19. Wavelet smoothing compared with smoothing splines on two examples. Each panel compares the SURE-shrunk wavelet fit to the cross-validated smoothing spline fit.
Ex. 5.2 Suppose that Bi,M(x) is an order-M B-spline defined in the Appendix on page 186 through the sequence (5.77)–(5.78).
- Show by induction that Bi,M(x) = 0 for x ̸∈ [τi, τi+M]. This shows, for example, that the support of cubic B-splines is at most 5 knots.
- Show by induction that Bi,M(x) > 0 for x ∈ (τi, τi+M). The B-splines are positive in the interior of their support.
- Show by induction that (K+M i=1 Bi,M(x)=1 ∀x ∈ [ξ0, ξK+1].
- Show that Bi,M is a piecewise polynomial of order M (degree M − 1) on [ξ0, ξK+1], with breaks only at the knots ξ1,…, ξK.
- Show that an order-M B-spline basis function is the density function of a convolution of M uniform random variables.
- Ex. 5.3 Write a program to reproduce Figure 5.3 on page 145.
Ex. 5.4 Consider the truncated power series representation for cubic splines with K interior knots. Let
\[f(X) = \sum\_{j=0}^{3} \beta\_j X^j + \sum\_{k=1}^{K} \theta\_k (X - \xi\_k)\_+^3. \tag{5.70}\]
Prove that the natural boundary conditions for natural cubic splines (Section 5.2.1) imply the following linear constraints on the coefficients:
\[\begin{aligned} \beta\_2 &= 0, & \sum\_{k=1}^K \theta\_k &= 0, \\ \beta\_3 &= 0, & \sum\_{k=1}^K \xi\_k \theta\_k &= 0. \end{aligned} \tag{5.71}\]
Hence derive the basis (5.4) and (5.5).
Ex. 5.5 Write a program to classify the phoneme data using a quadratic discriminant analysis (Section 4.3). Since there are many correlated features, you should filter them using a smooth basis of natural cubic splines (Section 5.2.3). Decide beforehand on a series of five different choices for the number and position of the knots, and use tenfold cross-validation to make the final selection. The phoneme data are available from the book website www-stat.stanford.edu/ElemStatLearn.
Ex. 5.6 Suppose you wish to fit a periodic function, with a known period T. Describe how you could modify the truncated power series basis to achieve this goal.
Ex. 5.7 Derivation of smoothing splines (Green and Silverman, 1994). Suppose that N ≥ 2, and that g is the natural cubic spline interpolant to the pairs {xi, zi}N 1 , with a<x1 < ··· < xN < b. This is a natural spline
with a knot at every xi; being an N-dimensional space of functions, we can determine the coefficients such that it interpolates the sequence zi exactly. Let ˜g be any other differentiable function on [a, b] that interpolates the N pairs.
- Let h(x)=˜g(x) − g(x). Use integration by parts and the fact that g is a natural cubic spline to show that
\[\int\_{a}^{b} g''(x)h''(x)dx = \begin{aligned} & \quad -\sum\_{j=1}^{N-1} g'''(x\_j^+) \{h(x\_{j+1}) - h(x\_j)\} \\ & \quad = \quad 0. \end{aligned} \tag{5.72}\]
- Hence show that
\[\int\_{a}^{b} \tilde{g}''(t)^2 dt \ge \int\_{a}^{b} g''(t)^2 dt,\]
and that equality can only hold if h is identically zero in [a, b].
- Consider the penalized least squares problem
\[\min\_{f} \left[ \sum\_{i=1}^{N} (y\_i - f(x\_i))^2 + \lambda \int\_{a}^{b} f''(t)^2 dt \right].\]
Use (b) to argue that the minimizer must be a cubic spline with knots at each of the xi.
Ex. 5.8 In the appendix to this chapter we show how the smoothing spline computations could be more efficiently carried out using a (N + 4) dimensional basis of B-splines. Describe a slightly simpler scheme using a (N + 2) dimensional B-spline basis defined on the N − 2 interior knots.
Ex. 5.9 Derive the Reinsch form Sλ = (I+λK)−1 for the smoothing spline.
Ex. 5.10 Derive an expression for Var( ˆfλ(x0)) and bias( ˆfλ(x0)). Using the example (5.22), create a version of Figure 5.9 where the mean and several (pointwise) quantiles of ˆfλ(x) are shown.
Ex. 5.11 Prove that for a smoothing spline the null space of K is spanned by functions linear in X.
Ex. 5.12 Characterize the solution to the following problem,
\[\min\_{f} \text{RSS}(f, \lambda) = \sum\_{i=1}^{N} w\_i \{y\_i - f(x\_i)\}^2 + \lambda \int \{f''(t)\}^2 dt,\tag{5.73}\]
where the wi ≥ 0 are observation weights.
Characterize the solution to the smoothing spline problem (5.9) when the training data have ties in X.
Ex. 5.13 You have fitted a smoothing spline ˆfλ to a sample of N pairs (xi, yi). Suppose you augment your original sample with the pair x0, ˆfλ(x0), and refit; describe the result. Use this to derive the N-fold cross-validation formula (5.26).
Ex. 5.14 Derive the constraints on the αj in the thin-plate spline expansion (5.39) to guarantee that the penalty J(f) is finite. How else could one ensure that the penalty was finite?
Ex. 5.15 This exercise derives some of the results quoted in Section 5.8.1. Suppose K(x, y) satisfying the conditions (5.45) and let f(x) ∈ HK. Show that
- ⟨K(·, xi), f⟩HK = f(xi).
- ⟨K(·, xi), K(·, xj )⟩HK = K(xi, xj ).
\[\text{(c) If } g(x) = \sum\_{i=1}^{N} \alpha\_i K(x, x\_i), \text{ then}\]
\[J(g) = \sum\_{i=1}^{N} \sum\_{j=1}^{N} K(x\_i, x\_j) \alpha\_i \alpha\_j.\]
Suppose that ˜g(x) = g(x) + ρ(x), with ρ(x) ∈ HK, and orthogonal in HK to each of K(x, xi), i = 1,…,N. Show that
\[\begin{aligned} \text{(d)}\\ \sum\_{i=1}^{N} L(y\_i, \tilde{g}(x\_i)) + \lambda J(\tilde{g}) \ge \sum\_{i=1}^{N} L(y\_i, g(x\_i)) + \lambda J(g) \end{aligned} \tag{5.74}\]
with equality iff ρ(x) = 0.
Ex. 5.16 Consider the ridge regression problem (5.53), and assume M ≥ N. Assume you have a kernel K that computes the inner product K(x, y) = (M m=1 hm(x)hm(y).
Derive (5.62) on page 171 in the text. How would you compute the matrices V and Dγ, given K? Hence show that (5.63) is equivalent to (5.53).
Show that
\[\begin{aligned} \hat{\mathbf{f}}\_{\cdot} &= \mathbf{H} \hat{\boldsymbol{\beta}}\\ &= \mathbf{K} (\mathbf{K} + \lambda \mathbf{I})^{-1} \mathbf{y}, \end{aligned} \tag{5.75}\]
where H is the N × M matrix of evaluations hm(xi), and K = HHT the N × N matrix of inner-products h(xi)T h(xj ).
- Show that
\[\begin{aligned} \hat{f}(x) &= \quad h(x)^T \hat{\beta} \\ &= \quad \sum\_{i=1}^N K(x, x\_i) \hat{\alpha}\_i \end{aligned} \tag{5.76}\]
and αˆ = (K + λI)−1y.
- How would you modify your solution if M<N?
Ex. 5.17 Show how to convert the discrete eigen-decomposition of K in Section 5.8.2 to estimates of the eigenfunctions of K.
Ex. 5.18 The wavelet function ψ(x) of the symmlet-p wavelet basis has vanishing moments up to order p. Show that this implies that polynomials of order p are represented exactly in V0, defined on page 176.
Ex. 5.19 Show that the Haar wavelet transform of a signal of length N = 2J can be computed in O(N) computations.
Appendix: Computations for Splines

In this Appendix, we describe the B-spline basis for representing polynomial splines. We also discuss their use in the computations of smoothing splines.
B-splines
Before we can get started, we need to augment the knot sequence defined in Section 5.2. Let ξ0 < ξ1 and ξK < ξK+1 be two boundary knots, which typically define the domain over which we wish to evaluate our spline. We now define the augmented knot sequence τ such that
- τ1 ≤ τ2 ≤ ··· ≤ τM ≤ ξ0;
- τj+M = ξj , j = 1, ··· , K;
- ξK+1 ≤ τK+M+1 ≤ τK+M+2 ≤ ··· ≤ τK+2M.
The actual values of these additional knots beyond the boundary are arbitrary, and it is customary to make them all the same and equal to ξ0 and ξK+1, respectively.
Denote by Bi,m(x) the ith B-spline basis function of order m for the knot-sequence τ , m ≤ M. They are defined recursively in terms of divided differences as follows:
\[B\_{i,1}(x) \;=\; \begin{cases} 1 & \text{if } \tau\_i \le x < \tau\_{i+1} \\ 0 & \text{otherwise} \end{cases} \tag{5.77}\]
for i = 1,…,K + 2M − 1. These are also known as Haar basis functions.
\[\begin{aligned} B\_{i,m}(x) &= \frac{x - \tau\_i}{\tau\_{i+m-1} - \tau\_i} B\_{i,m-1}(x) + \frac{\tau\_{i+m} - x}{\tau\_{i+m} - \tau\_{i+1}} B\_{i+1,m-1}(x) \\ \text{for } i = 1, \dots, K+2M-m. \end{aligned} \tag{5.78}\]
Thus with M = 4, Bi,4, i = 1, ··· , K + 4 are the K + 4 cubic B-spline basis functions for the knot sequence ξ. This recursion can be continued and will generate the B-spline basis for any order spline. Figure 5.20 shows the sequence of B-splines up to order four with knots at the points 0.0, 0.1,…, 1.0. Since we have created some duplicate knots, some care has to be taken to avoid division by zero. If we adopt the convention that Bi,1 = 0 if τi = τi+1, then by induction Bi,m = 0 if τi = τi+1 = … = τi+m. Note also that in the construction above, only the subset Bi,m, i = M − m + 1,…,M + K are required for the B-spline basis of order m<M with knots ξ.
To fully understand the properties of these functions, and to show that they do indeed span the space of cubic splines for the knot sequence, requires additional mathematical machinery, including the properties of divided differences. Exercise 5.2 explores these issues.
The scope of B-splines is in fact bigger than advertised here, and has to do with knot duplication. If we duplicate an interior knot in the construction of the τ sequence above, and then generate the B-spline sequence as before, the resulting basis spans the space of piecewise polynomials with one less continuous derivative at the duplicated knot. In general, if in addition to the repeated boundary knots, we include the interior knot ξj 1 ≤ rj ≤ M times, then the lowest-order derivative to be discontinuous at x = ξj will be order M − rj . Thus for cubic splines with no repeats, rj = 1, j = 1,…,K, and at each interior knot the third derivatives (4−1) are discontinuous. Repeating the jth knot three times leads to a discontinuous 1st derivative; repeating it four times leads to a discontinuous zeroth derivative, i.e., the function is discontinuous at x = ξj . This is exactly what happens at the boundary knots; we repeat the knots M times, so the spline becomes discontinuous at the boundary knots (i.e., undefined beyond the boundary).
The local support of B-splines has important computational implications, especially when the number of knots K is large. Least squares computations with N observations and K + M variables (basis functions) take O(N(K + M)2 + (K + M)3) flops (floating point operations.) If K is some appreciable fraction of N, this leads to O(N3) algorithms which becomes

FIGURE 5.20. The sequence of B-splines up to order four with ten knots evenly spaced from 0 to 1. The B-splines have local support; they are nonzero on an interval spanned by M + 1 knots.
unacceptable for large N. If the N observations are sorted, the N ×(K+M) regression matrix consisting of the K + M B-spline basis functions evaluated at the N points has many zeros, which can be exploited to reduce the computational complexity back to O(N). We take this up further in the next section.
Computations for Smoothing Splines
Although natural splines (Section 5.2.1) provide a basis for smoothing splines, it is computationally more convenient to operate in the larger space of unconstrained B-splines. We write f(x) = (N+4 1 γjBj (x), where γj are coefficients and the Bj are the cubic B-spline basis functions. The solution looks the same as before,
\[ \hat{\boldsymbol{\gamma}} = (\mathbf{B}^T \mathbf{B} + \lambda \boldsymbol{\Omega}\_B)^{-1} \mathbf{B}^T \mathbf{y}, \tag{5.79} \]
except now the N × N matrix N is replaced by the N × (N + 4) matrix B, and similarly the (N + 4) × (N + 4) penalty matrix ΩB replaces the N × N dimensional ΩN . Although at face value it seems that there are no boundary derivative constraints, it turns out that the penalty term automatically imposes them by giving effectively infinite weight to any non zero derivative beyond the boundary. In practice, ˆγ is restricted to a linear subspace for which the penalty is always finite.
Since the columns of B are the evaluated B-splines, in order from left to right and evaluated at the sorted values of X, and the cubic B-splines have local support, B is lower 4-banded. Consequently the matrix M = (BTB +λΩ) is 4-banded and hence its Cholesky decomposition M = LLT can be computed easily. One then solves LLT γ = BT y by back-substitution to give γ and hence the solution ˆf in O(N) operations.
In practice, when N is large, it is unnecessary to use all N interior knots, and any reasonable thinning strategy will save in computations and have negligible effect on the fit. For example, the smooth.spline function in S-PLUS uses an approximately logarithmic strategy: if N < 50 all knots are included, but even at N = 5, 000 only 204 knots are used.
This is page 191 Printer: Opaque this
6 Kernel Smoothing Methods
In this chapter we describe a class of regression techniques that achieve flexibility in estimating the regression function f(X) over the domain IRp by fitting a different but simple model separately at each query point x0. This is done by using only those observations close to the target point x0 to fit the simple model, and in such a way that the resulting estimated function ˆf(X) is smooth in IRp. This localization is achieved via a weighting function or kernel Kλ(x0, xi), which assigns a weight to xi based on its distance from x0. The kernels Kλ are typically indexed by a parameter λ that dictates the width of the neighborhood. These memory-based methods require in principle little or no training; all the work gets done at evaluation time. The only parameter that needs to be determined from the training data is λ. The model, however, is the entire training data set.
We also discuss more general classes of kernel-based techniques , which tie in with structured methods in other chapters, and are useful for density estimation and classification.
The techniques in this chapter should not be confused with those associated with the more recent usage of the phrase “kernel methods”. In this chapter kernels are mostly used as a device for localization. We discuss kernel methods in Sections 5.8, 14.5.4, 18.5 and Chapter 12; in those contexts the kernel computes an inner product in a high-dimensional (implicit) feature space, and is used for regularized nonlinear modeling. We make some connections to the methodology in this chapter at the end of Section 6.7.

FIGURE 6.1. In each panel 100 pairs xi, yi are generated at random from the blue curve with Gaussian errors: Y = sin(4X)+ε, X ∼ U[0, 1], ε ∼ N(0, 1/3). In the left panel the green curve is the result of a 30-nearest-neighbor running-mean smoother. The red point is the fitted constant ˆf(x0), and the red circles indicate those observations contributing to the fit at x0. The solid yellow region indicates the weights assigned to observations. In the right panel, the green curve is the kernel-weighted average, using an Epanechnikov kernel with (half ) window width λ = 0.2.
6.1 One-Dimensional Kernel Smoothers
In Chapter 2, we motivated the k–nearest-neighbor average
\[\hat{f}(x) = \text{Ave}(y\_i|x\_i \in N\_k(x))\tag{6.1}\]
as an estimate of the regression function E(Y |X = x). Here Nk(x) is the set of k points nearest to x in squared distance, and Ave denotes the average (mean). The idea is to relax the definition of conditional expectation, as illustrated in the left panel of Figure 6.1, and compute an average in a neighborhood of the target point. In this case we have used the 30-nearest neighborhood—the fit at x0 is the average of the 30 pairs whose xi values are closest to x0. The green curve is traced out as we apply this definition at different values x0. The green curve is bumpy, since ˆf(x) is discontinuous in x. As we move x0 from left to right, the k-nearest neighborhood remains constant, until a point xi to the right of x0 becomes closer than the furthest point xi′ in the neighborhood to the left of x0, at which time xi replaces xi′ . The average in (6.1) changes in a discrete way, leading to a discontinuous ˆf(x).
This discontinuity is ugly and unnecessary. Rather than give all the points in the neighborhood equal weight, we can assign weights that die off smoothly with distance from the target point. The right panel shows an example of this, using the so-called Nadaraya–Watson kernel-weighted average
\[\hat{f}(x\_0) = \frac{\sum\_{i=1}^{N} K\_{\lambda}(x\_0, x\_i) y\_i}{\sum\_{i=1}^{N} K\_{\lambda}(x\_0, x\_i)},\tag{6.2}\]
with the Epanechnikov quadratic kernel
\[K\_{\lambda}(x\_0, x) = D\left(\frac{|x - x\_0|}{\lambda}\right),\tag{6.3}\]
with
\[D(t) = \begin{cases} \frac{3}{4}(1 - t^2) & \text{if } |t| \le 1; \\ 0 & \text{otherwise.} \end{cases} \tag{6.4}\]
The fitted function is now continuous, and quite smooth in the right panel of Figure 6.1. As we move the target from left to right, points enter the neighborhood initially with weight zero, and then their contribution slowly increases (see Exercise 6.1).
In the right panel we used a metric window size λ = 0.2 for the kernel fit, which does not change as we move the target point x0, while the size of the 30-nearest-neighbor smoothing window adapts to the local density of the xi. One can, however, also use such adaptive neighborhoods with kernels, but we need to use a more general notation. Let hλ(x0) be a width function (indexed by λ) that determines the width of the neighborhood at x0. Then more generally we have
\[K\_{\lambda}(x\_0, x) = D\left(\frac{|x - x\_0|}{h\_{\lambda}(x\_0)}\right). \tag{6.5}\]
In (6.3), hλ(x0) = λ is constant. For k-nearest neighborhoods, the neighborhood size k replaces λ, and we have hk(x0) = |x0 − x[k]| where x[k] is the kth closest xi to x0.
There are a number of details that one has to attend to in practice:
- The smoothing parameter λ, which determines the width of the local neighborhood, has to be determined. Large λ implies lower variance (averages over more observations) but higher bias (we essentially assume the true function is constant within the window).
- Metric window widths (constant hλ(x)) tend to keep the bias of the estimate constant, but the variance is inversely proportional to the local density. Nearest-neighbor window widths exhibit the opposite behavior; the variance stays constant and the absolute bias varies inversely with local density.
- Issues arise with nearest-neighbors when there are ties in the xi. With most smoothing techniques one can simply reduce the data set by averaging the yi at tied values of X, and supplementing these new observations at the unique values of xi with an additional weight wi (which multiples the kernel weight).

FIGURE 6.2. A comparison of three popular kernels for local smoothing. Each has been calibrated to integrate to 1. The tri-cube kernel is compact and has two continuous derivatives at the boundary of its support, while the Epanechnikov kernel has none. The Gaussian kernel is continuously differentiable, but has infinite support.
- This leaves a more general problem to deal with: observation weights wi. Operationally we simply multiply them by the kernel weights before computing the weighted average. With nearest neighborhoods, it is now natural to insist on neighborhoods with a total weight content k (relative to (wi). In the event of overflow (the last observation needed in a neighborhood has a weight wj which causes the sum of weights to exceed the budget k), then fractional parts can be used.
- Boundary issues arise. The metric neighborhoods tend to contain less points on the boundaries, while the nearest-neighborhoods get wider.
- The Epanechnikov kernel has compact support (needed when used with nearest-neighbor window size). Another popular compact kernel is based on the tri-cube function
\[D(t) = \begin{cases} \ (1 - |t|^3)^3 & \text{if } |t| \le 1; \\ 0 & \text{otherwise} \end{cases} \tag{6.6}\]
This is flatter on the top (like the nearest-neighbor box) and is differentiable at the boundary of its support. The Gaussian density function D(t) = φ(t) is a popular noncompact kernel, with the standarddeviation playing the role of the window size. Figure 6.2 compares the three.
6.1.1 Local Linear Regression
We have progressed from the raw moving average to a smoothly varying locally weighted average by using kernel weighting. The smooth kernel fit still has problems, however, as exhibited in Figure 6.3 (left panel). Locallyweighted averages can be badly biased on the boundaries of the domain,

FIGURE 6.3. The locally weighted average has bias problems at or near the boundaries of the domain. The true function is approximately linear here, but most of the observations in the neighborhood have a higher mean than the target point, so despite weighting, their mean will be biased upwards. By fitting a locally weighted linear regression (right panel), this bias is removed to first order
because of the asymmetry of the kernel in that region. By fitting straight lines rather than constants locally, we can remove this bias exactly to first order; see Figure 6.3 (right panel). Actually, this bias can be present in the interior of the domain as well, if the X values are not equally spaced (for the same reasons, but usually less severe). Again locally weighted linear regression will make a first-order correction.
Locally weighted regression solves a separate weighted least squares problem at each target point x0:
\[\min\_{\alpha(x\_0), \beta(x\_0)} \sum\_{i=1}^N K\_{\lambda}(x\_0, x\_i) \left[ y\_i - \alpha(x\_0) - \beta(x\_0) x\_i \right]^2. \tag{6.7}\]
The estimate is then ˆf(x0)= ˆα(x0) + βˆ(x0)x0. Notice that although we fit an entire linear model to the data in the region, we only use it to evaluate the fit at the single point x0.
Define the vector-valued function b(x)T = (1, x). Let B be the N × 2 regression matrix with ith row b(xi)T , and W(x0) the N × N diagonal matrix with ith diagonal element Kλ(x0, xi). Then
\[\begin{array}{rcl}\hat{f}(x\_0) &=& b(x\_0)^T (\mathbf{B}^T \mathbf{W}(x\_0) \mathbf{B})^{-1} \mathbf{B}^T \mathbf{W}(x\_0) \mathbf{y} \\ &\dots \end{array} \tag{6.8}\]
\[=\sum\_{i=1}^{N} l\_i(x\_0)y\_i. \tag{6.9}\]
Equation (6.8) gives an explicit expression for the local linear regression estimate, and (6.9) highlights the fact that the estimate is linear in the


FIGURE 6.4. The green points show the equivalent kernel li(x0) for local regression. These are the weights in ˆf(x0) = PN i=1 li(x0)yi, plotted against their corresponding xi. For display purposes, these have been rescaled, since in fact they sum to 1. Since the yellow shaded region is the (rescaled) equivalent kernel for the Nadaraya–Watson local average, we see how local regression automatically modifies the weighting kernel to correct for biases due to asymmetry in the smoothing window.
yi (the li(x0) do not involve y). These weights li(x0) combine the weighting kernel Kλ(x0, ·) and the least squares operations, and are sometimes referred to as the equivalent kernel. Figure 6.4 illustrates the effect of local linear regression on the equivalent kernel. Historically, the bias in the Nadaraya–Watson and other local average kernel methods were corrected by modifying the kernel. These modifications were based on theoretical asymptotic mean-square-error considerations, and besides being tedious to implement, are only approximate for finite sample sizes. Local linear regression automatically modifies the kernel to correct the bias exactly to first order, a phenomenon dubbed as automatic kernel carpentry. Consider the following expansion for E ˆf(x0), using the linearity of local regression and a series expansion of the true function f around x0,
\[\begin{aligned} \mathrm{E}\hat{f}(x\_0) &= \sum\_{i=1}^N l\_i(x\_0) f(x\_i) \\ &= \int f(x\_0) \sum\_{i=1}^N l\_i(x\_0) + f'(x\_0) \sum\_{i=1}^N (x\_i - x\_0) l\_i(x\_0) \\ &+ \frac{f''(x\_0)}{2} \sum\_{i=1}^N (x\_i - x\_0)^2 l\_i(x\_0) + R, \end{aligned} \tag{6.10}\]
where the remainder term R involves third- and higher-order derivatives of f, and is typically small under suitable smoothness assumptions. It can be

FIGURE 6.5. Local linear fits exhibit bias in regions of curvature of the true function. Local quadratic fits tend to eliminate this bias.
shown (Exercise 6.2) that for local linear regression, (N i=1 li(x0) = 1 and (N i=1(xi − x0)li(x0) = 0. Hence the middle term equals f(x0), and since the bias is E ˆf(x0) − f(x0), we see that it depends only on quadratic and higher–order terms in the expansion of f.
6.1.2 Local Polynomial Regression
Why stop at local linear fits? We can fit local polynomial fits of any degree d,
\[\min\_{\{\alpha(x\_0), \beta\_j(x\_0), \boldsymbol{y}\_j = 1, \dots, d}} \sum\_{i=1}^N K\_\lambda(x\_0, x\_i) \left[ y\_i - \alpha(x\_0) - \sum\_{j=1}^d \beta\_j(x\_0) x\_i^j \right]^2 \tag{6.11}\]
with solution ˆf(x0)= ˆα(x0)+(d j=1 βˆj (x0)xj 0. In fact, an expansion such as (6.10) will tell us that the bias will only have components of degree d+1 and higher (Exercise 6.2). Figure 6.5 illustrates local quadratic regression. Local linear fits tend to be biased in regions of curvature of the true function, a phenomenon referred to as trimming the hills and filling the valleys. Local quadratic regression is generally able to correct this bias.
There is of course a price to be paid for this bias reduction, and that is increased variance. The fit in the right panel of Figure 6.5 is slightly more wiggly, especially in the tails. Assuming the model yi = f(xi) + εi, with εi independent and identically distributed with mean zero and variance σ2, Var( ˆf(x0)) = σ2||l(x0)||2, where l(x0) is the vector of equivalent kernel weights at x0. It can be shown (Exercise 6.3) that ||l(x0)|| increases with d, and so there is a bias–variance tradeoff in selecting the polynomial degree. Figure 6.6 illustrates these variance curves for degree zero, one and two

FIGURE 6.6. The variances functions ||l(x)||2 for local constant, linear and quadratic regression, for a metric bandwidth (λ = 0.2) tri-cube kernel.
local polynomials. To summarize some collected wisdom on this issue:
- Local linear fits can help bias dramatically at the boundaries at a modest cost in variance. Local quadratic fits do little at the boundaries for bias, but increase the variance a lot.
- Local quadratic fits tend to be most helpful in reducing bias due to curvature in the interior of the domain.
- Asymptotic analysis suggest that local polynomials of odd degree dominate those of even degree. This is largely due to the fact that asymptotically the MSE is dominated by boundary effects.
While it may be helpful to tinker, and move from local linear fits at the boundary to local quadratic fits in the interior, we do not recommend such strategies. Usually the application will dictate the degree of the fit. For example, if we are interested in extrapolation, then the boundary is of more interest, and local linear fits are probably more reliable.
6.2 Selecting the Width of the Kernel
In each of the kernels Kλ, λ is a parameter that controls its width:
- For the Epanechnikov or tri-cube kernel with metric width, λ is the radius of the support region.
- For the Gaussian kernel, λ is the standard deviation.
- λ is the number k of nearest neighbors in k-nearest neighborhoods, often expressed as a fraction or span k/N of the total training sample.

FIGURE 6.7. Equivalent kernels for a local linear regression smoother (tri-cube kernel; orange) and a smoothing spline (blue), with matching degrees of freedom. The vertical spikes indicates the target points.
There is a natural bias–variance tradeoff as we change the width of the averaging window, which is most explicit for local averages:
- If the window is narrow, ˆf(x0) is an average of a small number of yi close to x0, and its variance will be relatively large—close to that of an individual yi. The bias will tend to be small, again because each of the E(yi) = f(xi) should be close to f(x0).
- If the window is wide, the variance of ˆf(x0) will be small relative to the variance of any yi, because of the effects of averaging. The bias will be higher, because we are now using observations xi further from x0, and there is no guarantee that f(xi) will be close to f(x0).
Similar arguments apply to local regression estimates, say local linear: as the width goes to zero, the estimates approach a piecewise-linear function that interpolates the training data1; as the width gets infinitely large, the fit approaches the global linear least-squares fit to the data.
The discussion in Chapter 5 on selecting the regularization parameter for smoothing splines applies here, and will not be repeated. Local regression smoothers are linear estimators; the smoother matrix in ˆf = Sλy is built up from the equivalent kernels (6.8), and has ijth entry {Sλ}ij = li(xj ). Leaveone-out cross-validation is particularly simple (Exercise 6.7), as is generalized cross-validation, Cp (Exercise 6.10), and k-fold cross-validation. The effective degrees of freedom is again defined as trace(Sλ), and can be used to calibrate the amount of smoothing. Figure 6.7 compares the equivalent kernels for a smoothing spline and local linear regression. The local regression smoother has a span of 40%, which results in df = trace(Sλ)=5.86. The smoothing spline was calibrated to have the same df, and their equivalent kernels are qualitatively quite similar.
1With uniformly spaced xi; with irregularly spaced xi, the behavior can deteriorate.
200 6. Kernel Smoothing Methods
6.3 Local Regression in IRp
Kernel smoothing and local regression generalize very naturally to two or more dimensions. The Nadaraya–Watson kernel smoother fits a constant locally with weights supplied by a p-dimensional kernel. Local linear regression will fit a hyperplane locally in X, by weighted least squares, with weights supplied by a p-dimensional kernel. It is simple to implement and is generally preferred to the local constant fit for its superior performance on the boundaries.
Let b(X) be a vector of polynomial terms in X of maximum degree d. For example, with d = 1 and p = 2 we get b(X) = (1, X1, X2); with d = 2 we get b(X) = (1, X1, X2, X2 1 , X2 2 , X1X2); and trivially with d = 0 we get b(X) = 1. At each x0 ∈ IRp solve
\[\min\_{\beta(x\_0)} \sum\_{i=1}^{N} K\_{\lambda}(x\_0, x\_i) (y\_i - b(x\_i)^T \beta(x\_0))^2 \tag{6.12}\]
to produce the fit ˆf(x0) = b(x0)T βˆ(x0). Typically the kernel will be a radial function, such as the radial Epanechnikov or tri-cube kernel
\[K\_{\lambda}(x\_0, x) = D\left(\frac{||x - x\_0||}{\lambda}\right),\tag{6.13}\]
where ||·|| is the Euclidean norm. Since the Euclidean norm depends on the units in each coordinate, it makes most sense to standardize each predictor, for example, to unit standard deviation, prior to smoothing.
While boundary effects are a problem in one-dimensional smoothing, they are a much bigger problem in two or higher dimensions, since the fraction of points on the boundary is larger. In fact, one of the manifestations of the curse of dimensionality is that the fraction of points close to the boundary increases to one as the dimension grows. Directly modifying the kernel to accommodate two-dimensional boundaries becomes very messy, especially for irregular boundaries. Local polynomial regression seamlessly performs boundary correction to the desired order in any dimensions. Figure 6.8 illustrates local linear regression on some measurements from an astronomical study with an unusual predictor design (star-shaped). Here the boundary is extremely irregular, and the fitted surface must also interpolate over regions of increasing data sparsity as we approach the boundary.
Local regression becomes less useful in dimensions much higher than two or three. We have discussed in some detail the problems of dimensionality, for example, in Chapter 2. It is impossible to simultaneously maintain localness (⇒ low bias) and a sizable sample in the neighborhood (⇒ low variance) as the dimension increases, without the total sample size increasing exponentially in p. Visualization of ˆf(X) also becomes difficult in higher dimensions, and this is often one of the primary goals of smoothing.

FIGURE 6.8. The left panel shows three-dimensional data, where the response is the velocity measurements on a galaxy, and the two predictors record positions on the celestial sphere. The unusual “star”-shaped design indicates the way the measurements were made, and results in an extremely irregular boundary. The right panel shows the results of local linear regression smoothing in IR2, using a nearest-neighbor window with 15% of the data.
Although the scatter-cloud and wire-frame pictures in Figure 6.8 look attractive, it is quite difficult to interpret the results except at a gross level. From a data analysis perspective, conditional plots are far more useful.
Figure 6.9 shows an analysis of some environmental data with three predictors. The trellis display here shows ozone as a function of radiation, conditioned on the other two variables, temperature and wind speed. However, conditioning on the value of a variable really implies local to that value (as in local regression). Above each of the panels in Figure 6.9 is an indication of the range of values present in that panel for each of the conditioning values. In the panel itself the data subsets are displayed (response versus remaining variable), and a one-dimensional local linear regression is fit to the data. Although this is not quite the same as looking at slices of a fitted three-dimensional surface, it is probably more useful in terms of understanding the joint behavior of the data.
6.4 Structured Local Regression Models in IRp
When the dimension to sample-size ratio is unfavorable, local regression does not help us much, unless we are willing to make some structural assumptions about the model. Much of this book is about structured regression and classification models. Here we focus on some approaches directly related to kernel methods.

FIGURE 6.9. Three-dimensional smoothing example. The response is (cube-root of ) ozone concentration, and the three predictors are temperature, wind speed and radiation. The trellis display shows ozone as a function of radiation, conditioned on intervals of temperature and wind speed (indicated by darker green or orange shaded bars). Each panel contains about 40% of the range of each of the conditioned variables. The curve in each panel is a univariate local linear regression, fit to the data in the panel.
6.4.1 Structured Kernels
One line of approach is to modify the kernel. The default spherical kernel (6.13) gives equal weight to each coordinate, and so a natural default strategy is to standardize each variable to unit standard deviation. A more general approach is to use a positive semidefinite matrix A to weigh the different coordinates:
\[K\_{\lambda,A}(x\_0, x) = D\left(\frac{(x - x\_0)^T \mathbf{A}(x - x\_0)}{\lambda}\right). \tag{6.14}\]
Entire coordinates or directions can be downgraded or omitted by imposing appropriate restrictions on A. For example, if A is diagonal, then we can increase or decrease the influence of individual predictors Xj by increasing or decreasing Ajj . Often the predictors are many and highly correlated, such as those arising from digitized analog signals or images. The covariance function of the predictors can be used to tailor a metric A that focuses less, say, on high-frequency contrasts (Exercise 6.4). Proposals have been made for learning the parameters for multidimensional kernels. For example, the projection-pursuit regression model discussed in Chapter 11 is of this flavor, where low-rank versions of A imply ridge functions for ˆf(X). More general models for A are cumbersome, and we favor instead the structured forms for the regression function discussed next.
6.4.2 Structured Regression Functions
We are trying to fit a regression function E(Y |X) = f(X1, X2,…,Xp) in IRp, in which every level of interaction is potentially present. It is natural to consider analysis-of-variance (ANOVA) decompositions of the form
\[f(X\_1, X\_2, \dots, X\_p) = \alpha + \sum\_j g\_j(X\_j) + \sum\_{k < \ell} g\_{k\ell}(X\_k, X\_\ell) + \dotsb \tag{6.15}\]
and then introduce structure by eliminating some of the higher-order terms. Additive models assume only main effect terms: f(X) = α + (p j=1 gj (Xj ); second-order models will have terms with interactions of order at most two, and so on. In Chapter 9, we describe iterative backfitting algorithms for fitting such low-order interaction models. In the additive model, for example, if all but the kth term is assumed known, then we can estimate gk by local regression of Y −( j̸=k gj (Xj ) on Xk. This is done for each function in turn, repeatedly, until convergence. The important detail is that at any stage, one-dimensional local regression is all that is needed. The same ideas can be used to fit low-dimensional ANOVA decompositions.
An important special case of these structured models are the class of varying coefficient models. Suppose, for example, that we divide the p predictors in X into a set (X1, X2,…,Xq) with q<p, and the remainder of

FIGURE 6.10. In each panel the aorta diameter is modeled as a linear function of age. The coefficients of this model vary with gender and depth down the aorta (left is near the top, right is low down). There is a clear trend in the coefficients of the linear model.
the variables we collect in the vector Z. We then assume the conditionally linear model
\[f(X) = \alpha(Z) + \beta\_1(Z)X\_1 + \dots + \beta\_q(Z)X\_q. \tag{6.16}\]
For given Z, this is a linear model, but each of the coefficients can vary with Z. It is natural to fit such a model by locally weighted least squares:
\[\min\_{\alpha(z\_0), \beta(z\_0)} \sum\_{i=1}^N K\_{\lambda}(z\_0, z\_i) \left( y\_i - \alpha(z\_0) - x\_{1i}\beta\_1(z\_0) - \dots - x\_{qi}\beta\_q(z\_0) \right)^2. \tag{6.17}\]
Figure 6.10 illustrates the idea on measurements of the human aorta. A longstanding claim has been that the aorta thickens with age. Here we model the diameter of the aorta as a linear function of age, but allow the coefficients to vary with gender and depth down the aorta. We used a local regression model separately for males and females. While the aorta clearly does thicken with age at the higher regions of the aorta, the relationship fades with distance down the aorta. Figure 6.11 shows the intercept and slope as a function of depth.

FIGURE 6.11. The intercept and slope of age as a function of distance down the aorta, separately for males and females. The yellow bands indicate one standard error.
6.5 Local Likelihood and Other Models
The concept of local regression and varying coefficient models is extremely broad: any parametric model can be made local if the fitting method accommodates observation weights. Here are some examples:
• Associated with each observation yi is a parameter θi = θ(xi) = xT i β linear in the covariate(s) xi, and inference for β is based on the loglikelihood l(β) = (N i=1 l(yi, xT i β). We can model θ(X) more flexibly by using the likelihood local to x0 for inference of θ(x0) = xT 0 β(x0):
\[l(\beta(x\_0)) = \sum\_{i=1}^{N} K\_{\lambda}(x\_0, x\_i) l(y\_i, x\_i^T \beta(x\_0)).\]
Many likelihood models, in particular the family of generalized linear models including logistic and log-linear models, involve the covariates in a linear fashion. Local likelihood allows a relaxation from a globally linear model to one that is locally linear.
206 6. Kernel Smoothing Methods
• As above, except different variables are associated with θ from those used for defining the local likelihood:
\[l(\theta(z\_0)) = \sum\_{i=1}^{N} K\_{\lambda}(z\_0, z\_i) l(y\_i, \eta(x\_i, \theta(z\_0))).\]
For example, η(x, θ) = xT θ could be a linear model in x. This will fit a varying coefficient model θ(z) by maximizing the local likelihood.
• Autoregressive time series models of order k have the form yt = β0 + β1yt−1 + β2yt−2 + ··· + βkyt−k + εt. Denoting the lag set by zt = (yt−1, yt−2,…,yt−k), the model looks like a standard linear model yt = zT t β + εt, and is typically fit by least squares. Fitting by local least squares with a kernel K(z0, zt) allows the model to vary according to the short-term history of the series. This is to be distinguished from the more traditional dynamic linear models that vary by windowing time.
As an illustration of local likelihood, we consider the local version of the multiclass linear logistic regression model (4.36) of Chapter 4. The data consist of features xi and an associated categorical response gi ∈ {1, 2,…,J}, and the linear model has the form
\[\Pr(G = j | X = x) = \frac{e^{\beta\_{j0} + \beta\_j^T x}}{1 + \sum\_{k=1}^{J-1} e^{\beta\_{k0} + \beta\_k^T x}}. \tag{6.18}\]
The local log-likelihood for this J class model can be written
\[\begin{split} \sum\_{i=1}^{N} K\_{\lambda}(x\_0, x\_i) \left\{ \beta\_{g\_i 0}(x\_0) + \beta\_{g\_i}(x\_0)^T (x\_i - x\_0) \\ \qquad \qquad \qquad \qquad \quad - \log \left[ 1 + \sum\_{k=1}^{J-1} \exp \left( \beta\_{k0}(x\_0) + \beta\_k(x\_0)^T (x\_i - x\_0) \right) \right] \right\}. \end{split} \tag{6.19}\]
Notice that
- we have used gi as a subscript in the first line to pick out the appropriate numerator;
- βJ0 = 0 and βJ = 0 by the definition of the model;
- we have centered the local regressions at x0, so that the fitted posterior probabilities at x0 are simply
\[\hat{\Pr}(G=j|X=x\_0) = \frac{e^{\beta\_{j0}(x\_0)}}{1 + \sum\_{k=1}^{J-1} e^{\beta\_{k0}(x\_0)}}.\tag{6.20}\]

FIGURE 6.12. Each plot shows the binary response CHD (coronary heart disease) as a function of a risk factor for the South African heart disease data. For each plot we have computed the fitted prevalence of CHD using a local linear logistic regression model. The unexpected increase in the prevalence of CHD at the lower ends of the ranges is because these are retrospective data, and some of the subjects had already undergone treatment to reduce their blood pressure and weight. The shaded region in the plot indicates an estimated pointwise standard error band.
This model can be used for flexible multiclass classification in moderately low dimensions, although successes have been reported with the highdimensional ZIP-code classification problem. Generalized additive models (Chapter 9) using kernel smoothing methods are closely related, and avoid dimensionality problems by assuming an additive structure for the regression function.
As a simple illustration we fit a two-class local linear logistic model to the heart disease data of Chapter 4. Figure 6.12 shows the univariate local logistic models fit to two of the risk factors (separately). This is a useful screening device for detecting nonlinearities, when the data themselves have little visual information to offer. In this case an unexpected anomaly is uncovered in the data, which may have gone unnoticed with traditional methods.
Since CHD is a binary indicator, we could estimate the conditional prevalence Pr(G = j|x0) by simply smoothing this binary response directly without resorting to a likelihood formulation. This amounts to fitting a locally constant logistic regression model (Exercise 6.5). In order to enjoy the biascorrection of local-linear smoothing, it is more natural to operate on the unrestricted logit scale.
Typically with logistic regression, we compute parameter estimates as well as their standard errors. This can be done locally as well, and so

FIGURE 6.13. A kernel density estimate for systolic blood pressure (for the CHD group). The density estimate at each point is the average contribution from each of the kernels at that point. We have scaled the kernels down by a factor of 10 to make the graph readable.
we can produce, as shown in the plot, estimated pointwise standard-error bands about our fitted prevalence.
6.6 Kernel Density Estimation and Classification
Kernel density estimation is an unsupervised learning procedure, which historically precedes kernel regression. It also leads naturally to a simple family of procedures for nonparametric classification.
6.6.1 Kernel Density Estimation
Suppose we have a random sample x1,…,xN drawn from a probability density fX(x), and we wish to estimate fX at a point x0. For simplicity we assume for now that X ∈ IR. Arguing as before, a natural local estimate has the form
\[\hat{f}\_X(x\_0) = \frac{\#x\_i \in \mathcal{N}(x\_0)}{N\lambda},\tag{6.21}\]
where N (x0) is a small metric neighborhood around x0 of width λ. This estimate is bumpy, and the smooth Parzen estimate is preferred
\[\hat{f}\_X(x\_0) = \frac{1}{N\lambda} \sum\_{i=1}^N K\_\lambda(x\_0, x\_i),\tag{6.22}\]

FIGURE 6.14. The left panel shows the two separate density estimates for systolic blood pressure in the CHD versus no-CHD groups, using a Gaussian kernel density estimate in each. The right panel shows the estimated posterior probabilities for CHD, using (6.25).
because it counts observations close to x0 with weights that decrease with distance from x0. In this case a popular choice for Kλ is the Gaussian kernel Kλ(x0, x) = φ(|x − x0|/λ). Figure 6.13 shows a Gaussian kernel density fit to the sample values for systolic blood pressure for the CHD group. Letting φλ denote the Gaussian density with mean zero and standard-deviation λ, then (6.22) has the form
\[\begin{aligned} \hat{f}\_X(x) &= \frac{1}{N} \sum\_{i=1}^N \phi\_\lambda(x - x\_i) \\ &= \quad (\hat{F} \star \phi\_\lambda)(x), \end{aligned} \tag{6.23}\]
the convolution of the sample empirical distribution Fˆ with φλ. The distribution Fˆ(x) puts mass 1/N at each of the observed xi, and is jumpy; in ˆfX(x) we have smoothed Fˆ by adding independent Gaussian noise to each observation xi.
The Parzen density estimate is the equivalent of the local average, and improvements have been proposed along the lines of local regression [on the log scale for densities; see Loader (1999)]. We will not pursue these here. In IRp the natural generalization of the Gaussian density estimate amounts to using the Gaussian product kernel in (6.23),
\[\hat{f}\_X(x\_0) = \frac{1}{N(2\lambda^2\pi)^{\frac{p}{2}}} \sum\_{i=1}^N e^{-\frac{1}{2}(||x\_i - x\_0||/\lambda)^2}.\tag{6.24}\]
210 6. Kernel Smoothing Methods

FIGURE 6.15. The population class densities may have interesting structure (left) that disappears when the posterior probabilities are formed (right).
6.6.2 Kernel Density Classification
One can use nonparametric density estimates for classification in a straightforward fashion using Bayes’ theorem. Suppose for a J class problem we fit nonparametric density estimates ˆfj (X), j = 1,…,J separately in each of the classes, and we also have estimates of the class priors ˆπj (usually the sample proportions). Then
\[\hat{\Pr}(G=j|X=x\_0) = \frac{\hat{\pi}\_j \hat{f}\_j(x\_0)}{\sum\_{k=1}^{J} \hat{\pi}\_k \hat{f}\_k(x\_0)}.\tag{6.25}\]
Figure 6.14 uses this method to estimate the prevalence of CHD for the heart risk factor study, and should be compared with the left panel of Figure 6.12. The main difference occurs in the region of high SBP in the right panel of Figure 6.14. In this region the data are sparse for both classes, and since the Gaussian kernel density estimates use metric kernels, the density estimates are low and of poor quality (high variance) in these regions. The local logistic regression method (6.20) uses the tri-cube kernel with k-NN bandwidth; this effectively widens the kernel in this region, and makes use of the local linear assumption to smooth out the estimate (on the logit scale).
If classification is the ultimate goal, then learning the separate class densities well may be unnecessary, and can in fact be misleading. Figure 6.15 shows an example where the densities are both multimodal, but the posterior ratio is quite smooth. In learning the separate densities from data, one might decide to settle for a rougher, high-variance fit to capture these features, which are irrelevant for the purposes of estimating the posterior probabilities. In fact, if classification is the ultimate goal, then we need only to estimate the posterior well near the decision boundary (for two classes, this is the set {x|Pr(G = 1|X = x) = 1 2 }).
6.6.3 The Naive Bayes Classifier
This is a technique that has remained popular over the years, despite its name (also known as “Idiot’s Bayes”!) It is especially appropriate when the dimension p of the feature space is high, making density estimation unattractive. The naive Bayes model assumes that given a class G = j, the features Xk are independent:
\[f\_j(X) = \prod\_{k=1}^p f\_{jk}(X\_k). \tag{6.26}\]
While this assumption is generally not true, it does simplify the estimation dramatically:
- The individual class-conditional marginal densities fjk can each be estimated separately using one-dimensional kernel density estimates. This is in fact a generalization of the original naive Bayes procedures, which used univariate Gaussians to represent these marginals.
- If a component Xj of X is discrete, then an appropriate histogram estimate can be used. This provides a seamless way of mixing variable types in a feature vector.
Despite these rather optimistic assumptions, naive Bayes classifiers often outperform far more sophisticated alternatives. The reasons are related to Figure 6.15: although the individual class density estimates may be biased, this bias might not hurt the posterior probabilities as much, especially near the decision regions. In fact, the problem may be able to withstand considerable bias for the savings in variance such a “naive” assumption earns.
Starting from (6.26) we can derive the logit-transform (using class J as the base):
\[\begin{split} \log \frac{\Pr(G = \ell | X)}{\Pr(G = J | X)} &= \log \frac{\pi\_{\ell} f\_{\ell}(X)}{\pi\_{J} f\_{J}(X)} \\ &= \log \frac{\pi\_{\ell} \prod\_{k=1}^{p} f\_{\ell k}(X\_{k})}{\pi\_{J} \prod\_{k=1}^{p} f\_{Jk}(X\_{k})} \\ &= \log \frac{\pi\_{\ell}}{\pi\_{J}} + \sum\_{k=1}^{p} \log \frac{f\_{\ell k}(X\_{k})}{f\_{Jk}(X\_{k})} \\ &= \alpha\_{\ell} + \sum\_{k=1}^{p} g\_{\ell k}(X\_{k}). \end{split} \tag{6.27}\]
This has the form of a generalized additive model, which is described in more detail in Chapter 9. The models are fit in quite different ways though; their differences are explored in Exercise 6.9. The relationship between naive Bayes and generalized additive models is analogous to that between linear discriminant analysis and logistic regression (Section 4.4.5).
212 6. Kernel Smoothing Methods
6.7 Radial Basis Functions and Kernels
In Chapter 5, functions are represented as expansions in basis functions: f(x) = (M j=1 βjhj (x). The art of flexible modeling using basis expansions consists of picking an appropriate family of basis functions, and then controlling the complexity of the representation by selection, regularization, or both. Some of the families of basis functions have elements that are defined locally; for example, B-splines are defined locally in IR. If more flexibility is desired in a particular region, then that region needs to be represented by more basis functions (which in the case of B-splines translates to more knots). Tensor products of IR-local basis functions deliver basis functions local in IRp. Not all basis functions are local—for example, the truncated power bases for splines, or the sigmoidal basis functions σ(α0 + αx) used in neural-networks (see Chapter 11). The composed function f(x) can nevertheless show local behavior, because of the particular signs and values of the coefficients causing cancellations of global effects. For example, the truncated power basis has an equivalent B-spline basis for the same space of functions; the cancellation is exact in this case.
Kernel methods achieve flexibility by fitting simple models in a region local to the target point x0. Localization is achieved via a weighting kernel Kλ, and individual observations receive weights Kλ(x0, xi).
Radial basis functions combine these ideas, by treating the kernel functions Kλ(ξ, x) as basis functions. This leads to the model
\[\begin{aligned} f(x) &= \sum\_{j=1}^{M} K\_{\lambda\_j}(\xi\_j, x)\beta\_j \\ &= \sum\_{j=1}^{M} D\left(\frac{||x - \xi\_j||}{\lambda\_j}\right)\beta\_j,\end{aligned} \tag{6.28}\]
where each basis element is indexed by a location or prototype parameter ξj and a scale parameter λj . A popular choice for D is the standard Gaussian density function. There are several approaches to learning the parameters {λj , ξj , βj}, j = 1,…,M. For simplicity we will focus on least squares methods for regression, and use the Gaussian kernel.
• Optimize the sum-of-squares with respect to all the parameters:
\[\min\_{\{\lambda\_{j},\xi\_{j},\beta\_{j}\}\_{1}^{M}} \sum\_{i=1}^{N} \left( y\_{i} - \beta\_{0} - \sum\_{j=1}^{M} \beta\_{j} \exp\left\{ -\frac{(x\_{i} - \xi\_{j})^{T}(x\_{i} - \xi\_{j})}{\lambda\_{j}^{2}} \right\} \right)^{2} . \tag{6.29}\]
This model is commonly referred to as an RBF network, an alternative to the sigmoidal neural network discussed in Chapter 11; the ξj and λj playing the role of the weights. This criterion is nonconvex

FIGURE 6.16. Gaussian radial basis functions in IR with fixed width can leave holes (top panel). Renormalized Gaussian radial basis functions avoid this problem, and produce basis functions similar in some respects to B-splines.
with multiple local minima, and the algorithms for optimization are similar to those used for neural networks.
• Estimate the {λj , ξj} separately from the βj . Given the former, the estimation of the latter is a simple least squares problem. Often the kernel parameters λj and ξj are chosen in an unsupervised way using the X distribution alone. One of the methods is to fit a Gaussian mixture density model to the training xi, which provides both the centers ξj and the scales λj . Other even more adhoc approaches use clustering methods to locate the prototypes ξj , and treat λj = λ as a hyper-parameter. The obvious drawback of these approaches is that the conditional distribution Pr(Y |X) and in particular E(Y |X) is having no say in where the action is concentrated. On the positive side, they are much simpler to implement.
While it would seem attractive to reduce the parameter set and assume a constant value for λj = λ, this can have an undesirable side effect of creating holes—regions of IRp where none of the kernels has appreciable support, as illustrated in Figure 6.16 (upper panel). Renormalized radial basis functions,
\[h\_j(x) = \frac{D(||x - \xi\_j||/\lambda)}{\sum\_{k=1}^{M} D(||x - \xi\_k||/\lambda)},\tag{6.30}\]
avoid this problem (lower panel).
The Nadaraya–Watson kernel regression estimator (6.2) in IRp can be viewed as an expansion in renormalized radial basis functions,
\[\begin{split} \hat{f}(x\_0) &= \sum\_{i=1}^N y\_i \frac{K\_\lambda(x\_0, x\_i)}{\sum\_{i=1}^N K\_\lambda(x\_0, x\_i)} \\ &= \sum\_{i=1}^N y\_i h\_i(x\_0) \end{split} \tag{6.31}\]
214 6. Kernel Smoothing Methods
with a basis function hi located at every observation and coefficients yi; that is, ξi = xi, βˆi = yi, i = 1,…,N.
Note the similarity between the expansion (6.31) and the solution (5.50) on page 169 to the regularization problem induced by the kernel K. Radial basis functions form the bridge between the modern “kernel methods” and local fitting technology.
6.8 Mixture Models for Density Estimation and Classification
The mixture model is a useful tool for density estimation, and can be viewed as a kind of kernel method. The Gaussian mixture model has the form
\[f(x) = \sum\_{m=1}^{M} \alpha\_m \phi(x; \mu\_m, \Sigma\_m) \tag{6.32}\]
with mixing proportions αm, ( m αm = 1, and each Gaussian density has a mean µm and covariance matrix Σm. In general, mixture models can use any component densities in place of the Gaussian in (6.32): the Gaussian mixture model is by far the most popular.
The parameters are usually fit by maximum likelihood, using the EM algorithm as described in Chapter 8. Some special cases arise:
- If the covariance matrices are constrained to be scalar: Σm = σmI, then (6.32) has the form of a radial basis expansion.
- If in addition σm = σ > 0 is fixed, and M ↑ N, then the maximum likelihood estimate for (6.32) approaches the kernel density estimate (6.22) where ˆαm = 1/N and ˆµm = xm.
Using Bayes’ theorem, separate mixture densities in each class lead to flexible models for Pr(G|X); this is taken up in some detail in Chapter 12.
Figure 6.17 shows an application of mixtures to the heart disease riskfactor study. In the top row are histograms of Age for the no CHD and CHD groups separately, and then combined on the right. Using the combined data, we fit a two-component mixture of the form (6.32) with the (scalars) Σ1 and Σ2 not constrained to be equal. Fitting was done via the EM algorithm (Chapter 8): note that the procedure does not use knowledge of the CHD labels. The resulting estimates were
\[\begin{array}{ccc} \hat{\mu}\_1 = 36.4, & \hat{\Sigma}\_1 = 157.7, & \hat{\alpha}\_1 = 0.7, \\ \hat{\mu}\_2 = 58.0, & \hat{\Sigma}\_2 = 15.6, & \hat{\alpha}\_2 = 0.3. \end{array}\]
The component densities φ(ˆµ1, Σˆ 1) and φ(ˆµ2, Σˆ 2) are shown in the lowerleft and middle panels. The lower-right panel shows these component densities (orange and blue) along with the estimated mixture density (green).

FIGURE 6.17. Application of mixtures to the heart disease risk-factor study. (Top row:) Histograms of Age for the no CHD and CHD groups separately, and combined. (Bottom row:) estimated component densities from a Gaussian mixture model, (bottom left, bottom middle); (bottom right:) Estimated component densities (blue and orange) along with the estimated mixture density (green). The orange density has a very large standard deviation, and approximates a uniform density.
The mixture model also provides an estimate of the probability that observation i belongs to component m,
\[\hat{r}\_{im} = \frac{\hat{\alpha}\_m \phi(x\_i; \hat{\mu}\_m, \hat{\Sigma}\_m)}{\sum\_{k=1}^M \hat{\alpha}\_k \phi(x\_i; \hat{\mu}\_k, \hat{\Sigma}\_k)},\tag{6.33}\]
where xi is Age in our example. Suppose we threshold each value ˆri2 and hence define ˆδi = I(ˆri2 > 0.5). Then we can compare the classification of each observation by CHD and the mixture model:
\[ \begin{array}{c|cc} & \text{Mixure model} \\ & \hat{\delta} = 0 & \hat{\delta} = 1 \\ \hline \text{CHD} & \text{No} & 232 & 70 \\ & \text{Yes} & 76 & 84 \\ \end{array} \]
Although the mixture model did not use the CHD labels, it has done a fair job in discovering the two CHD subpopulations. Linear logistic regression, using the CHD as a response, achieves the same error rate (32%) when fit to these data using maximum-likelihood (Section 4.4).
216 6. Kernel Smoothing Methods
6.9 Computational Considerations
Kernel and local regression and density estimation are memory-based methods: the model is the entire training data set, and the fitting is done at evaluation or prediction time. For many real-time applications, this can make this class of methods infeasible.
The computational cost to fit at a single observation x0 is O(N) flops, except in oversimplified cases (such as square kernels). By comparison, an expansion in M basis functions costs O(M) for one evaluation, and typically M ∼ O(log N). Basis function methods have an initial cost of at least O(NM2 + M3).
The smoothing parameter(s) λ for kernel methods are typically determined off-line, for example using cross-validation, at a cost of O(N2) flops.
Popular implementations of local regression, such as the loess function in S-PLUS and R and the locfit procedure (Loader, 1999), use triangulation schemes to reduce the computations. They compute the fit exactly at M carefully chosen locations (O(NM)), and then use blending techniques to interpolate the fit elsewhere (O(M) per evaluation).
Bibliographic Notes
There is a vast literature on kernel methods which we will not attempt to summarize. Rather we will point to a few good references that themselves have extensive bibliographies. Loader (1999) gives excellent coverage of local regression and likelihood, and also describes state-of-the-art software for fitting these models. Fan and Gijbels (1996) cover these models from a more theoretical aspect. Hastie and Tibshirani (1990) discuss local regression in the context of additive modeling. Silverman (1986) gives a good overview of density estimation, as does Scott (1992).
Exercises
Ex. 6.1 Show that the Nadaraya–Watson kernel smooth with fixed metric bandwidth λ and a Gaussian kernel is differentiable. What can be said for the Epanechnikov kernel? What can be said for the Epanechnikov kernel with adaptive nearest-neighbor bandwidth λ(x0)?
Ex. 6.2 Show that (N i=1(xi−x0)li(x0) = 0 for local linear regression. Define bj (x0) = (N i=1(xi − x0)j li(x0). Show that b0(x0) = 1 for local polynomial regression of any degree (including local constants). Show that bj (x0)=0 for all j ∈ {1, 2,…,k} for local polynomial regression of degree k. What are the implications of this on the bias?
Ex. 6.3 Show that ||l(x)|| (Section 6.1.2) increases with the degree of the local polynomial.
Ex. 6.4 Suppose that the p predictors X arise from sampling relatively smooth analog curves at p uniformly spaced abscissa values. Denote by Cov(X|Y ) = Σ the conditional covariance matrix of the predictors, and assume this does not change much with Y . Discuss the nature of Mahalanobis choice A = Σ−1 for the metric in (6.14). How does this compare with A = I? How might you construct a kernel A that (a) downweights high-frequency components in the distance metric; (b) ignores them completely?
Ex. 6.5 Show that fitting a locally constant multinomial logit model of the form (6.19) amounts to smoothing the binary response indicators for each class separately using a Nadaraya–Watson kernel smoother with kernel weights Kλ(x0, xi).
Ex. 6.6 Suppose that all you have is software for fitting local regression, but you can specify exactly which monomials are included in the fit. How could you use this software to fit a varying-coefficient model in some of the variables?
Ex. 6.7 Derive an expression for the leave-one-out cross-validated residual sum-of-squares for local polynomial regression.
Ex. 6.8 Suppose that for continuous response Y and predictor X, we model the joint density of X, Y using a multivariate Gaussian kernel estimator. Note that the kernel in this case would be the product kernel φλ(X)φλ(Y ). Show that the conditional mean E(Y |X) derived from this estimate is a Nadaraya–Watson estimator. Extend this result to classification by providing a suitable kernel for the estimation of the joint distribution of a continuous X and discrete Y .
Ex. 6.9 Explore the differences between the naive Bayes model (6.27) and a generalized additive logistic regression model, in terms of (a) model assumptions and (b) estimation. If all the variables Xk are discrete, what can you say about the corresponding GAM?
Ex. 6.10 Suppose we have N samples generated from the model yi = f(xi)+ εi, with εi independent and identically distributed with mean zero and variance σ2, the xi assumed fixed (non random). We estimate f using a linear smoother (local regression, smoothing spline, etc.) with smoothing parameter λ. Thus the vector of fitted values is given by ˆf = Sλy. Consider the in-sample prediction error
\[\text{PE}(\lambda) = \text{E}\frac{1}{N}\sum\_{i=1}^{N}(y\_i^\* - \hat{f}\_\lambda(x\_i))^2\tag{6.34}\]
218 6. Kernel Smoothing Methods
for predicting new responses at the N input values. Show that the average squared residual on the training data, ASR(λ), is a biased estimate (optimistic) for PE(λ), while
\[C\_{\lambda} = \text{ASR}(\lambda) + \frac{2\sigma^2}{N} \text{trace}(\mathbf{S}\_{\lambda}) \tag{6.35}\]
is unbiased.
Ex. 6.11 Show that for the Gaussian mixture model (6.32) the likelihood is maximized at +∞, and describe how.
Ex. 6.12 Write a computer program to perform a local linear discriminant analysis. At each query point x0, the training data receive weights Kλ(x0, xi) from a weighting kernel, and the ingredients for the linear decision boundaries (see Section 4.3) are computed by weighted averages. Try out your program on the zipcode data, and show the training and test errors for a series of five pre-chosen values of λ. The zipcode data are available from the book website www-stat.stanford.edu/ElemStatLearn.
This is page 219 Printer: Opaque this
7 Model Assessment and Selection
7.1 Introduction
The generalization performance of a learning method relates to its prediction capability on independent test data. Assessment of this performance is extremely important in practice, since it guides the choice of learning method or model, and gives us a measure of the quality of the ultimately chosen model.
In this chapter we describe and illustrate the key methods for performance assessment, and show how they are used to select models. We begin the chapter with a discussion of the interplay between bias, variance and model complexity.
7.2 Bias, Variance and Model Complexity
Figure 7.1 illustrates the important issue in assessing the ability of a learning method to generalize. Consider first the case of a quantitative or interval scale response. We have a target variable Y , a vector of inputs X, and a prediction model ˆf(X) that has been estimated from a training set T . The loss function for measuring errors between Y and ˆf(X) is denoted by L(Y, ˆf(X)). Typical choices are
\[L(Y, \hat{f}(X)) = \begin{cases} (Y - \hat{f}(X))^2 & \text{squared error} \\ |Y - \hat{f}(X)| & \text{absolute error} \end{cases} \tag{7.1}\]

FIGURE 7.1. Behavior of test sample and training sample error as the model complexity is varied. The light blue curves show the training error err, while the light red curves show the conditional test error ErrT for 100 training sets of size 50 each, as the model complexity is increased. The solid curves show the expected test error Err and the expected training error E[err].
Test error, also referred to as generalization error, is the prediction error over an independent test sample
\[\text{Err}\_T = \text{E}[L(Y, \hat{f}(X)) | T] \tag{7.2}\]
where both X and Y are drawn randomly from their joint distribution (population). Here the training set T is fixed, and test error refers to the error for this specific training set. A related quantity is the expected prediction error (or expected test error)
\[\text{Err} = \text{E}[L(Y, \hat{f}(X))] = \text{E}[\text{Err}\_T]. \tag{7.3}\]
Note that this expectation averages over everything that is random, including the randomness in the training set that produced ˆf.
Figure 7.1 shows the prediction error (light red curves) ErrT for 100 simulated training sets each of size 50. The lasso (Section 3.4.2) was used to produce the sequence of fits. The solid red curve is the average, and hence an estimate of Err.
Estimation of ErrT will be our goal, although we will see that Err is more amenable to statistical analysis, and most methods effectively estimate the expected error. It does not seem possible to estimate conditional error effectively, given only the information in the same training set. Some discussion of this point is given in Section 7.12.
Training error is the average loss over the training sample
\[\overline{\text{err}} = \frac{1}{N} \sum\_{i=1}^{N} L(y\_i, \hat{f}(x\_i)). \tag{7.4}\]
We would like to know the expected test error of our estimated model ˆf. As the model becomes more and more complex, it uses the training data more and is able to adapt to more complicated underlying structures. Hence there is a decrease in bias but an increase in variance. There is some intermediate model complexity that gives minimum expected test error.
Unfortunately training error is not a good estimate of the test error, as seen in Figure 7.1. Training error consistently decreases with model complexity, typically dropping to zero if we increase the model complexity enough. However, a model with zero training error is overfit to the training data and will typically generalize poorly.
The story is similar for a qualitative or categorical response G taking one of K values in a set G, labeled for convenience as 1, 2,…,K. Typically we model the probabilities pk(X) = Pr(G = k|X) (or some monotone transformations fk(X)), and then Gˆ(X) = arg maxk pˆk(X). In some cases, such as 1-nearest neighbor classification (Chapters 2 and 13) we produce Gˆ(X) directly. Typical loss functions are
\[L(G, \hat{G}(X)) \quad = \quad I(G \neq \hat{G}(X)) \quad \text{(0-1 loss)}, \tag{7.5}\]
\[L(G, \hat{p}(X)) \quad = \quad -2\sum\_{k=1}^{K} I(G = k) \log \hat{p}\_k(X)\]
\[= -2\log \hat{p}\_G(X) \quad \text{( $-2 \times \text{log-likelihood}$ )}.\tag{7.6}\]
The quantity −2 × the log-likelihood is sometimes referred to as the deviance.
Again, test error here is ErrT = E[L(G, Gˆ(X))|T ], the population misclassification error of the classifier trained on T , and Err is the expected misclassification error.
Training error is the sample analogue, for example,
\[\overline{\text{err}} = -\frac{2}{N} \sum\_{i=1}^{N} \log \hat{p}\_{g\_i}(x\_i),\tag{7.7}\]
the sample log-likelihood for the model.
The log-likelihood can be used as a loss-function for general response densities, such as the Poisson, gamma, exponential, log-normal and others. If Prθ(X)(Y ) is the density of Y , indexed by a parameter θ(X) that depends on the predictor X, then
\[L(Y, \theta(X)) = -2 \cdot \log \text{Pr}\_{\theta(X)}(Y). \tag{7.8}\]
222 7. Model Assessment and Selection
The “−2” in the definition makes the log-likelihood loss for the Gaussian distribution match squared-error loss.
For ease of exposition, for the remainder of this chapter we will use Y and f(X) to represent all of the above situations, since we focus mainly on the quantitative response (squared-error loss) setting. For the other situations, the appropriate translations are obvious.
In this chapter we describe a number of methods for estimating the expected test error for a model. Typically our model will have a tuning parameter or parameters α and so we can write our predictions as ˆfα(x). The tuning parameter varies the complexity of our model, and we wish to find the value of α that minimizes error, that is, produces the minimum of the average test error curve in Figure 7.1. Having said this, for brevity we will often suppress the dependence of ˆf(x) on α.
It is important to note that there are in fact two separate goals that we might have in mind:
- Model selection: estimating the performance of different models in order to choose the best one.
- Model assessment: having chosen a final model, estimating its prediction error (generalization error) on new data.
If we are in a data-rich situation, the best approach for both problems is to randomly divide the dataset into three parts: a training set, a validation set, and a test set. The training set is used to fit the models; the validation set is used to estimate prediction error for model selection; the test set is used for assessment of the generalization error of the final chosen model. Ideally, the test set should be kept in a “vault,” and be brought out only at the end of the data analysis. Suppose instead that we use the test-set repeatedly, choosing the model with smallest test-set error. Then the test set error of the final chosen model will underestimate the true test error, sometimes substantially.
It is difficult to give a general rule on how to choose the number of observations in each of the three parts, as this depends on the signal-tonoise ratio in the data and the training sample size. A typical split might be 50% for training, and 25% each for validation and testing:

The methods in this chapter are designed for situations where there is insufficient data to split it into three parts. Again it is too difficult to give a general rule on how much training data is enough; among other things, this depends on the signal-to-noise ratio of the underlying function, and the complexity of the models being fit to the data.
The methods of this chapter approximate the validation step either analytically (AIC, BIC, MDL, SRM) or by efficient sample re-use (crossvalidation and the bootstrap). Besides their use in model selection, we also examine to what extent each method provides a reliable estimate of test error of the final chosen model.
Before jumping into these topics, we first explore in more detail the nature of test error and the bias–variance tradeoff.
7.3 The Bias–Variance Decomposition
As in Chapter 2, if we assume that Y = f(X) + ε where E(ε) = 0 and Var(ε) = σ2 ε , we can derive an expression for the expected prediction error of a regression fit ˆf(X) at an input point X = x0, using squared-error loss:
\[\begin{aligned} \text{Err}(x\_0) &= \quad E[(Y - \hat{f}(x\_0))^2 | X = x\_0] \\ &= \quad \sigma\_\varepsilon^2 + [\text{E}\hat{f}(x\_0) - f(x\_0)]^2 + E[\hat{f}(x\_0) - \text{E}\hat{f}(x\_0)]^2 \\ &= \quad \sigma\_\varepsilon^2 + \text{Bias}^2(\hat{f}(x\_0)) + \text{Var}(\hat{f}(x\_0)) \\ &= \quad \text{Irreducible Error} + \text{Bias}^2 + \text{Variance}. \end{aligned} \tag{7.9}\]
The first term is the variance of the target around its true mean f(x0), and cannot be avoided no matter how well we estimate f(x0), unless σ2 ε = 0. The second term is the squared bias, the amount by which the average of our estimate differs from the true mean; the last term is the variance; the expected squared deviation of ˆf(x0) around its mean. Typically the more complex we make the model ˆf, the lower the (squared) bias but the higher the variance.
For the k-nearest-neighbor regression fit, these expressions have the simple form
\[\begin{aligned} \text{Err}(x\_0) &= \quad E[(Y - \hat{f}\_k(x\_0))^2 | X = x\_0] \\ &= \quad \sigma\_\varepsilon^2 + \left[ f(x\_0) - \frac{1}{k} \sum\_{\ell=1}^k f(x\_{(\ell)}) \right]^2 + \frac{\sigma\_\varepsilon^2}{k} . \end{aligned} \tag{7.10}\]
Here we assume for simplicity that training inputs xi are fixed, and the randomness arises from the yi. The number of neighbors k is inversely related to the model complexity. For small k, the estimate ˆfk(x) can potentially adapt itself better to the underlying f(x). As we increase k, the bias—the squared difference between f(x0) and the average of f(x) at the k-nearest neighbors—will typically increase, while the variance decreases.
For a linear model fit ˆfp(x) = xT βˆ, where the parameter vector β with p components is fit by least squares, we have
\[\operatorname{Err}(x\_0) \quad = \quad E[(Y - \hat{f}\_p(x\_0))^2 | X = x\_0]^2\]
224 7. Model Assessment and Selection
\[=\left.\sigma\_{\varepsilon}^{2} + [f(x\_{0}) - \mathrm{E}\hat{f}\_{p}(x\_{0})]^{2} + ||\mathbf{h}(x\_{0})||^{2}\sigma\_{\varepsilon}^{2}.\right. \tag{7.11}\]
Here h(x0) = X(XT X)−1x0, the N-vector of linear weights that produce the fit ˆfp(x0) = x0 T (XT X)−1XT y, and hence Var[ ˆfp(x0)] = ||h(x0)||2σ2 ε . While this variance changes with x0, its average (with x0 taken to be each of the sample values xi) is (p/N)σ2 ε , and hence
\[\frac{1}{N}\sum\_{i=1}^{N}\text{Err}(x\_i) = \sigma\_\varepsilon^2 + \frac{1}{N}\sum\_{i=1}^{N}[f(x\_i) - \text{E}\hat{f}(x\_i)]^2 + \frac{p}{N}\sigma\_\varepsilon^2,\tag{7.12}\]
the in-sample error. Here model complexity is directly related to the number of parameters p.
The test error Err(x0) for a ridge regression fit ˆfα(x0) is identical in form to (7.11), except the linear weights in the variance term are different: h(x0) = X(XT X + αI)T x0. The bias term will also be different.
For a linear model family such as ridge regression, we can break down the bias more finely. Let β∗ denote the parameters of the best-fitting linear approximation to f:
\[\beta\_\* = \arg\min\_{\beta} \mathbb{E}\left(f(X) - X^T \beta\right)^2. \tag{7.13}\]
Here the expectation is taken with respect to the distribution of the input variables X. Then we can write the average squared bias as
\[\mathrm{E}\_{x\_0}\left[f(x\_0) - \mathrm{E}\hat{f}\_{\alpha}(x\_0)\right]^2 = \left[\mathrm{E}\_{x\_0}\left[f(x\_0) - x\_0^T\beta\_\*\right]^2 + \mathrm{E}\_{x\_0}\left[x\_0^T\beta\_\* - \mathrm{E}x\_0^T\beta\_\alpha\right]\right]^2\]
\[= \mathrm{Ave}[\mathrm{Model Bias}]^2 + \mathrm{Ave}[\mathrm{Estimation Bias}]^2 \tag{7.14}\]
The first term on the right-hand side is the average squared model bias, the error between the best-fitting linear approximation and the true function. The second term is the average squared estimation bias, the error between the average estimate E(xT 0 βˆ) and the best-fitting linear approximation.
For linear models fit by ordinary least squares, the estimation bias is zero. For restricted fits, such as ridge regression, it is positive, and we trade it off with the benefits of a reduced variance. The model bias can only be reduced by enlarging the class of linear models to a richer collection of models, by including interactions and transformations of the variables in the model.
Figure 7.2 shows the bias–variance tradeoff schematically. In the case of linear models, the model space is the set of all linear predictions from p inputs and the black dot labeled “closest fit” is xT β∗. The blue-shaded region indicates the error σε with which we see the truth in the training sample.
Also shown is the variance of the least squares fit, indicated by the large yellow circle centered at the black dot labeled “closest fit in population,’

FIGURE 7.2. Schematic of the behavior of bias and variance. The model space is the set of all possible predictions from the model, with the “closest fit” labeled with a black dot. The model bias from the truth is shown, along with the variance, indicated by the large yellow circle centered at the black dot labeled “closest fit in population.” A shrunken or regularized fit is also shown, having additional estimation bias, but smaller prediction error due to its decreased variance.
226 7. Model Assessment and Selection
Now if we were to fit a model with fewer predictors, or regularize the coefficients by shrinking them toward zero (say), we would get the “shrunken fit” shown in the figure. This fit has an additional estimation bias, due to the fact that it is not the closest fit in the model space. On the other hand, it has smaller variance. If the decrease in variance exceeds the increase in (squared) bias, then this is worthwhile.
7.3.1 Example: Bias–Variance Tradeoff
Figure 7.3 shows the bias–variance tradeoff for two simulated examples. There are 80 observations and 20 predictors, uniformly distributed in the hypercube [0, 1]20. The situations are as follows:
- Left panels: Y is 0 if X1 ≤ 1/2 and 1 if X1 > 1/2, and we apply k-nearest neighbors.
- Right panels: Y is 1 if (10 j=1 Xj is greater than 5 and 0 otherwise, and we use best subset linear regression of size p.
The top row is regression with squared error loss; the bottom row is classification with 0–1 loss. The figures show the prediction error (red), squared bias (green) and variance (blue), all computed for a large test sample.
In the regression problems, bias and variance add to produce the prediction error curves, with minima at about k = 5 for k-nearest neighbors, and p ≥ 10 for the linear model. For classification loss (bottom figures), some interesting phenomena can be seen. The bias and variance curves are the same as in the top figures, and prediction error now refers to misclassification rate. We see that prediction error is no longer the sum of squared bias and variance. For the k-nearest neighbor classifier, prediction error decreases or stays the same as the number of neighbors is increased to 20, despite the fact that the squared bias is rising. For the linear model classifier the minimum occurs for p ≥ 10 as in regression, but the improvement over the p = 1 model is more dramatic. We see that bias and variance seem to interact in determining prediction error.
Why does this happen? There is a simple explanation for the first phenomenon. Suppose at a given input point, the true probability of class 1 is 0.9 while the expected value of our estimate is 0.6. Then the squared bias— (0.6−0.9)2—is considerable, but the prediction error is zero since we make the correct decision. In other words, estimation errors that leave us on the right side of the decision boundary don’t hurt. Exercise 7.2 demonstrates this phenomenon analytically, and also shows the interaction effect between bias and variance.
The overall point is that the bias–variance tradeoff behaves differently for 0–1 loss than it does for squared error loss. This in turn means that the best choices of tuning parameters may differ substantially in the two

FIGURE 7.3. Expected prediction error (orange), squared bias (green) and variance (blue) for a simulated example. The top row is regression with squared error loss; the bottom row is classification with 0–1 loss. The models are k-nearest neighbors (left) and best subset regression of size p (right). The variance and bias curves are the same in regression and classification, but the prediction error curve is different.
settings. One should base the choice of tuning parameter on an estimate of prediction error, as described in the following sections.
7.4 Optimism of the Training Error Rate
Discussions of error rate estimation can be confusing, because we have to make clear which quantities are fixed and which are random1. Before we continue, we need a few definitions, elaborating on the material of Section 7.2. Given a training set T = {(x1, y1),(x2, y2),…(xN , yN )} the generalization error of a model ˆf is
\[\text{Err}\_{\mathcal{T}} = \text{E}\_{X^0, Y^0} [L(Y^0, \hat{f}(X^0)) | \mathcal{T}];\tag{7.15}\]
Note that the training set T is fixed in expression (7.15). The point (X0, Y 0) is a new test data point, drawn from F, the joint distribution of the data. Averaging over training sets T yields the expected error
\[\text{Err} = \text{E}\_T \text{E}\_{X^0, Y^0} [L(Y^0, \hat{f}(X^0)) | T], \tag{7.16}\]
which is more amenable to statistical analysis. As mentioned earlier, it turns out that most methods effectively estimate the expected error rather than ET ; see Section 7.12 for more on this point.
Now typically, the training error
\[\overline{\text{err}} = \frac{1}{N} \sum\_{i=1}^{N} L(y\_i, \hat{f}(x\_i)) \tag{7.17}\]
will be less than the true error ErrT , because the same data is being used to fit the method and assess its error (see Exercise 2.9). A fitting method typically adapts to the training data, and hence the apparent or training error err will be an overly optimistic estimate of the generalization error ErrT .
Part of the discrepancy is due to where the evaluation points occur. The quantity ErrT can be thought of as extra-sample error, since the test input vectors don’t need to coincide with the training input vectors. The nature of the optimism in err is easiest to understand when we focus instead on the in-sample error
\[\text{Err}\_{\text{in}} = \frac{1}{N} \sum\_{i=1}^{N} \mathbb{E}\_{Y^0} [L(Y\_i^0, \hat{f}(x\_i)) | \mathcal{T}] \tag{7.18}\]
The Y 0 notation indicates that we observe N new response values at each of the training points xi, i = 1, 2,…,N. We define the optimism as
1Indeed, in the first edition of our book, this section wasn’t sufficiently clear.
the difference between Errin and the training error err:
\[\text{top} \equiv \text{Err}\_{\text{in}} - \overline{\text{err}}.\tag{7.19}\]
This is typically positive since err is usually biased downward as an estimate of prediction error. Finally, the average optimism is the expectation of the optimism over training sets
\[ \omega \equiv \mathcal{E}\_\mathbf{y}(\text{op}).\tag{7.20} \]
Here the predictors in the training set are fixed, and the expectation is over the training set outcome values; hence we have used the notation Ey instead of ET . We can usually estimate only the expected error ω rather than op, in the same way that we can estimate the expected error Err rather than the conditional error ErrT .
For squared error, 0–1, and other loss functions, one can show quite generally that
\[ \omega = \frac{2}{N} \sum\_{i=1}^{N} \text{Cov}(\hat{y}\_i, y\_i), \tag{7.21} \]
where Cov indicates covariance. Thus the amount by which err underestimates the true error depends on how strongly yi affects its own prediction. The harder we fit the data, the greater Cov(ˆyi, yi) will be, thereby increasing the optimism. Exercise 7.4 proves this result for squared error loss where yˆi is the fitted value from the regression. For 0–1 loss, ˆyi ∈ {0, 1} is the classification at xi, and for entropy loss, ˆyi ∈ [0, 1] is the fitted probability of class 1 at xi.
In summary, we have the important relation
\[\mathrm{E\_{y}(Err\_{in})} = \mathrm{E\_{y}(\overline{\mathrm{err}})} + \frac{2}{N} \sum\_{i=1}^{N} \mathrm{Cov}(\hat{y}\_{i}, y\_{i}). \tag{7.22}\]
This expression simplifies if ˆyi is obtained by a linear fit with d inputs or basis functions. For example,
\[\sum\_{i=1}^{N} \text{Cov}(\hat{y}\_i, y\_i) = d\sigma\_\varepsilon^2 \tag{7.23}\]
for the additive error model Y = f(X) + ε, and so
\[\mathbf{E\_{y}(Err\_{in}) = E\_{y}(\overline{\text{err}}) + 2 \cdot \frac{d}{N} \sigma\_{e}^{2}. \tag{7.24}\]
Expression (7.23) is the basis for the definition of the effective number of parameters discussed in Section 7.6 The optimism increases linearly with
230 7. Model Assessment and Selection
the number d of inputs or basis functions we use, but decreases as the training sample size increases. Versions of (7.24) hold approximately for other error models, such as binary data and entropy loss.
An obvious way to estimate prediction error is to estimate the optimism and then add it to the training error err. The methods described in the next section—Cp, AIC, BIC and others—work in this way, for a special class of estimates that are linear in their parameters.
In contrast, cross-validation and bootstrap methods, described later in the chapter, are direct estimates of the extra-sample error Err. These general tools can be used with any loss function, and with nonlinear, adaptive fitting techniques.
In-sample error is not usually of direct interest since future values of the features are not likely to coincide with their training set values. But for comparison between models, in-sample error is convenient and often leads to effective model selection. The reason is that the relative (rather than absolute) size of the error is what matters.
7.5 Estimates of In-Sample Prediction Error
The general form of the in-sample estimates is
\[ \widehat{\text{Err}}\_{\text{in}} = \overline{\text{err}} + \hat{\omega}, \tag{7.25} \]
where ˆω is an estimate of the average optimism.
Using expression (7.24), applicable when d parameters are fit under squared error loss, leads to a version of the so-called Cp statistic,
\[C\_p = \overline{\text{err}} + 2 \cdot \frac{d}{N} \hat{\sigma}\_{\varepsilon}^{\;\;\;2}. \tag{7.26}\]
Here ˆσε 2 is an estimate of the noise variance, obtained from the meansquared error of a low-bias model. Using this criterion we adjust the training error by a factor proportional to the number of basis functions used.
The Akaike information criterion is a similar but more generally applicable estimate of Errin when a log-likelihood loss function is used. It relies on a relationship similar to (7.24) that holds asymptotically as N → ∞:
\[-2 \cdot \operatorname{E}[\log \operatorname{Pr}\_{\hat{\theta}}(Y)] \approx -\frac{2}{N} \cdot \operatorname{E}[\text{loglik}] + 2 \cdot \frac{d}{N} . \tag{7.27}\]
Here Prθ(Y ) is a family of densities for Y (containing the “true” density), ˆθ is the maximum-likelihood estimate of θ, and “loglik” is the maximized log-likelihood:
\[\log \text{lik} = \sum\_{i=1}^{N} \log \text{Pr}\_{\hat{\theta}}(y\_i). \tag{7.28}\]
For example, for the logistic regression model, using the binomial loglikelihood, we have
\[\text{AIC} = -\frac{2}{N} \cdot \text{loglik} + 2 \cdot \frac{d}{N}. \tag{7.29}\]
For the Gaussian model (with variance σ2 ε = ˆσε 2 assumed known), the AIC statistic is equivalent to Cp, and so we refer to them collectively as AIC.
To use AIC for model selection, we simply choose the model giving smallest AIC over the set of models considered. For nonlinear and other complex models, we need to replace d by some measure of model complexity. We discuss this in Section 7.6.
Given a set of models fα(x) indexed by a tuning parameter α, denote by err(α) and d(α) the training error and number of parameters for each model. Then for this set of models we define
\[\text{AIC}(\alpha) = \overline{\text{err}}(\alpha) + 2 \cdot \frac{d(\alpha)}{N} \hat{\sigma}\_{\varepsilon}^{\,^2}. \tag{7.30}\]
The function AIC(α) provides an estimate of the test error curve, and we find the tuning parameter ˆα that minimizes it. Our final chosen model is fαˆ(x). Note that if the basis functions are chosen adaptively, (7.23) no longer holds. For example, if we have a total of p inputs, and we choose the best-fitting linear model with d<p inputs, the optimism will exceed (2d/N)σ2 ε . Put another way, by choosing the best-fitting model with d inputs, the effective number of parameters fit is more than d.
Figure 7.4 shows AIC in action for the phoneme recognition example of Section 5.2.3 on page 148. The input vector is the log-periodogram of the spoken vowel, quantized to 256 uniformly spaced frequencies. A linear logistic regression model is used to predict the phoneme class, with coefficient function β(f) = (M m=1 hm(f)θm, an expansion in M spline basis functions. For any given M, a basis of natural cubic splines is used for the hm, with knots chosen uniformly over the range of frequencies (so d(α) = d(M) = M). Using AIC to select the number of basis functions will approximately minimize Err(M) for both entropy and 0–1 loss.
The simple formula
\[(2/N)\sum\_{i=1}^{N} \text{Cov}(\hat{y}\_i, y\_i) = (2d/N)\sigma\_\varepsilon^2\]
holds exactly for linear models with additive errors and squared error loss, and approximately for linear models and log-likelihoods. In particular, the formula does not hold in general for 0–1 loss (Efron, 1986), although many authors nevertheless use it in that context (right panel of Figure 7.4).

FIGURE 7.4. AIC used for model selection for the phoneme recognition example of Section 5.2.3. The logistic regression coefficient function β(f) = PM m=1 hm(f)θm is modeled as an expansion in M spline basis functions. In the left panel we see the AIC statistic used to estimate Errin using log-likelihood loss. Included is an estimate of Err based on an independent test sample. It does well except for the extremely over-parametrized case (M = 256 parameters for N = 1000 observations). In the right panel the same is done for 0–1 loss. Although the AIC formula does not strictly apply here, it does a reasonable job in this case.
7.6 The Effective Number of Parameters
The concept of “number of parameters” can be generalized, especially to models where regularization is used in the fitting. Suppose we stack the outcomes y1, y2,…,yN into a vector y, and similarly for the predictions yˆ. Then a linear fitting method is one for which we can write
\[ \hat{\mathbf{y}} = \mathbf{S} \mathbf{y}, \tag{7.31} \]
where S is an N × N matrix depending on the input vectors xi but not on the yi. Linear fitting methods include linear regression on the original features or on a derived basis set, and smoothing methods that use quadratic shrinkage, such as ridge regression and cubic smoothing splines. Then the effective number of parameters is defined as
\[\text{df}(\mathbf{S}) = \text{trace}(\mathbf{S}),\tag{7.32}\]
the sum of the diagonal elements of S (also known as the effective degreesof-freedom). Note that if S is an orthogonal-projection matrix onto a basis set spanned by M features, then trace(S) = M. It turns out that trace(S) is exactly the correct quantity to replace d as the number of parameters in the Cp statistic (7.26). If y arises from an additive-error model Y = f(X) + ε with Var(ε) = σ2 ε , then one can show that (N i=1 Cov(ˆyi, yi) = trace(S)σ2 ε , which motivates the more general definition
\[\text{df}(\hat{\mathbf{y}}) = \frac{\sum\_{i=1}^{N} \text{Cov}(\hat{y}\_i, y\_i)}{\sigma\_\varepsilon^2} \tag{7.33}\]
(Exercises 7.4 and 7.5). Section 5.4.1 on page 153 gives some more intuition for the definition df = trace(S) in the context of smoothing splines.
For models like neural networks, in which we minimize an error function R(w) with weight decay penalty (regularization) α( m w2 m, the effective number of parameters has the form
\[\text{df}(\alpha) = \sum\_{m=1}^{M} \frac{\theta\_m}{\theta\_m + \alpha},\tag{7.34}\]
where the θm are the eigenvalues of the Hessian matrix ∂2R(w)/∂w∂wT . Expression (7.34) follows from (7.32) if we make a quadratic approximation to the error function at the solution (Bishop, 1995).
7.7 The Bayesian Approach and BIC
The Bayesian information criterion (BIC), like AIC, is applicable in settings where the fitting is carried out by maximization of a log-likelihood. The generic form of BIC is
\[\text{BIC} = -2 \cdot \text{loglik} + (\log N) \cdot d.\tag{7.35}\]
The BIC statistic (times 1/2) is also known as the Schwarz criterion (Schwarz, 1978).
Under the Gaussian model, assuming the variance σ2 ε is known, −2·loglik equals (up to a constant) ( i(yi− ˆf(xi))2/σ2 ε , which is N ·err/σ2 ε for squared error loss. Hence we can write
\[\text{BIC} = \frac{N}{\sigma\_\varepsilon^2} \left[ \overline{\text{err}} + (\log N) \cdot \frac{d}{N} \sigma\_\varepsilon^2 \right]. \tag{7.36}\]
Therefore BIC is proportional to AIC (Cp), with the factor 2 replaced by log N. Assuming N>e2 ≈ 7.4, BIC tends to penalize complex models more heavily, giving preference to simpler models in selection. As with AIC, σ2 ε is typically estimated by the mean squared error of a low-bias model. For classification problems, use of the multinomial log-likelihood leads to a similar relationship with the AIC, using cross-entropy as the error measure.
234 7. Model Assessment and Selection
Note however that the misclassification error measure does not arise in the BIC context, since it does not correspond to the log-likelihood of the data under any probability model.
Despite its similarity with AIC, BIC is motivated in quite a different way. It arises in the Bayesian approach to model selection, which we now describe.
Suppose we have a set of candidate models Mm, m = 1,…,M and corresponding model parameters θm, and we wish to choose a best model from among them. Assuming we have a prior distribution Pr(θm|Mm) for the parameters of each model Mm, the posterior probability of a given model is
\[\Pr(\mathcal{M}\_m|\mathbf{Z}) \propto \Pr(\mathcal{M}\_m) \cdot \Pr(\mathbf{Z}|\mathcal{M}\_m) \tag{7.37}\]
\[\propto \Pr(\mathcal{M}\_m) \cdot \int \Pr(\mathbf{Z}|\theta\_m, \mathcal{M}\_m) \Pr(\theta\_m|\mathcal{M}\_m) d\theta\_m,\]
where Z represents the training data {xi, yi} N 1 . To compare two models Mm and Mℓ, we form the posterior odds
\[\frac{\Pr(\mathcal{M}\_m|\mathbf{Z})}{\Pr(\mathcal{M}\_\ell|\mathbf{Z})} = \frac{\Pr(\mathcal{M}\_m)}{\Pr(\mathcal{M}\_\ell)} \cdot \frac{\Pr(\mathbf{Z}|\mathcal{M}\_m)}{\Pr(\mathbf{Z}|\mathcal{M}\_\ell)}.\tag{7.38}\]
If the odds are greater than one we choose model m, otherwise we choose model ℓ. The rightmost quantity
\[\text{BF}(\mathbf{Z}) = \frac{\Pr(\mathbf{Z}|\mathcal{M}\_m)}{\Pr(\mathbf{Z}|\mathcal{M}\_\ell)} \tag{7.39}\]
is called the Bayes factor, the contribution of the data toward the posterior odds.
Typically we assume that the prior over models is uniform, so that Pr(Mm) is constant. We need some way of approximating Pr(Z|Mm). A so-called Laplace approximation to the integral followed by some other simplifications (Ripley, 1996, page 64) to (7.37) gives
\[\log \Pr(\mathbf{Z}|\mathcal{M}\_m) = \log \Pr(\mathbf{Z}|\hat{\theta}\_m, \mathcal{M}\_m) - \frac{d\_m}{2} \cdot \log N + O(1). \tag{7.40}\]
Here ˆθm is a maximum likelihood estimate and dm is the number of free parameters in model Mm. If we define our loss function to be
\[-2\log\Pr(\mathbf{Z}|\hat{\theta}\_m, \mathcal{M}\_m),\]
this is equivalent to the BIC criterion of equation (7.35).
Therefore, choosing the model with minimum BIC is equivalent to choosing the model with largest (approximate) posterior probability. But this framework gives us more. If we compute the BIC criterion for a set of M, models, giving BICm, m = 1, 2,…,M, then we can estimate the posterior probability of each model Mm as
\[\frac{e^{-\frac{1}{2}\cdot \text{BIC}\_m}}{\sum\_{\ell=1}^{M} e^{-\frac{1}{2}\cdot \text{BIC}\_\ell}}.\tag{7.41}\]
Thus we can estimate not only the best model, but also assess the relative merits of the models considered.
For model selection purposes, there is no clear choice between AIC and BIC. BIC is asymptotically consistent as a selection criterion. What this means is that given a family of models, including the true model, the probability that BIC will select the correct model approaches one as the sample size N → ∞. This is not the case for AIC, which tends to choose models which are too complex as N → ∞. On the other hand, for finite samples, BIC often chooses models that are too simple, because of its heavy penalty on complexity.
7.8 Minimum Description Length
The minimum description length (MDL) approach gives a selection criterion formally identical to the BIC approach, but is motivated from an optimal coding viewpoint. We first review the theory of coding for data compression, and then apply it to model selection.
We think of our datum z as a message that we want to encode and send to someone else (the “receiver”). We think of our model as a way of encoding the datum, and will choose the most parsimonious model, that is the shortest code, for the transmission.
Suppose first that the possible messages we might want to transmit are z1, z2,…,zm. Our code uses a finite alphabet of length A: for example, we might use a binary code {0, 1} of length A = 2. Here is an example with four possible messages and a binary coding:
\[\begin{array}{c||c|c|c|c|c} \text{Message} & z\_1 & z\_2 & z\_3 & z\_4 \\ \hline \text{Code} & 0 & 10 & 110 & 111 \\ \end{array} \tag{7.42}\]
This code is known as an instantaneous prefix code: no code is the prefix of any other, and the receiver (who knows all of the possible codes), knows exactly when the message has been completely sent. We restrict our discussion to such instantaneous prefix codes.
One could use the coding in (7.42) or we could permute the codes, for example use codes 110, 10, 111, 0 for z1, z2, z3, z4. How do we decide which to use? It depends on how often we will be sending each of the messages. If, for example, we will be sending z1 most often, it makes sense to use the shortest code 0 for z1. Using this kind of strategy—shorter codes for more frequent messages—the average message length will be shorter.
236 7. Model Assessment and Selection
In general, if messages are sent with probabilities Pr(zi), i = 1, 2,…, 4, a famous theorem due to Shannon says we should use code lengths li = − log2 Pr(zi) and the average message length satisfies
\[\operatorname{E}(\text{length}) \ge -\sum \Pr(z\_i) \log\_2(\Pr(z\_i)).\tag{7.43}\]
The right-hand side above is also called the entropy of the distribution Pr(zi). The inequality is an equality when the probabilities satisfy pi = A−li . In our example, if Pr(zi)=1/2, 1/4, 1/8, 1/8, respectively, then the coding shown in (7.42) is optimal and achieves the entropy lower bound.
In general the lower bound cannot be achieved, but procedures like the Huffmann coding scheme can get close to the bound. Note that with an infinite set of messages, the entropy is replaced by − B Pr(z) log2 Pr(z)dz. From this result we glean the following:
To transmit a random variable z having probability density function Pr(z), we require about − log2 Pr(z) bits of information.
We henceforth change notation from log2 Pr(z) to log Pr(z) = loge Pr(z); this is for convenience, and just introduces an unimportant multiplicative constant.
Now we apply this result to the problem of model selection. We have a model M with parameters θ, and data Z = (X, y) consisting of both inputs and outputs. Let the (conditional) probability of the outputs under the model be Pr(y|θ,M, X), assume the receiver knows all of the inputs, and we wish to transmit the outputs. Then the message length required to transmit the outputs is
\[\text{length} = -\log \Pr(\mathbf{y}|\theta, M, \mathbf{X}) - \log \Pr(\theta|M),\tag{7.44}\]
the log-probability of the target values given the inputs. The second term is the average code length for transmitting the model parameters θ, while the first term is the average code length for transmitting the discrepancy between the model and actual target values. For example suppose we have a single target y with y ∼ N(θ, σ2), parameter θ ∼ N(0, 1) and no input (for simplicity). Then the message length is
\[\text{length} = \text{constant} + \log \sigma + \frac{(y-\theta)^2}{\sigma^2} + \frac{\theta^2}{2}. \tag{7.45}\]
Note that the smaller σ is, the shorter on average is the message length, since y is more concentrated around θ.
The MDL principle says that we should choose the model that minimizes (7.44). We recognize (7.44) as the (negative) log-posterior distribution, and hence minimizing description length is equivalent to maximizing posterior probability. Hence the BIC criterion, derived as approximation to log-posterior probability, can also be viewed as a device for (approximate) model choice by minimum description length.

FIGURE 7.5. The solid curve is the function sin(50x) for x ∈ [0, 1]. The green (solid) and blue (hollow) points illustrate how the associated indicator function I(sin(αx) > 0) can shatter (separate) an arbitrarily large number of points by choosing an appropriately high frequency α.
Note that we have ignored the precision with which a random variable z is coded. With a finite code length we cannot code a continuous variable exactly. However, if we code z within a tolerance δz, the message length needed is the log of the probability in the interval [z, z+δz] which is well approximated by δzPr(z) if δz is small. Since log δzPr(z) = log δz +log Pr(z), this means we can just ignore the constant log δz and use log Pr(z) as our measure of message length, as we did above.
The preceding view of MDL for model selection says that we should choose the model with highest posterior probability. However, many Bayesians would instead do inference by sampling from the posterior distribution.
7.9 Vapnik–Chervonenkis Dimension

A difficulty in using estimates of in-sample error is the need to specify the number of parameters (or the complexity) d used in the fit. Although the effective number of parameters introduced in Section 7.6 is useful for some nonlinear models, it is not fully general. The Vapnik–Chervonenkis (VC) theory provides such a general measure of complexity, and gives associated bounds on the optimism. Here we give a brief review of this theory.
Suppose we have a class of functions {f(x, α)} indexed by a parameter vector α, with x ∈ IRp. Assume for now that f is an indicator function, that is, takes the values 0 or 1. If α = (α0, α1) and f is the linear indicator function I(α0 + αT 1 x > 0), then it seems reasonable to say that the complexity of the class f is the number of parameters p + 1. But what about f(x, α) = I(sin α · x) where α is any real number and x ∈ IR? The function sin(50 · x) is shown in Figure 7.5. This is a very wiggly function that gets even rougher as the frequency α increases, but it has only one parameter: despite this, it doesn’t seem reasonable to conclude that it has less complexity than the linear indicator function I(α0 + α1x) in p = 1 dimension.

FIGURE 7.6. The first three panels show that the class of lines in the plane can shatter three points. The last panel shows that this class cannot shatter four points, as no line will put the hollow points on one side and the solid points on the other. Hence the VC dimension of the class of straight lines in the plane is three. Note that a class of nonlinear curves could shatter four points, and hence has VC dimension greater than three.
The Vapnik–Chervonenkis dimension is a way of measuring the complexity of a class of functions by assessing how wiggly its members can be.
The VC dimension of the class {f(x, α)} is defined to be the largest number of points (in some configuration) that can be shattered by members of {f(x, α)}.
A set of points is said to be shattered by a class of functions if, no matter how we assign a binary label to each point, a member of the class can perfectly separate them.
Figure 7.6 shows that the VC dimension of linear indicator functions in the plane is 3 but not 4, since no four points can be shattered by a set of lines. In general, a linear indicator function in p dimensions has VC dimension p+ 1, which is also the number of free parameters. On the other hand, it can be shown that the family sin(αx) has infinite VC dimension, as Figure 7.5 suggests. By appropriate choice of α, any set of points can be shattered by this class (Exercise 7.8).
So far we have discussed the VC dimension only of indicator functions, but this can be extended to real-valued functions. The VC dimension of a class of real-valued functions {g(x, α)} is defined to be the VC dimension of the indicator class {I(g(x, α) − β > 0)}, where β takes values over the range of g.
One can use the VC dimension in constructing an estimate of (extrasample) prediction error; different types of results are available. Using the concept of VC dimension, one can prove results about the optimism of the training error when using a class of functions. An example of such a result is the following. If we fit N training points using a class of functions {f(x, α)} having VC dimension h, then with probability at least 1 − η over training
\[\text{sets:}\]
\[\begin{array}{rcl} \text{Err}\_{\mathcal{T}} & \leq & \overline{\text{err}} + \frac{\epsilon}{2} \Big( 1 + \sqrt{1 + \frac{4 \cdot \overline{\text{err}}}{\epsilon}} \Big) \quad \text{(binary classification)}\\ \text{Err}\_{\mathcal{T}} & \leq & \frac{\overline{\text{err}}}{(1 - c\sqrt{\epsilon})\_{+}} \quad \text{(regression)}\\ & & \text{where } \epsilon = a\_1 \frac{h[\log\left(a\_2 N/h\right) + 1] - \log\left(\eta/4\right)}{N},\\ & & \text{and } 0 < a\_1 \leq 4, \ 0 < a\_2 \leq 2 \end{array}\]
These bounds hold simultaneously for all members f(x, α), and are taken from Cherkassky and Mulier (2007, pages 116–118). They recommend the value c = 1. For regression they suggest a1 = a2 = 1, and for classification they make no recommendation, with a1 = 4 and a2 = 2 corresponding to worst-case scenarios. They also give an alternative practical bound for regression
\[\text{Err}\_{\mathcal{T}} \le \overline{\text{err}} \left( 1 - \sqrt{\rho - \rho \log \rho + \frac{\log N}{2N}} \right)\_+^{-1} \tag{7.47}\]
with ρ = h N , which is free of tuning constants. The bounds suggest that the optimism increases with h and decreases with N in qualitative agreement with the AIC correction d/N given is (7.24). However, the results in (7.46) are stronger: rather than giving the expected optimism for each fixed function f(x, α), they give probabilistic upper bounds for all functions f(x, α), and hence allow for searching over the class.
Vapnik’s structural risk minimization (SRM) approach fits a nested sequence of models of increasing VC dimensions h1 < h2 < ··· , and then chooses the model with the smallest value of the upper bound.
We note that upper bounds like the ones in (7.46) are often very loose, but that doesn’t rule them out as good criteria for model selection, where the relative (not absolute) size of the test error is important. The main drawback of this approach is the difficulty in calculating the VC dimension of a class of functions. Often only a crude upper bound for VC dimension is obtainable, and this may not be adequate. An example in which the structural risk minimization program can be successfully carried out is the support vector classifier, discussed in Section 12.2.
7.9.1 Example (Continued)
Figure 7.7 shows the results when AIC, BIC and SRM are used to select the model size for the examples of Figure 7.3. For the examples labeled KNN, the model index α refers to neighborhood size, while for those labeled REG α refers to subset size. Using each selection method (e.g., AIC) we estimated the best model ˆα and found its true prediction error ErrT (ˆα) on a test set. For the same training set we computed the prediction error of the best

FIGURE 7.7. Boxplots show the distribution of the relative error 100 × [ErrT (ˆα) − minα ErrT (α)]/[maxα ErrT (α) − minα ErrT (α)] over the four scenarios of Figure 7.3. This is the error in using the chosen model relative to the best model. There are 100 training sets each of size 80 represented in each boxplot, with the errors computed on test sets of size 10, 000.
and worst possible model choices: minα ErrT (α) and maxα ErrT (α). The boxplots show the distribution of the quantity
\[100 \times \frac{\text{Err}\_T(\hat{\alpha}) - \min\_{\alpha} \text{Err}\_T(\alpha)}{\max\_{\alpha} \text{Err}\_T(\alpha) - \min\_{\alpha} \text{Err}\_T(\alpha)},\]
which represents the error in using the chosen model relative to the best model. For linear regression the model complexity was measured by the number of features; as mentioned in Section 7.5, this underestimates the df, since it does not charge for the search for the best model of that size. This was also used for the VC dimension of the linear classifier. For knearest neighbors, we used the quantity N/k. Under an additive-error regression model, this can be justified as the exact effective degrees of freedom (Exercise 7.6); we do not know if it corresponds to the VC dimension. We used a1 = a2 = 1 for the constants in (7.46); the results for SRM changed with different constants, and this choice gave the most favorable results. We repeated the SRM selection using the alternative practical bound (7.47), and got almost identical results. For misclassification error we used σˆε 2 = [N/(N − d)] · err(α) for the least restrictive model (k = 5 for KNN, since k = 1 results in zero training error). The AIC criterion seems to work well in all four scenarios, despite the lack of theoretical support with 0–1 loss. BIC does nearly as well, while the performance of SRM is mixed.
7.10 Cross-Validation
Probably the simplest and most widely used method for estimating prediction error is cross-validation. This method directly estimates the expected extra-sample error Err = E[L(Y, ˆf(X))], the average generalization error when the method ˆf(X) is applied to an independent test sample from the joint distribution of X and Y . As mentioned earlier, we might hope that cross-validation estimates the conditional error, with the training set T held fixed. But as we will see in Section 7.12, cross-validation typically estimates well only the expected prediction error.
7.10.1 K-Fold Cross-Validation
Ideally, if we had enough data, we would set aside a validation set and use it to assess the performance of our prediction model. Since data are often scarce, this is usually not possible. To finesse the problem, K-fold crossvalidation uses part of the available data to fit the model, and a different part to test it. We split the data into K roughly equal-sized parts; for example, when K = 5, the scenario looks like this:
242 7. Model Assessment and Selection
| 1 | 2 | 3 | 4 | 5 |
|---|---|---|---|---|
| Train | Train | Validation | Train | Train |
For the kth part (third above), we fit the model to the other K −1 parts of the data, and calculate the prediction error of the fitted model when predicting the kth part of the data. We do this for k = 1, 2,…,K and combine the K estimates of prediction error.
Here are more details. Let κ : {1,…,N} 6→ {1,…,K} be an indexing function that indicates the partition to which observation i is allocated by the randomization. Denote by ˆf −k(x) the fitted function, computed with the kth part of the data removed. Then the cross-validation estimate of prediction error is
\[\text{CV}(\hat{f}) = \frac{1}{N} \sum\_{i=1}^{N} L(y\_i, \hat{f}^{-\kappa(i)}(x\_i)). \tag{7.48}\]
Typical choices of K are 5 or 10 (see below). The case K = N is known as leave-one-out cross-validation. In this case κ(i) = i, and for the ith observation the fit is computed using all the data except the ith.
Given a set of models f(x, α) indexed by a tuning parameter α, denote by ˆf −k(x, α) the αth model fit with the kth part of the data removed. Then for this set of models we define
\[\text{CV}(\hat{f}, \alpha) = \frac{1}{N} \sum\_{i=1}^{N} L(y\_i, \hat{f}^{-\kappa(i)}(x\_i, \alpha)). \tag{7.49}\]
The function CV( ˆf, α) provides an estimate of the test error curve, and we find the tuning parameter ˆα that minimizes it. Our final chosen model is f(x, αˆ), which we then fit to all the data.
It is interesting to wonder about what quantity K-fold cross-validation estimates. With K = 5 or 10, we might guess that it estimates the expected error Err, since the training sets in each fold are quite different from the original training set. On the other hand, if K = N we might guess that cross-validation estimates the conditional error ErrT . It turns out that cross-validation only estimates effectively the average error Err, as discussed in Section 7.12.
What value should we choose for K? With K = N, the cross-validation estimator is approximately unbiased for the true (expected) prediction error, but can have high variance because the N “training sets” are so similar to one another. The computational burden is also considerable, requiring N applications of the learning method. In certain special problems, this computation can be done quickly—see Exercises 7.3 and 5.13.

FIGURE 7.8. Hypothetical learning curve for a classifier on a given task: a plot of 1 − Err versus the size of the training set N. With a dataset of 200 observations, 5-fold cross-validation would use training sets of size 160, which would behave much like the full set. However, with a dataset of 50 observations fivefold cross-validation would use training sets of size 40, and this would result in a considerable overestimate of prediction error.
On the other hand, with K = 5 say, cross-validation has lower variance. But bias could be a problem, depending on how the performance of the learning method varies with the size of the training set. Figure 7.8 shows a hypothetical “learning curve” for a classifier on a given task, a plot of 1 − Err versus the size of the training set N. The performance of the classifier improves as the training set size increases to 100 observations; increasing the number further to 200 brings only a small benefit. If our training set had 200 observations, fivefold cross-validation would estimate the performance of our classifier over training sets of size 160, which from Figure 7.8 is virtually the same as the performance for training set size 200. Thus cross-validation would not suffer from much bias. However if the training set had 50 observations, fivefold cross-validation would estimate the performance of our classifier over training sets of size 40, and from the figure that would be an underestimate of 1 − Err. Hence as an estimate of Err, cross-validation would be biased upward.
To summarize, if the learning curve has a considerable slope at the given training set size, five- or tenfold cross-validation will overestimate the true prediction error. Whether this bias is a drawback in practice depends on the objective. On the other hand, leave-one-out cross-validation has low bias but can have high variance. Overall, five- or tenfold cross-validation are recommended as a good compromise: see Breiman and Spector (1992) and Kohavi (1995).
Figure 7.9 shows the prediction error and tenfold cross-validation curve estimated from a single training set, from the scenario in the bottom right panel of Figure 7.3. This is a two-class classification problem, using a lin-

FIGURE 7.9. Prediction error (orange) and tenfold cross-validation curve (blue) estimated from a single training set, from the scenario in the bottom right panel of Figure 7.3.
ear model with best subsets regression of subset size p. Standard error bars are shown, which are the standard errors of the individual misclassification error rates for each of the ten parts. Both curves have minima at p = 10, although the CV curve is rather flat beyond 10. Often a “one-standard error” rule is used with cross-validation, in which we choose the most parsimonious model whose error is no more than one standard error above the error of the best model. Here it looks like a model with about p = 9 predictors would be chosen, while the true model uses p = 10.
Generalized cross-validation provides a convenient approximation to leaveone out cross-validation, for linear fitting under squared-error loss. As defined in Section 7.6, a linear fitting method is one for which we can write
\[ \hat{\mathbf{y}} = \mathbf{S} \mathbf{y}.\tag{7.50} \]
Now for many linear fitting methods,
\[\frac{1}{N} \sum\_{i=1}^{N} [y\_i - \hat{f}^{-i}(x\_i)]^2 \quad = \frac{1}{N} \sum\_{i=1}^{N} \left[ \frac{y\_i - \hat{f}(x\_i)}{1 - S\_{ii}} \right]^2,\tag{7.51}\]
where Sii is the ith diagonal element of S (see Exercise 7.3). The GCV approximation is
\[\text{GCV}(\hat{f}) = \frac{1}{N} \sum\_{i=1}^{N} \left[ \frac{y\_i - \hat{f}(x\_i)}{1 - \text{trace}(\mathbf{S})/N} \right]^2. \tag{7.52}\]
The quantity trace(S) is the effective number of parameters, as defined in Section 7.6.
GCV can have a computational advantage in some settings, where the trace of S can be computed more easily than the individual elements Sii. In smoothing problems, GCV can also alleviate the tendency of crossvalidation to undersmooth. The similarity between GCV and AIC can be seen from the approximation 1/(1 − x)2 ≈ 1+2x (Exercise 7.7).
7.10.2 The Wrong and Right Way to Do Cross-validation
Consider a classification problem with a large number of predictors, as may arise, for example, in genomic or proteomic applications. A typical strategy for analysis might be as follows:
- Screen the predictors: find a subset of “good” predictors that show fairly strong (univariate) correlation with the class labels
- Using just this subset of predictors, build a multivariate classifier.
- Use cross-validation to estimate the unknown tuning parameters and to estimate the prediction error of the final model.
Is this a correct application of cross-validation? Consider a scenario with N = 50 samples in two equal-sized classes, and p = 5000 quantitative predictors (standard Gaussian) that are independent of the class labels. The true (test) error rate of any classifier is 50%. We carried out the above recipe, choosing in step (1) the 100 predictors having highest correlation with the class labels, and then using a 1-nearest neighbor classifier, based on just these 100 predictors, in step (2). Over 50 simulations from this setting, the average CV error rate was 3%. This is far lower than the true error rate of 50%.
What has happened? The problem is that the predictors have an unfair advantage, as they were chosen in step (1) on the basis of all of the samples. Leaving samples out after the variables have been selected does not correctly mimic the application of the classifier to a completely independent test set, since these predictors “have already seen” the left out samples.
Figure 7.10 (top panel) illustrates the problem. We selected the 100 predictors having largest correlation with the class labels over all 50 samples. Then we chose a random set of 10 samples, as we would do in five-fold crossvalidation, and computed the correlations of the pre-selected 100 predictors with the class labels over just these 10 samples (top panel). We see that the correlations average about 0.28, rather than 0, as one might expect.
Here is the correct way to carry out cross-validation in this example:
- Divide the samples into K cross-validation folds (groups) at random.
- For each fold k = 1, 2,…,K

Correlations of Selected Predictors with Outcome
FIGURE 7.10. Cross-validation the wrong and right way: histograms shows the correlation of class labels, in 10 randomly chosen samples, with the 100 predictors chosen using the incorrect (upper red) and correct (lower green) versions of cross-validation.
- Find a subset of “good” predictors that show fairly strong (univariate) correlation with the class labels, using all of the samples except those in fold k.
- Using just this subset of predictors, build a multivariate classifier, using all of the samples except those in fold k.
- Use the classifier to predict the class labels for the samples in fold k.
The error estimates from step 2(c) are then accumulated over all K folds, to produce the cross-validation estimate of prediction error. The lower panel of Figure 7.10 shows the correlations of class labels with the 100 predictors chosen in step 2(a) of the correct procedure, over the samples in a typical fold k. We see that they average about zero, as they should.
In general, with a multistep modeling procedure, cross-validation must be applied to the entire sequence of modeling steps. In particular, samples must be “left out” before any selection or filtering steps are applied. There is one qualification: initial unsupervised screening steps can be done before samples are left out. For example, we could select the 1000 predictors with highest variance across all 50 samples, before starting cross-validation. Since this filtering does not involve the class labels, it does not give the predictors an unfair advantage.
While this point may seem obvious to the reader, we have seen this blunder committed many times in published papers in top rank journals. With the large numbers of predictors that are so common in genomic and other areas, the potential consequences of this error have also increased dramatically; see Ambroise and McLachlan (2002) for a detailed discussion of this issue.
7.10.3 Does Cross-Validation Really Work?
We once again examine the behavior of cross-validation in a high-dimensional classification problem. Consider a scenario with N = 20 samples in two equal-sized classes, and p = 500 quantitative predictors that are independent of the class labels. Once again, the true error rate of any classifier is 50%. Consider a simple univariate classifier: a single split that minimizes the misclassification error (a “stump”). Stumps are trees with a single split, and are used in boosting methods (Chapter 10). A simple argument suggests that cross-validation will not work properly in this setting2:
Fitting to the entire training set, we will find a predictor that splits the data very well If we do 5-fold cross-validation, this same predictor should split any 4/5ths and 1/5th of the data well too, and hence its cross-validation error will be small (much less than 50%) Thus CV does not give an accurate estimate of error.
To investigate whether this argument is correct, Figure 7.11 shows the result of a simulation from this setting. There are 500 predictors and 20 samples, in each of two equal-sized classes, with all predictors having a standard Gaussian distribution. The panel in the top left shows the number of training errors for each of the 500 stumps fit to the training data. We have marked in color the six predictors yielding the fewest errors. In the top right panel, the training errors are shown for stumps fit to a random 4/5ths partition of the data (16 samples), and tested on the remaining 1/5th (four samples). The colored points indicate the same predictors marked in the top left panel. We see that the stump for the blue predictor (whose stump was the best in the top left panel), makes two out of four test errors (50%), and is no better than random.
What has happened? The preceding argument has ignored the fact that in cross-validation, the model must be completely retrained for each fold
2This argument was made to us by a scientist at a proteomics lab meeting, and led to material in this section.

FIGURE 7.11. Simulation study to investigate the performance of cross validation in a high-dimensional problem where the predictors are independent of the class labels. The top-left panel shows the number of errors made by individual stump classifiers on the full training set (20 observations). The top right panel shows the errors made by individual stumps trained on a random split of the dataset into 4/5ths (16 observations) and tested on the remaining 1/5th (4 observations). The best performers are depicted by colored dots in each panel. The bottom left panel shows the effect of re-estimating the split point in each fold: the colored points correspond to the four samples in the 4/5ths validation set. The split point derived from the full dataset classifies all four samples correctly, but when the split point is re-estimated on the 4/5ths data (as it should be), it commits two errors on the four validation samples. In the bottom right we see the overall result of five-fold cross-validation applied to 50 simulated datasets. The average error rate is about 50%, as it should be.
of the process. In the present example, this means that the best predictor and corresponding split point are found from 4/5ths of the data. The effect of predictor choice is seen in the top right panel. Since the class labels are independent of the predictors, the performance of a stump on the 4/5ths training data contains no information about its performance in the remaining 1/5th. The effect of the choice of split point is shown in the bottom left panel. Here we see the data for predictor 436, corresponding to the blue dot in the top left plot. The colored points indicate the 1/5th data, while the remaining points belong to the 4/5ths. The optimal split points for this predictor based on both the full training set and 4/5ths data are indicated. The split based on the full data makes no errors on the 1/5ths data. But cross-validation must base its split on the 4/5ths data, and this incurs two errors out of four samples.
The results of applying five-fold cross-validation to each of 50 simulated datasets is shown in the bottom right panel. As we would hope, the average cross-validation error is around 50%, which is the true expected prediction error for this classifier. Hence cross-validation has behaved as it should. On the other hand, there is considerable variability in the error, underscoring the importance of reporting the estimated standard error of the CV estimate. See Exercise 7.10 for another variation of this problem.
7.11 Bootstrap Methods
The bootstrap is a general tool for assessing statistical accuracy. First we describe the bootstrap in general, and then show how it can be used to estimate extra-sample prediction error. As with cross-validation, the bootstrap seeks to estimate the conditional error ErrT , but typically estimates well only the expected prediction error Err.
Suppose we have a model fit to a set of training data. We denote the training set by Z = (z1, z2,…,zN ) where zi = (xi, yi). The basic idea is to randomly draw datasets with replacement from the training data, each sample the same size as the original training set. This is done B times (B = 100 say), producing B bootstrap datasets, as shown in Figure 7.12. Then we refit the model to each of the bootstrap datasets, and examine the behavior of the fits over the B replications.
In the figure, S(Z) is any quantity computed from the data Z, for example, the prediction at some input point. From the bootstrap sampling we can estimate any aspect of the distribution of S(Z), for example, its variance,
\[\widehat{\text{Var}}[S(\mathbf{Z})] = \frac{1}{B-1} \sum\_{b=1}^{B} (S(\mathbf{Z}^{\*b}) - \bar{S}^\*)^2,\tag{7.53}\]

250 7. Model Assessment and Selection
FIGURE 7.12. Schematic of the bootstrap process. We wish to assess the statistical accuracy of a quantity S(Z) computed from our dataset. B training sets Z∗b , b = 1,…,B each of size N are drawn with replacement from the original dataset. The quantity of interest S(Z) is computed from each bootstrap training set, and the values S(Z∗1),…,S(Z∗B) are used to assess the statistical accuracy of S(Z).
where S¯∗ = ( b S(Z∗b)/B. Note that Var[ O S(Z)] can be thought of as a Monte-Carlo estimate of the variance of S(Z) under sampling from the empirical distribution function Fˆ for the data (z1, z2,…,zN ).
How can we apply the bootstrap to estimate prediction error? One approach would be to fit the model in question on a set of bootstrap samples, and then keep track of how well it predicts the original training set. If ˆf ∗b(xi) is the predicted value at xi, from the model fitted to the bth bootstrap dataset, our estimate is
\[\widehat{\text{Err}}\_{\text{boot}} = \frac{1}{B} \frac{1}{N} \sum\_{b=1}^{B} \sum\_{i=1}^{N} L(y\_i, \hat{f}^{\*b}(x\_i)). \tag{7.54}\]
However, it is easy to see that Err Oboot does not provide a good estimate in general. The reason is that the bootstrap datasets are acting as the training samples, while the original training set is acting as the test sample, and these two samples have observations in common. This overlap can make overfit predictions look unrealistically good, and is the reason that crossvalidation explicitly uses non-overlapping data for the training and test samples. Consider for example a 1-nearest neighbor classifier applied to a two-class classification problem with the same number of observations in each class, in which the predictors and class labels are in fact independent. Then the true error rate is 0.5. But the contributions to the bootstrap estimate Err Oboot will be zero unless the observation i does not appear in the bootstrap sample b. In this latter case it will have the correct expectation 0.5. Now
\[\begin{aligned} \Pr\{\text{observation } i \in \text{booststrap sample } b\} &= 1 - \left(1 - \frac{1}{N}\right)^N \\ &\approx 1 - e^{-1} \\ &= 0.632. \end{aligned} \tag{7.55}\]
Hence the expectation of Err Oboot is about 0.5 × 0.368 = 0.184, far below the correct error rate 0.5.
By mimicking cross-validation, a better bootstrap estimate can be obtained. For each observation, we only keep track of predictions from bootstrap samples not containing that observation. The leave-one-out bootstrap estimate of prediction error is defined by
\[\widehat{\text{Err}}^{(1)} = \frac{1}{N} \sum\_{i=1}^{N} \frac{1}{|C^{-i}|} \sum\_{b \in C^{-i}} L(y\_i, \hat{f}^{\*b}(x\_i)). \tag{7.56}\]
Here C−i is the set of indices of the bootstrap samples b that do not contain observation i, and |C−i | is the number of such samples. In computing Err O(1) , we either have to choose B large enough to ensure that all of the |C−i | are greater than zero, or we can just leave out the terms in (7.56) corresponding to |C−i |’s that are zero.
The leave-one out bootstrap solves the overfitting problem suffered by Err Oboot, but has the training-set-size bias mentioned in the discussion of cross-validation. The average number of distinct observations in each bootstrap sample is about 0.632 · N, so its bias will roughly behave like that of twofold cross-validation. Thus if the learning curve has considerable slope at sample size N/2, the leave-one out bootstrap will be biased upward as an estimate of the true error.
The “.632 estimator” is designed to alleviate this bias. It is defined by
\[ \widehat{\text{Err}}^{\text{(.632)}} = .368 \cdot \overline{\text{err}} + .632 \cdot \widehat{\text{Err}}^{\text{(1)}}.\tag{7.57} \]
The derivation of the .632 estimator is complex; intuitively it pulls the leave-one out bootstrap estimate down toward the training error rate, and hence reduces its upward bias. The use of the constant .632 relates to (7.55).
The .632 estimator works well in “light fitting” situations, but can break down in overfit ones. Here is an example due to Breiman et al. (1984). Suppose we have two equal-size classes, with the targets independent of the class labels, and we apply a one-nearest neighbor rule. Then err = 0,
252 7. Model Assessment and Selection
Err O(1) = 0.5 and so Err O(.632) = .632 × 0.5 = .316. However, the true error rate is 0.5.
One can improve the .632 estimator by taking into account the amount of overfitting. First we define γ to be the no-information error rate: this is the error rate of our prediction rule if the inputs and class labels were independent. An estimate of γ is obtained by evaluating the prediction rule on all possible combinations of targets yi and predictors xi′
\[\hat{\gamma} = \frac{1}{N^2} \sum\_{i=1}^{N} \sum\_{i'=1}^{N} L(y\_i, \hat{f}(x\_{i'})). \tag{7.58}\]
For example, consider the dichotomous classification problem: let ˆp1 be the observed proportion of responses yi equaling 1, and let ˆq1 be the observed proportion of predictions ˆf(xi′ ) equaling 1. Then
\[ \hat{\gamma} = \hat{p}\_1(1-\hat{q}\_1) + (1-\hat{p}\_1)\hat{q}\_1. \tag{7.59} \]
With a rule like 1-nearest neighbors for which ˆq1 = ˆp1 the value of ˆγ is 2ˆp1(1−pˆ1). The multi-category generalization of (7.59) is ˆγ = ( ℓ pˆℓ(1−qˆℓ).
Using this, the relative overfitting rate is defined to be
\[ \hat{R} = \frac{\widehat{\text{Err}}^{(1)} - \overline{\text{err}}}{\hat{\gamma} - \overline{\text{err}}}, \tag{7.60} \]
a quantity that ranges from 0 if there is no overfitting (Err O(1) = err) to 1 if the overfitting equals the no-information value ˆγ − err. Finally, we define the “.632+” estimator by
\[\begin{array}{rcl}\widehat{\text{Err}}^{(.632+)} &=& (1-\hat{w}) \cdot \overline{\text{err}} + \hat{w} \cdot \widehat{\text{Err}}^{(1)} \\ \text{with } \hat{w} &=& \frac{.632}{1 - .368\hat{R}}. \end{array} \tag{7.61}\]
The weight w ranges from .632 if Rˆ = 0 to 1 if Rˆ = 1, so Err O(.632+) ranges from Err O(.632) to Err O(1) . Again, the derivation of (7.61) is complicated: roughly speaking, it produces a compromise between the leave-oneout bootstrap and the training error rate that depends on the amount of overfitting. For the 1-nearest-neighbor problem with class labels independent of the inputs, ˆw = Rˆ = 1, so Err O(.632+) = Err O(1) , which has the correct expectation of 0.5. In other problems with less overfitting, Err O(.632+) will lie somewhere between err and Err O(1) .
7.11.1 Example (Continued)
Figure 7.13 shows the results of tenfold cross-validation and the .632+ bootstrap estimate in the same four problems of Figures 7.7. As in that figure,

FIGURE 7.13. Boxplots show the distribution of the relative error 100 · [Errαˆ − minα Err(α)]/[maxα Err(α) − minα Err(α)] over the four scenarios of Figure 7.3. This is the error in using the chosen model relative to the best model. There are 100 training sets represented in each boxplot.
Figure 7.13 shows boxplots of 100 · [Errαˆ − minα Err(α)]/[maxα Err(α) − minα Err(α)], the error in using the chosen model relative to the best model. There are 100 different training sets represented in each boxplot. Both measures perform well overall, perhaps the same or slightly worse that the AIC in Figure 7.7.
Our conclusion is that for these particular problems and fitting methods, minimization of either AIC, cross-validation or bootstrap yields a model fairly close to the best available. Note that for the purpose of model selection, any of the measures could be biased and it wouldn’t affect things, as long as the bias did not change the relative performance of the methods. For example, the addition of a constant to any of the measures would not change the resulting chosen model. However, for many adaptive, nonlinear techniques (like trees), estimation of the effective number of parameters is very difficult. This makes methods like AIC impractical and leaves us with cross-validation or bootstrap as the methods of choice.
A different question is: how well does each method estimate test error? On the average the AIC criterion overestimated prediction error of its cho-
254 7. Model Assessment and Selection
sen model by 38%, 37%, 51%, and 30%, respectively, over the four scenarios, with BIC performing similarly. In contrast, cross-validation overestimated the error by 1%, 4%, 0%, and 4%, with the bootstrap doing about the same. Hence the extra work involved in computing a cross-validation or bootstrap measure is worthwhile, if an accurate estimate of test error is required. With other fitting methods like trees, cross-validation and bootstrap can underestimate the true error by 10%, because the search for best tree is strongly affected by the validation set. In these situations only a separate test set will provide an unbiased estimate of test error.
7.12 Conditional or Expected Test Error?

Figures 7.14 and 7.15 examine the question of whether cross-validation does a good job in estimating ErrT , the error conditional on a given training set T (expression (7.15) on page 228), as opposed to the expected test error. For each of 100 training sets generated from the “reg/linear” setting in the top-right panel of Figure 7.3, Figure 7.14 shows the conditional error curves ErrT as a function of subset size (top left). The next two panels show 10-fold and N-fold cross-validation, the latter also known as leave-one-out (LOO). The thick red curve in each plot is the expected error Err, while the thick black curves are the expected cross-validation curves. The lower right panel shows how well cross-validation approximates the conditional and expected error.
One might have expected N-fold CV to approximate ErrT well, since it almost uses the full training sample to fit a new test point. 10-fold CV, on the other hand, might be expected to estimate Err well, since it averages over somewhat different training sets. From the figure it appears 10-fold does a better job than N-fold in estimating ErrT , and estimates Err even better. Indeed, the similarity of the two black curves with the red curve suggests both CV curves are approximately unbiased for Err, with 10-fold having less variance. Similar trends were reported by Efron (1983).
Figure 7.15 shows scatterplots of both 10-fold and N-fold cross-validation error estimates versus the true conditional error for the 100 simulations. Although the scatterplots do not indicate much correlation, the lower right panel shows that for the most part the correlations are negative, a curious phenomenon that has been observed before. This negative correlation explains why neither form of CV estimates ErrT well. The broken lines in each plot are drawn at Err(p), the expected error for the best subset of size p. We see again that both forms of CV are approximately unbiased for expected error, but the variation in test error for different training sets is quite substantial.
Among the four experimental conditions in 7.3, this “reg/linear” scenario showed the highest correlation between actual and predicted test error. This

FIGURE 7.14. Conditional prediction-error ErrT , 10-fold cross-validation, and leave-one-out cross-validation curves for a 100 simulations from the top-right panel in Figure 7.3. The thick red curve is the expected prediction error Err, while the thick black curves are the expected CV curves ET CV10 and ET CVN . The lower-right panel shows the mean absolute deviation of the CV curves from the conditional error, ET |CVK − ErrT | for K = 10 (blue) and K = N (green), as well as from the expected error ET |CV10 − Err| (orange).

FIGURE 7.15. Plots of the CV estimates of error versus the true conditional error for each of the 100 training sets, for the simulation setup in the top right panel Figure 7.3. Both 10-fold and leave-one-out CV are depicted in different colors. The first three panels correspond to different subset sizes p, and vertical and horizontal lines are drawn at Err(p). Although there appears to be little correlation in these plots, we see in the lower right panel that for the most part the correlation is negative.
phenomenon also occurs for bootstrap estimates of error, and we would guess, for any other estimate of conditional prediction error.
We conclude that estimation of test error for a particular training set is not easy in general, given just the data from that same training set. Instead, cross-validation and related methods may provide reasonable estimates of the expected error Err.
Bibliographic Notes
Key references for cross-validation are Stone (1974), Stone (1977) and Allen (1974). The AIC was proposed by Akaike (1973), while the BIC was introduced by Schwarz (1978). Madigan and Raftery (1994) give an overview of Bayesian model selection. The MDL criterion is due to Rissanen (1983). Cover and Thomas (1991) contains a good description of coding theory and complexity. VC dimension is described in Vapnik (1996). Stone (1977) showed that the AIC and leave-one out cross-validation are asymptotically equivalent. Generalized cross-validation is described by Golub et al. (1979) and Wahba (1980); a further discussion of the topic may be found in the monograph by Wahba (1990). See also Hastie and Tibshirani (1990), Chapter 3. The bootstrap is due to Efron (1979); see Efron and Tibshirani (1993) for an overview. Efron (1983) proposes a number of bootstrap estimates of prediction error, including the optimism and .632 estimates. Efron (1986) compares CV, GCV and bootstrap estimates of error rates. The use of cross-validation and the bootstrap for model selection is studied by Breiman and Spector (1992), Breiman (1992), Shao (1996), Zhang (1993) and Kohavi (1995). The .632+ estimator was proposed by Efron and Tibshirani (1997).
Cherkassky and Ma (2003) published a study on the performance of SRM for model selection in regression, in response to our study of section 7.9.1. They complained that we had been unfair to SRM because had not applied it properly. Our response can be found in the same issue of the journal (Hastie et al. (2003)).
Exercises
Ex. 7.1 Derive the estimate of in-sample error (7.24).
Ex. 7.2 For 0–1 loss with Y ∈ {0, 1} and Pr(Y = 1|x0) = f(x0), show that
\[\begin{aligned} \text{Err}(x\_0) &= \text{Pr}(Y \neq \mathring{G}(x\_0) | X = x\_0) \\ &= \text{Err}\_{\mathcal{B}}(x\_0) + |2f(x\_0) - 1| \text{Pr}(\mathring{G}(x\_0) \neq G(x\_0) | X = x\_0), \end{aligned} \tag{7.62}\]
258 7. Model Assessment and Selection
where Gˆ(x) = I( ˆf(x) > 1 2 ), G(x) = I(f(x) > 1 2 ) is the Bayes classifier, and ErrB(x0) = Pr(Y ̸= G(x0)|X = x0), the irreducible Bayes error at x0. Using the approximation ˆf(x0) ∼ N(E ˆf(x0), Var( ˆf(x0)), show that
\[\Pr(\hat{G}(x\_0) \neq G(x\_0) | X = x\_0) \approx \Phi\left(\frac{\text{sign}(\frac{1}{2} - f(x\_0))(\text{E}\hat{f}(x\_0) - \frac{1}{2})}{\sqrt{\text{Var}(\hat{f}(x\_0))}}\right). \tag{7.63}\]
In the above,
\[ \Phi(t) = \frac{1}{\sqrt{2\pi}} \int\_{-\infty}^{t} \exp(-t^2/2)dt, \]
the cumulative Gaussian distribution function. This is an increasing function, with value 0 at t = −∞ and value 1 at t = +∞.
We can think of sign( 1 2 − f(x0))(E ˆf(x0) − 1 2 ) as a kind of boundarybias term, as it depends on the true f(x0) only through which side of the boundary ( 1 2 ) that it lies. Notice also that the bias and variance combine in a multiplicative rather than additive fashion. If E ˆf(x0) is on the same side of 1 2 as f(x0), then the bias is negative, and decreasing the variance will decrease the misclassification error. On the other hand, if E ˆf(x0) is on the opposite side of 1 2 to f(x0), then the bias is positive and it pays to increase the variance! Such an increase will improve the chance that ˆf(x0) falls on the correct side of 1 2 (Friedman, 1997).
Ex. 7.3 Let ˆf = Sy be a linear smoothing of y.
- If Sii is the ith diagonal element of S, show that for S arising from least squares projections and cubic smoothing splines, the cross-validated residual can be written as
\[y\_i - \hat{f}^{-i}(x\_i) = \frac{y\_i - \hat{f}(x\_i)}{1 - S\_{ii}}.\tag{7.64}\]
- Use this result to show that |yi − ˆf −i (xi)| ≥ |yi − ˆf(xi)|.
- Find general conditions on any smoother S to make result (7.64) hold.
Ex. 7.4 Consider the in-sample prediction error (7.18) and the training error err in the case of squared-error loss:
\[\begin{aligned} \text{Err}\_{\text{in}} &= \quad \frac{1}{N} \sum\_{i=1}^{N} \text{E}\_{Y^0} (Y\_i^0 - \hat{f}(x\_i))^2, \\\overline{\text{err}} &= \quad \frac{1}{N} \sum\_{i=1}^{N} (y\_i - \hat{f}(x\_i))^2. \end{aligned}\]
Add and subtract f(xi) and E ˆf(xi) in each expression and expand. Hence establish that the average optimism in the training error is
\[\frac{2}{N} \sum\_{i=1}^{N} \text{Cov}(\hat{y}\_i, y\_i),\]
as given in (7.21).
Ex. 7.5 For a linear smoother yˆ = Sy, show that
\[\sum\_{i=1}^{N} \text{Cov}(\hat{y}\_i, y\_i) = \text{trace}(\mathbf{S}) \sigma\_\varepsilon^2,\tag{7.65}\]
which justifies its use as the effective number of parameters.
Ex. 7.6 Show that for an additive-error model, the effective degrees-offreedom for the k-nearest-neighbors regression fit is N/k.
Ex. 7.7 Use the approximation 1/(1−x)2 ≈ 1+2x to expose the relationship between Cp/AIC (7.26) and GCV (7.52), the main difference being the model used to estimate the noise variance σ2 ε .
Ex. 7.8 Show that the set of functions {I(sin(αx) > 0)} can shatter the following points on the line:
\[z^1 = 10^{-1}, \dots, z^\ell = 10^{-\ell},\tag{7.66}\]
for any ℓ. Hence the VC dimension of the class {I(sin(αx) > 0)} is infinite.
Ex. 7.9 For the prostate data of Chapter 3, carry out a best-subset linear regression analysis, as in Table 3.3 (third column from left). Compute the AIC, BIC, five- and tenfold cross-validation, and bootstrap .632 estimates of prediction error. Discuss the results.
Ex. 7.10 Referring to the example in Section 7.10.3, suppose instead that all of the p predictors are binary, and hence there is no need to estimate split points. The predictors are independent of the class labels as before. Then if p is very large, we can probably find a predictor that splits the entire training data perfectly, and hence would split the validation data (one-fifth of data) perfectly as well. This predictor would therefore have zero cross-validation error. Does this mean that cross-validation does not provide a good estimate of test error in this situation? [This question was suggested by Li Ma.]
260 7. Model Assessment and Selection
This is page 261 Printer: Opaque this
8 Model Inference and Averaging
8.1 Introduction
For most of this book, the fitting (learning) of models has been achieved by minimizing a sum of squares for regression, or by minimizing cross-entropy for classification. In fact, both of these minimizations are instances of the maximum likelihood approach to fitting.
In this chapter we provide a general exposition of the maximum likelihood approach, as well as the Bayesian method for inference. The bootstrap, introduced in Chapter 7, is discussed in this context, and its relation to maximum likelihood and Bayes is described. Finally, we present some related techniques for model averaging and improvement, including committee methods, bagging, stacking and bumping.
8.2 The Bootstrap and Maximum Likelihood Methods
8.2.1 A Smoothing Example
The bootstrap method provides a direct computational way of assessing uncertainty, by sampling from the training data. Here we illustrate the bootstrap in a simple one-dimensional smoothing problem, and show its connection to maximum likelihood.

FIGURE 8.1. (Left panel): Data for smoothing example. (Right panel:) Set of seven B-spline basis functions. The broken vertical lines indicate the placement of the three knots.
Denote the training data by Z = {z1, z2,…,zN }, with zi = (xi, yi), i = 1, 2,…,N. Here xi is a one-dimensional input, and yi the outcome, either continuous or categorical. As an example, consider the N = 50 data points shown in the left panel of Figure 8.1.
Suppose we decide to fit a cubic spline to the data, with three knots placed at the quartiles of the X values. This is a seven-dimensional linear space of functions, and can be represented, for example, by a linear expansion of B-spline basis functions (see Section 5.9.2):
\[ \mu(x) \quad = \sum\_{j=1}^{7} \beta\_j h\_j(x). \tag{8.1} \]
Here the hj (x), j = 1, 2,…, 7 are the seven functions shown in the right panel of Figure 8.1. We can think of µ(x) as representing the conditional mean E(Y |X = x).
Let H be the N ×7 matrix with ijth element hj (xi). The usual estimate of β, obtained by minimizing the squared error over the training set, is given by
\[ \hat{\boldsymbol{\beta}} = (\mathbf{H}^T \mathbf{H})^{-1} \mathbf{H}^T \mathbf{y}. \tag{8.2} \]
The corresponding fit ˆµ(x) = (7 j=1 βˆjhj (x) is shown in the top left panel of Figure 8.2.
The estimated covariance matrix of βˆ is
\[ \widehat{\rm Var}(\boldsymbol{\beta}) = (\mathbf{H}^T \mathbf{H})^{-1} \boldsymbol{\hat{\sigma}}^2,\tag{8.3} \]
where we have estimated the noise variance by ˆσ2 = (N i=1(yi − µˆ(xi))2/N. Letting h(x)T = (h1(x), h2(x),…,h7(x)), the standard error of a predic-

FIGURE 8.2. (Top left:) B-spline smooth of data. (Top right:) B-spline smooth plus and minus 1.96× standard error bands. (Bottom left:) Ten bootstrap replicates of the B-spline smooth. (Bottom right:) B-spline smooth with 95% standard error bands computed from the bootstrap distribution.
264 8. Model Inference and Averaging
tion ˆµ(x) = h(x)T βˆ is
\[\hat{\mathbf{s}}\hat{\mathbf{e}}[\hat{\mu}(x)] = [h(x)^T(\mathbf{H}^T\mathbf{H})^{-1}h(x)]^{\frac{1}{2}}\hat{\sigma}.\tag{8.4}\]
In the top right panel of Figure 8.2 we have plotted ˆµ(x)±1.96 ·se[ˆ Q µ(x)]. Since 1.96 is the 97.5% point of the standard normal distribution, these represent approximate 100 − 2 × 2.5% = 95% pointwise confidence bands for µ(x).
Here is how we could apply the bootstrap in this example. We draw B datasets each of size N = 50 with replacement from our training data, the sampling unit being the pair zi = (xi, yi). To each bootstrap dataset Z∗ we fit a cubic spline ˆµ∗(x); the fits from ten such samples are shown in the bottom left panel of Figure 8.2. Using B = 200 bootstrap samples, we can form a 95% pointwise confidence band from the percentiles at each x: we find the 2.5% ×200 = fifth largest and smallest values at each x. These are plotted in the bottom right panel of Figure 8.2. The bands look similar to those in the top right, being a little wider at the endpoints.
There is actually a close connection between the least squares estimates (8.2) and (8.3), the bootstrap, and maximum likelihood. Suppose we further assume that the model errors are Gaussian,
\[\begin{array}{rcl} Y & = & \mu(X) + \varepsilon; \ \varepsilon \sim N(0, \sigma^2), \\ \mu(x) & = & \sum\_{j=1}^{7} \beta\_j h\_j(x). \end{array} \tag{8.5}\]
The bootstrap method described above, in which we sample with replacement from the training data, is called the nonparametric bootstrap. This really means that the method is “model-free,” since it uses the raw data, not a specific parametric model, to generate new datasets. Consider a variation of the bootstrap, called the parametric bootstrap, in which we simulate new responses by adding Gaussian noise to the predicted values:
\[y\_i^\* = \hat{\mu}(x\_i) + \varepsilon\_i^\*; \quad \varepsilon\_i^\* \sim N(0, \hat{\sigma}^2); \ i = 1, 2, \dots, N. \tag{8.6}\]
This process is repeated B times, where B = 200 say. The resulting bootstrap datasets have the form (x1, y∗ 1),…,(xN , y∗ N ) and we recompute the B-spline smooth on each. The confidence bands from this method will exactly equal the least squares bands in the top right panel, as the number of bootstrap samples goes to infinity. A function estimated from a bootstrap sample y∗ is given by ˆµ∗(x) = h(x)T (HT H)−1HT y∗, and has distribution
\[ \hat{\mu}^\*(x) \sim N(\hat{\mu}(x), h(x)^T (\mathbf{H}^T \mathbf{H})^{-1} h(x) \hat{\sigma}^2). \tag{8.7} \]
Notice that the mean of this distribution is the least squares estimate, and the standard deviation is the same as the approximate formula (8.4).
8.2.2 Maximum Likelihood Inference
It turns out that the parametric bootstrap agrees with least squares in the previous example because the model (8.5) has additive Gaussian errors. In general, the parametric bootstrap agrees not with least squares but with maximum likelihood, which we now review.
We begin by specifying a probability density or probability mass function for our observations
\[z\_i \sim g\_\theta(z). \tag{8.8}\]
In this expression θ represents one or more unknown parameters that govern the distribution of Z. This is called a parametric model for Z. As an example, if Z has a normal distribution with mean µ and variance σ2, then
\[\theta = (\mu, \sigma^2), \tag{8.9}\]
and
\[g\_{\theta}(z) = \frac{1}{\sqrt{2\pi}\sigma} e^{-\frac{1}{2}(z-\mu)^2/\sigma^2}.\tag{8.10}\]
Maximum likelihood is based on the likelihood function, given by
\[L(\theta; \mathbf{Z}) = \prod\_{i=1}^{N} g\_{\theta}(z\_i), \tag{8.11}\]
the probability of the observed data under the model gθ. The likelihood is defined only up to a positive multiplier, which we have taken to be one. We think of L(θ; Z) as a function of θ, with our data Z fixed.
Denote the logarithm of L(θ; Z) by
\[\begin{aligned} \ell(\boldsymbol{\theta}; \mathbf{Z}) &= \sum\_{i=1}^{N} \ell(\boldsymbol{\theta}; z\_i) \\ &= \sum\_{i=1}^{N} \log g\_{\boldsymbol{\theta}}(z\_i), \end{aligned} \tag{8.12}\]
which we will sometimes abbreviate as ℓ(θ). This expression is called the log-likelihood, and each value ℓ(θ; zi) = log gθ(zi) is called a log-likelihood component. The method of maximum likelihood chooses the value θ = ˆθ to maximize ℓ(θ; Z).
The likelihood function can be used to assess the precision of ˆθ. We need a few more definitions. The score function is defined by
\[\dot{\ell}(\theta; \mathbf{Z}) = \sum\_{i=1}^{N} \dot{\ell}(\theta; z\_i), \tag{8.13}\]
266 8. Model Inference and Averaging
where ˙ ℓ(θ; zi) = ∂ℓ(θ; zi)/∂θ. Assuming that the likelihood takes its maximum in the interior of the parameter space, ˙ ℓ(ˆθ; Z) = 0. The information matrix is
\[\mathbf{I}(\theta) = -\sum\_{i=1}^{N} \frac{\partial^2 \ell(\theta; z\_i)}{\partial \theta \partial \theta^T}. \tag{8.14}\]
When I(θ) is evaluated at θ = ˆθ, it is often called the observed information. The Fisher information (or expected information) is
\[\mathbf{i}(\theta) = \mathbf{E}\_{\theta}[\mathbf{I}(\theta)].\tag{8.15}\]
Finally, let θ0 denote the true value of θ.
A standard result says that the sampling distribution of the maximum likelihood estimator has a limiting normal distribution
\[ \hat{\theta} \to N(\theta\_0, \mathbf{i}(\theta\_0)^{-1}), \tag{8.16} \]
as N → ∞. Here we are independently sampling from gθ0 (z). This suggests that the sampling distribution of ˆθ may be approximated by
\[N(\hat{\theta}, \mathbf{i}(\hat{\theta})^{-1}) \text{ or } N(\hat{\theta}, \mathbf{I}(\hat{\theta})^{-1}),\tag{8.17}\]
where ˆθ represents the maximum likelihood estimate from the observed data.
The corresponding estimates for the standard errors of ˆθj are obtained from
\[ \sqrt{\hat{\mathbf{i}(\hat{\theta})}\_{jj}^{-1}} \qquad \text{and} \qquad \sqrt{\hat{\mathbf{I}(\hat{\theta})}\_{jj}^{-1}}.\tag{8.18} \]
Confidence points for θj can be constructed from either approximation in (8.17). Such a confidence point has the form
\[ \hat{\theta}\_j - z^{(1-\alpha)} \cdot \sqrt{\mathbf{i}(\hat{\theta})^{-1}\_{jj}} \qquad \text{or} \qquad \hat{\theta}\_j - z^{(1-\alpha)} \cdot \sqrt{\mathbf{I}(\hat{\theta})^{-1}\_{jj}}, \]
respectively, where z(1−α) is the 1 − α percentile of the standard normal distribution. More accurate confidence intervals can be derived from the likelihood function, by using the chi-squared approximation
\[2[\ell(\hat{\theta}) - \ell(\theta\_0)] \sim \chi\_p^2,\tag{8.19}\]
where p is the number of components in θ. The resulting 1 − 2α confidence interval is the set of all θ0 such that 2[ℓ(ˆθ) − ℓ(θ0)] ≤ χ2 p (1−2α) , where χ2 p (1−2α) is the 1−2α percentile of the chi-squared distribution with p degrees of freedom.
Let’s return to our smoothing example to see what maximum likelihood yields. The parameters are θ = (β, σ2). The log-likelihood is
\[\ell(\theta) = -\frac{N}{2}\log\sigma^2 2\pi - \frac{1}{2\sigma^2} \sum\_{i=1}^{N} (y\_i - h(x\_i)^T\beta)^2. \tag{8.20}\]
The maximum likelihood estimate is obtained by setting ∂ℓ/∂β = 0 and ∂ℓ/∂σ2 = 0, giving
\[\begin{aligned} \hat{\boldsymbol{\beta}} &= (\mathbf{H}^T \mathbf{H})^{-1} \mathbf{H}^T \mathbf{y}, \\ \hat{\sigma}^2 &= \frac{1}{N} \sum (y\_i - \hat{\mu}(x\_i))^2, \end{aligned} \tag{8.21}\]
which are the same as the usual estimates given in (8.2) and below (8.3).
The information matrix for θ = (β, σ2) is block-diagonal, and the block corresponding to β is
\[\mathbf{I}(\beta) = (\mathbf{H}^T \mathbf{H}) / \sigma^2,\tag{8.22}\]
so that the estimated variance (HT H)−1σˆ2 agrees with the least squares estimate (8.3).
8.2.3 Bootstrap versus Maximum Likelihood
In essence the bootstrap is a computer implementation of nonparametric or parametric maximum likelihood. The advantage of the bootstrap over the maximum likelihood formula is that it allows us to compute maximum likelihood estimates of standard errors and other quantities in settings where no formulas are available.
In our example, suppose that we adaptively choose by cross-validation the number and position of the knots that define the B-splines, rather than fix them in advance. Denote by λ the collection of knots and their positions. Then the standard errors and confidence bands should account for the adaptive choice of λ, but there is no way to do this analytically. With the bootstrap, we compute the B-spline smooth with an adaptive choice of knots for each bootstrap sample. The percentiles of the resulting curves capture the variability from both the noise in the targets as well as that from λˆ. In this particular example the confidence bands (not shown) don’t look much different than the fixed λ bands. But in other problems, where more adaptation is used, this can be an important effect to capture.
8.3 Bayesian Methods
In the Bayesian approach to inference, we specify a sampling model Pr(Z|θ) (density or probability mass function) for our data given the parameters,
268 8. Model Inference and Averaging
and a prior distribution for the parameters Pr(θ) reflecting our knowledge about θ before we see the data. We then compute the posterior distribution
\[\Pr(\theta|\mathbf{Z}) = \frac{\Pr(\mathbf{Z}|\theta) \cdot \Pr(\theta)}{\int \Pr(\mathbf{Z}|\theta) \cdot \Pr(\theta) d\theta},\tag{8.23}\]
which represents our updated knowledge about θ after we see the data. To understand this posterior distribution, one might draw samples from it or summarize by computing its mean or mode. The Bayesian approach differs from the standard (“frequentist”) method for inference in its use of a prior distribution to express the uncertainty present before seeing the data, and to allow the uncertainty remaining after seeing the data to be expressed in the form of a posterior distribution.
The posterior distribution also provides the basis for predicting the values of a future observation znew, via the predictive distribution:
\[\Pr(z^{\text{new}}|\mathbf{Z}) = \int \Pr(z^{\text{new}}|\theta) \cdot \Pr(\theta|\mathbf{Z}) d\theta. \tag{8.24}\]
In contrast, the maximum likelihood approach would use Pr(znew|ˆθ), the data density evaluated at the maximum likelihood estimate, to predict future data. Unlike the predictive distribution (8.24), this does not account for the uncertainty in estimating θ.
Let’s walk through the Bayesian approach in our smoothing example. We start with the parametric model given by equation (8.5), and assume for the moment that σ2 is known. We assume that the observed feature values x1, x2,…,xN are fixed, so that the randomness in the data comes solely from y varying around its mean µ(x).
The second ingredient we need is a prior distribution. Distributions on functions are fairly complex entities: one approach is to use a Gaussian process prior in which we specify the prior covariance between any two function values µ(x) and µ(x′ ) (Wahba, 1990; Neal, 1996).
Here we take a simpler route: by considering a finite B-spline basis for µ(x), we can instead provide a prior for the coefficients β, and this implicitly defines a prior for µ(x). We choose a Gaussian prior centered at zero
\[ \beta \sim N(0, \tau \Sigma) \tag{8.25} \]
with the choices of the prior correlation matrix Σ and variance τ to be discussed below. The implicit process prior for µ(x) is hence Gaussian, with covariance kernel
\[\begin{aligned} K(x, x') &= \quad \text{cov}[\mu(x), \mu(x')]\\ &= \quad \tau \cdot h(x)^T \Sigma h(x'). \end{aligned} \tag{8.26}\]

FIGURE 8.3. Smoothing example: Ten draws from the Gaussian prior distribution for the function µ(x).
The posterior distribution for β is also Gaussian, with mean and covariance
\[\begin{aligned} \mathbf{E}(\beta|\mathbf{Z}) &= \left(\mathbf{H}^T \mathbf{H} + \frac{\sigma^2}{\tau} \mathbf{Z}^{-1}\right)^{-1} \mathbf{H}^T \mathbf{y}, \\ \text{cov}(\beta|\mathbf{Z}) &= \left(\mathbf{H}^T \mathbf{H} + \frac{\sigma^2}{\tau} \mathbf{Z}^{-1}\right)^{-1} \sigma^2, \end{aligned} \tag{8.27}\]
with the corresponding posterior values for µ(x),
\[\begin{aligned} \mathbf{E}(\boldsymbol{\mu}(\boldsymbol{x})|\mathbf{Z}) &= h(\boldsymbol{x})^T \left(\mathbf{H}^T \mathbf{H} + \frac{\sigma^2}{\tau} \boldsymbol{\Sigma}^{-1}\right)^{-1} \mathbf{H}^T \mathbf{y}, \\ \text{cov}[\boldsymbol{\mu}(\boldsymbol{x}), \boldsymbol{\mu}(\boldsymbol{x}')|\mathbf{Z}] &= h(\boldsymbol{x})^T \left(\mathbf{H}^T \mathbf{H} + \frac{\sigma^2}{\tau} \boldsymbol{\Sigma}^{-1}\right)^{-1} h(\boldsymbol{x}') \sigma^2. \end{aligned} \tag{8.28}\]
How do we choose the prior correlation matrix Σ? In some settings the prior can be chosen from subject matter knowledge about the parameters. Here we are willing to say the function µ(x) should be smooth, and have guaranteed this by expressing µ in a smooth low-dimensional basis of Bsplines. Hence we can take the prior correlation matrix to be the identity Σ = I. When the number of basis functions is large, this might not be sufficient, and additional smoothness can be enforced by imposing restrictions on Σ; this is exactly the case with smoothing splines (Section 5.8.1).
Figure 8.3 shows ten draws from the corresponding prior for µ(x). To generate posterior values of the function µ(x), we generate values β′ from its posterior (8.27), giving corresponding posterior value µ′ (x) = (7 1 β′ jhj (x). Ten such posterior curves are shown in Figure 8.4. Two different values were used for the prior variance τ , 1 and 1000. Notice how similar the right panel looks to the bootstrap distribution in the bottom left panel

FIGURE 8.4. Smoothing example: Ten draws from the posterior distribution for the function µ(x), for two different values of the prior variance τ . The purple curves are the posterior means.
of Figure 8.2 on page 263. This similarity is no accident. As τ → ∞, the posterior distribution (8.27) and the bootstrap distribution (8.7) coincide. On the other hand, for τ = 1, the posterior curves µ(x) in the left panel of Figure 8.4 are smoother than the bootstrap curves, because we have imposed more prior weight on smoothness.
The distribution (8.25) with τ → ∞ is called a noninformative prior for θ. In Gaussian models, maximum likelihood and parametric bootstrap analyses tend to agree with Bayesian analyses that use a noninformative prior for the free parameters. These tend to agree, because with a constant prior, the posterior distribution is proportional to the likelihood. This correspondence also extends to the nonparametric case, where the nonparametric bootstrap approximates a noninformative Bayes analysis; Section 8.4 has the details.
We have, however, done some things that are not proper from a Bayesian point of view. We have used a noninformative (constant) prior for σ2 and replaced it with the maximum likelihood estimate ˆσ2 in the posterior. A more standard Bayesian analysis would also put a prior on σ (typically g(σ) ∝ 1/σ), calculate a joint posterior for µ(x) and σ, and then integrate out σ, rather than just extract the maximum of the posterior distribution (“MAP” estimate).
8.4 Relationship Between the Bootstrap and Bayesian Inference
Consider first a very simple example, in which we observe a single observation z from a normal distribution
\[z \sim N(\theta, 1). \tag{8.29}\]
To carry out a Bayesian analysis for θ, we need to specify a prior. The most convenient and common choice would be θ ∼ N(0, τ ) giving posterior distribution
\[ \theta|z \sim N\left(\frac{z}{1 + 1/\tau}, \frac{1}{1 + 1/\tau}\right). \tag{8.30} \]
Now the larger we take τ , the more concentrated the posterior becomes around the maximum likelihood estimate ˆθ = z. In the limit as τ → ∞ we obtain a noninformative (constant) prior, and the posterior distribution is
\[ \theta|z \sim N(z, 1). \tag{8.31} \]
This is the same as a parametric bootstrap distribution in which we generate bootstrap values z∗ from the maximum likelihood estimate of the sampling density N(z, 1).
There are three ingredients that make this correspondence work:
- The choice of noninformative prior for θ.
- The dependence of the log-likelihood ℓ(θ; Z) on the data Z only through the maximum likelihood estimate ˆθ. Hence we can write the log-likelihood as ℓ(θ; ˆθ).
- The symmetry of the log-likelihood in θ and ˆθ, that is, ℓ(θ; ˆθ) = ℓ(ˆθ; θ) + constant.
Properties (2) and (3) essentially only hold for the Gaussian distribution. However, they also hold approximately for the multinomial distribution, leading to a correspondence between the nonparametric bootstrap and Bayes inference, which we outline next.
Assume that we have a discrete sample space with L categories. Let wj be the probability that a sample point falls in category j, and ˆwj the observed proportion in category j. Let w = (w1, w2,…,wL), wˆ = (ˆw1, wˆ2,…, wˆL). Denote our estimator by S( ˆw); take as a prior distribution for w a symmetric Dirichlet distribution with parameter a:
\[w \sim \text{Di}\_L(a1),\tag{8.32}\]
272 8. Model Inference and Averaging
that is, the prior probability mass function is proportional to NL ℓ=1 wa−1 ℓ . Then the posterior density of w is
\[w \sim \text{Di}\_L(a1 + N\hat{w}),\tag{8.33}\]
where N is the sample size. Letting a → 0 to obtain a noninformative prior gives
\[w \sim \text{Di}\_L(N\hat{w}).\tag{8.34}\]
Now the bootstrap distribution, obtained by sampling with replacement from the data, can be expressed as sampling the category proportions from a multinomial distribution. Specifically,
\[N\hat{w}^\* \sim \text{Mult}(N, \hat{w}),\tag{8.35}\]
where Mult(N, wˆ) denotes a multinomial distribution, having probability mass function $ N Nwˆ∗ 1 ,…,Nwˆ∗ L % N wˆ Nwˆ∗ ℓ ℓ . This distribution is similar to the posterior distribution above, having the same support, same mean, and nearly the same covariance matrix. Hence the bootstrap distribution of S( ˆw∗) will closely approximate the posterior distribution of S(w).
In this sense, the bootstrap distribution represents an (approximate) nonparametric, noninformative posterior distribution for our parameter. But this bootstrap distribution is obtained painlessly—without having to formally specify a prior and without having to sample from the posterior distribution. Hence we might think of the bootstrap distribution as a “poor man’s” Bayes posterior. By perturbing the data, the bootstrap approximates the Bayesian effect of perturbing the parameters, and is typically much simpler to carry out.
8.5 The EM Algorithm
The EM algorithm is a popular tool for simplifying difficult maximum likelihood problems. We first describe it in the context of a simple mixture model.
8.5.1 Two-Component Mixture Model
In this section we describe a simple mixture model for density estimation, and the associated EM algorithm for carrying out maximum likelihood estimation. This has a natural connection to Gibbs sampling methods for Bayesian inference. Mixture models are discussed and demonstrated in several other parts of the book, in particular Sections 6.8, 12.7 and 13.2.3.
The left panel of Figure 8.5 shows a histogram of the 20 fictitious data points in Table 8.1.

FIGURE 8.5. Mixture example. (Left panel:) Histogram of data. (Right panel:) Maximum likelihood fit of Gaussian densities (solid red) and responsibility (dotted green) of the left component density for observation y, as a function of y.
TABLE 8.1. Twenty fictitious data points used in the two-component mixture example in Figure 8.5.
| -0.39 | 0.12 | 0.94 | 1.67 | 1.76 | 2.44 | 3.72 | 4.28 | 4.92 | 5.53 |
|---|---|---|---|---|---|---|---|---|---|
| 0.06 | 0.48 | 1.01 | 1.68 | 1.80 | 3.25 | 4.12 | 4.60 | 5.28 | 6.22 |
We would like to model the density of the data points, and due to the apparent bi-modality, a Gaussian distribution would not be appropriate. There seems to be two separate underlying regimes, so instead we model Y as a mixture of two normal distributions:
\[\begin{aligned} Y\_1 &\sim \quad N(\mu\_1, \sigma\_1^2), \\ Y\_2 &\sim \quad N(\mu\_2, \sigma\_2^2), \\ Y\_3 &= \quad (1 - \Delta) \cdot Y\_1 + \Delta \cdot Y\_2, \end{aligned} \tag{8.36}\]
where ∆ ∈ {0, 1} with Pr(∆ = 1) = π. This generative representation is explicit: generate a ∆ ∈ {0, 1} with probability π, and then depending on the outcome, deliver either Y1 or Y2. Let φθ(x) denote the normal density with parameters θ = (µ, σ2). Then the density of Y is
\[g\_Y(y) = (1 - \pi)\phi\_{\theta\_1}(y) + \pi\phi\_{\theta\_2}(y). \tag{8.37}\]
Now suppose we wish to fit this model to the data in Figure 8.5 by maximum likelihood. The parameters are
\[\theta = (\pi, \theta\_1, \theta\_2) = (\pi, \mu\_1, \sigma\_1^2, \mu\_2, \sigma\_2^2). \tag{8.38}\]
The log-likelihood based on the N training cases is
\[\ell(\theta; \mathbf{Z}) = \sum\_{i=1}^{N} \log[(1 - \pi)\phi\_{\theta\_1}(y\_i) + \pi\phi\_{\theta\_2}(y\_i)].\tag{8.39}\]
274 8. Model Inference and Averaging
Direct maximization of ℓ(θ; Z) is quite difficult numerically, because of the sum of terms inside the logarithm. There is, however, a simpler approach. We consider unobserved latent variables ∆i taking values 0 or 1 as in (8.36): if ∆i = 1 then Yi comes from model 2, otherwise it comes from model 1. Suppose we knew the values of the ∆i’s. Then the log-likelihood would be
\[\begin{aligned} \ell\_0(\theta; \mathbf{Z}, \Delta) &= \sum\_{i=1}^N \left[ (1 - \Delta\_i) \log \phi\_{\theta\_1}(y\_i) + \Delta\_i \log \phi\_{\theta\_2}(y\_i) \right] \\ &+ \sum\_{i=1}^N \left[ (1 - \Delta\_i) \log(1 - \pi) + \Delta\_i \log \pi \right], \quad \text{(8.40)} \end{aligned}\]
and the maximum likelihood estimates of µ1 and σ2 1 would be the sample mean and variance for those data with ∆i = 0, and similarly those for µ2 and σ2 2 would be the sample mean and variance of the data with ∆i = 1. The estimate of π would be the proportion of ∆i = 1.
Since the values of the ∆i’s are actually unknown, we proceed in an iterative fashion, substituting for each ∆i in (8.40) its expected value
\[\gamma\_i(\theta) = \operatorname{E}(\Delta\_i | \theta, \mathbf{Z}) = \operatorname{Pr}(\Delta\_i = 1 | \theta, \mathbf{Z}), \tag{8.41}\]
also called the responsibility of model 2 for observation i. We use a procedure called the EM algorithm, given in Algorithm 8.1 for the special case of Gaussian mixtures. In the expectation step, we do a soft assignment of each observation to each model: the current estimates of the parameters are used to assign responsibilities according to the relative density of the training points under each model. In the maximization step, these responsibilities are used in weighted maximum-likelihood fits to update the estimates of the parameters.
A good way to construct initial guesses for ˆµ1 and ˆµ2 is simply to choose two of the yi at random. Both ˆσ2 1 and ˆσ2 2 can be set equal to the overall sample variance (N i=1(yi −y¯)2/N. The mixing proportion ˆπ can be started at the value 0.5.
Note that the actual maximizer of the likelihood occurs when we put a spike of infinite height at any one data point, that is, ˆµ1 = yi for some i and ˆσ2 1 = 0. This gives infinite likelihood, but is not a useful solution. Hence we are actually looking for a good local maximum of the likelihood, one for which ˆσ2 1, σˆ2 2 > 0. To further complicate matters, there can be more than one local maximum having ˆσ2 1, σˆ2 2 > 0. In our example, we ran the EM algorithm with a number of different initial guesses for the parameters, all having ˆσ2 k > 0.5, and chose the run that gave us the highest maximized likelihood. Figure 8.6 shows the progress of the EM algorithm in maximizing the log-likelihood. Table 8.2 shows ˆπ = ( i γˆi/N, the maximum likelihood estimate of the proportion of observations in class 2, at selected iterations of the EM procedure.
Algorithm 8.1 EM Algorithm for Two-component Gaussian Mixture.
Take initial guesses for the parameters ˆµ1, σˆ2 1, µˆ2, σˆ2 2, πˆ (see text).
Expectation Step: compute the responsibilities
\[\hat{\gamma}\_i = \frac{\hat{\pi}\phi\_{\hat{\theta}\_2}(y\_i)}{(1-\hat{\pi})\phi\_{\hat{\theta}\_1}(y\_i) + \hat{\pi}\phi\_{\hat{\theta}\_2}(y\_i)}, \ i = 1, 2, \dots, N. \tag{8.42}\]
- Maximization Step: compute the weighted means and variances:
\[\begin{aligned} \hat{\mu}\_1 &= \frac{\sum\_{i=1}^N (1 - \hat{\gamma}\_i) y\_i}{\sum\_{i=1}^N (1 - \hat{\gamma}\_i)}, & \hat{\sigma}\_1^2 &= \frac{\sum\_{i=1}^N (1 - \hat{\gamma}\_i)(y\_i - \hat{\mu}\_1)^2}{\sum\_{i=1}^N (1 - \hat{\gamma}\_i)}, \\\hat{\mu}\_2 &= \frac{\sum\_{i=1}^N \hat{\gamma}\_i y\_i}{\sum\_{i=1}^N \hat{\gamma}\_i}, & \hat{\sigma}\_2^2 &= \frac{\sum\_{i=1}^N \hat{\gamma}\_i (y\_i - \hat{\mu}\_2)^2}{\sum\_{i=1}^N \hat{\gamma}\_i}, \end{aligned}\]
and the mixing probability ˆπ = (N i=1 γˆi/N.
- Iterate steps 2 and 3 until convergence.
TABLE 8.2. Selected iterations of the EM algorithm for mixture example.
| Iteration | ˆπ |
|---|---|
| 1 | 0.485 |
| 5 | 0.493 |
| 10 | 0.523 |
| 15 | 0.544 |
| 20 | 0.546 |
The final maximum likelihood estimates are
\[\begin{aligned} \hat{\mu}\_1 &= 4.62, & \hat{\sigma}\_1^2 &= 0.87, \\ \hat{\mu}\_2 &= 1.06, & \hat{\sigma}\_2^2 &= 0.77, \\ \hat{\pi} &= 0.546. \end{aligned}\]
The right panel of Figure 8.5 shows the estimated Gaussian mixture density from this procedure (solid red curve), along with the responsibilities (dotted green curve). Note that mixtures are also useful for supervised learning; in Section 6.7 we show how the Gaussian mixture model leads to a version of radial basis functions.

FIGURE 8.6. EM algorithm: observed data log-likelihood as a function of the iteration number.
8.5.2 The EM Algorithm in General

The above procedure is an example of the EM (or Baum–Welch) algorithm for maximizing likelihoods in certain classes of problems. These problems are ones for which maximization of the likelihood is difficult, but made easier by enlarging the sample with latent (unobserved) data. This is called data augmentation. Here the latent data are the model memberships ∆i. In other problems, the latent data are actual data that should have been observed but are missing.
Algorithm 8.2 gives the general formulation of the EM algorithm. Our observed data is Z, having log-likelihood ℓ(θ; Z) depending on parameters θ. The latent or missing data is Zm, so that the complete data is T = (Z, Zm) with log-likelihood ℓ0(θ; T), ℓ0 based on the complete density. In the mixture problem (Z, Zm)=(y, ∆), and ℓ0(θ; T) is given in (8.40).
In our mixture example, E(ℓ0(θ′ ; T)|Z, ˆθ(j)) is simply (8.40) with the ∆i replaced by the responsibilities ˆγi(ˆθ), and the maximizers in step 3 are just weighted means and variances.
We now give an explanation of why the EM algorithm works in general. Since
\[\Pr(\mathbf{Z}^{m}|\mathbf{Z},\theta') = \frac{\Pr(\mathbf{Z}^{m},\mathbf{Z}|\theta')}{\Pr(\mathbf{Z}|\theta')},\tag{8.44}\]
we can write
\[\Pr(\mathbf{Z}|\theta') = \frac{\Pr(\mathbf{T}|\theta')}{\Pr(\mathbf{Z}^m|\mathbf{Z}, \theta')}.\tag{8.45}\]
In terms of log-likelihoods, we have ℓ(θ′ ; Z) = ℓ0(θ′ ; T)−ℓ1(θ′ ; Zm|Z), where ℓ1 is based on the conditional density Pr(Zm|Z, θ′ ). Taking conditional expectations with respect to the distribution of T|Z governed by parameter θ gives
\[\ell(\boldsymbol{\theta}'; \mathbf{Z}) \quad = \quad \mathbf{E}[\ell\_0(\boldsymbol{\theta}'; \mathbf{T})|\mathbf{Z}, \boldsymbol{\theta}] - \mathbf{E}[\ell\_1(\boldsymbol{\theta}'; \mathbf{Z}^m|\mathbf{Z})|\mathbf{Z}, \boldsymbol{\theta}]\]
Algorithm 8.2 The EM Algorithm.
- Start with initial guesses for the parameters ˆθ(0).
- Expectation Step: at the jth step, compute
\[Q(\theta', \hat{\theta}^{(j)}) = \mathbf{E}(\ell\_0(\theta'; \mathbf{T}) | \mathbf{Z}, \hat{\theta}^{(j)}) \tag{8.43}\]
as a function of the dummy argument θ′ .
- Maximization Step: determine the new estimate ˆθ(j+1) as the maximizer of Q(θ′ , ˆθ(j)) over θ′ .
- Iterate steps 2 and 3 until convergence.
\[\equiv \quad Q(\theta', \theta) - R(\theta', \theta). \tag{8.46}\]
In the M step, the EM algorithm maximizes Q(θ′ , θ) over θ′ , rather than the actual objective function ℓ(θ′ ; Z). Why does it succeed in maximizing ℓ(θ′ ; Z)? Note that R(θ∗, θ) is the expectation of a log-likelihood of a density (indexed by θ∗), with respect to the same density indexed by θ, and hence (by Jensen’s inequality) is maximized as a function of θ∗, when θ∗ = θ (see Exercise 8.1). So if θ′ maximizes Q(θ′ , θ), we see that
\[\begin{aligned} \ell(\boldsymbol{\theta}'; \mathbf{Z}) - \ell(\boldsymbol{\theta}; \mathbf{Z}) &= \begin{bmatrix} Q(\boldsymbol{\theta}', \boldsymbol{\theta}) - Q(\boldsymbol{\theta}, \boldsymbol{\theta}) \end{bmatrix} - \begin{bmatrix} R(\boldsymbol{\theta}', \boldsymbol{\theta}) - R(\boldsymbol{\theta}, \boldsymbol{\theta}) \end{bmatrix} \\ &\geq \begin{array}{c} 0. \end{array} \end{aligned} \tag{8.47}\]
Hence the EM iteration never decreases the log-likelihood.
This argument also makes it clear that a full maximization in the M step is not necessary: we need only to find a value ˆθ(j+1) so that Q(θ′ , ˆθ(j)) increases as a function of the first argument, that is, Q(ˆθ(j+1), ˆθ(j)) > Q(ˆθ(j) , ˆθ(j)). Such procedures are called GEM (generalized EM) algorithms. The EM algorithm can also be viewed as a minorization procedure: see Exercise 8.7.
8.5.3 EM as a Maximization–Maximization Procedure

Here is a different view of the EM procedure, as a joint maximization algorithm. Consider the function
\[F(\theta', \tilde{P}) = \mathcal{E}\_{\tilde{P}}[\ell\_0(\theta'; \mathbf{T})] - \mathcal{E}\_{\tilde{P}}[\log \tilde{P}(\mathbf{Z}^m)].\tag{8.48}\]
Here P˜(Zm) is any distribution over the latent data Zm. In the mixture example, P˜(Zm) comprises the set of probabilities γi = Pr(∆i = 1|θ, Z). Note that F evaluated at P˜(Zm) = Pr(Zm|Z, θ′ ), is the log-likelihood of

FIGURE 8.7. Maximization–maximization view of the EM algorithm. Shown are the contours of the (augmented) observed data log-likelihood F(θ′ , P˜). The E step is equivalent to maximizing the log-likelihood over the parameters of the latent data distribution. The M step maximizes it over the parameters of the log-likelihood. The red curve corresponds to the observed data log-likelihood, a profile obtained by maximizing F(θ′ , P˜) for each value of θ′ .
the observed data, from (8.46)1. The function F expands the domain of the log-likelihood, to facilitate its maximization.
The EM algorithm can be viewed as a joint maximization method for F over θ′ and P˜(Zm), by fixing one argument and maximizing over the other. The maximizer over P˜(Zm) for fixed θ′ can be shown to be
\[ \tilde{P}(\mathbf{Z}^m) = \Pr(\mathbf{Z}^m | \mathbf{Z}, \theta') \tag{8.49} \]
(Exercise 8.2). This is the distribution computed by the E step, for example, (8.42) in the mixture example. In the M step, we maximize F(θ′ , P˜) over θ′ with P˜ fixed: this is the same as maximizing the first term EP˜[ℓ0(θ′ ; T)|Z, θ] since the second term does not involve θ′ .
Finally, since F(θ′ , P˜) and the observed data log-likelihood agree when P˜(Zm) = Pr(Zm|Z, θ′ ), maximization of the former accomplishes maximization of the latter. Figure 8.7 shows a schematic view of this process. This view of the EM algorithm leads to alternative maximization proce-
1 (8.46) holds for all θ, including θ = θ′ .
Algorithm 8.3 Gibbs Sampler.
- Take some initial values U(0) k , k = 1, 2,…,K.
- Repeat for t = 1, 2,…,. :
- For k = 1, 2,…,K generate U(t) k from Pr(U(t) k |U(t) 1 ,…,U(t) k−1, U(t−1) k+1 ,…,U(t−1) K ).
- Continue step 2 until the joint distribution of (U(t) 1 , U(t) 2 ,…,U(t) K ) does not change.
dures. For example, one does not need to maximize with respect to all of the latent data parameters at once, but could instead maximize over one of them at a time, alternating with the M step.
8.6 MCMC for Sampling from the Posterior
Having defined a Bayesian model, one would like to draw samples from the resulting posterior distribution, in order to make inferences about the parameters. Except for simple models, this is often a difficult computational problem. In this section we discuss the Markov chain Monte Carlo (MCMC) approach to posterior sampling. We will see that Gibbs sampling, an MCMC procedure, is closely related to the EM algorithm: the main difference is that it samples from the conditional distributions rather than maximizing over them.
Consider first the following abstract problem. We have random variables U1, U2,…,UK and we wish to draw a sample from their joint distribution. Suppose this is difficult to do, but it is easy to simulate from the conditional distributions Pr(Uj |U1, U2,…,Uj−1, Uj+1,…,UK), j = 1, 2,…,K. The Gibbs sampling procedure alternatively simulates from each of these distributions and when the process stabilizes, provides a sample from the desired joint distribution. The procedure is defined in Algorithm 8.3.
Under regularity conditions it can be shown that this procedure eventually stabilizes, and the resulting random variables are indeed a sample from the joint distribution of U1, U2,…,UK. This occurs despite the fact that the samples (U(t) 1 , U(t) 2 ,…,U(t) K ) are clearly not independent for different t. More formally, Gibbs sampling produces a Markov chain whose stationary distribution is the true joint distribution, and hence the term “Markov chain Monte Carlo.” It is not surprising that the true joint distribution is stationary under this process, as the successive steps leave the marginal distributions of the Uk’s unchanged.
280 8. Model Inference and Averaging
Note that we don’t need to know the explicit form of the conditional densities, but just need to be able to sample from them. After the procedure reaches stationarity, the marginal density of any subset of the variables can be approximated by a density estimate applied to the sample values. However if the explicit form of the conditional density Pr(Uk, |Uℓ, ℓ ̸= k) is available, a better estimate of say the marginal density of Uk can be obtained from (Exercise 8.3):
\[\widehat{\mathrm{Pr}}\_{U\_k}(u) = \frac{1}{(M - m + 1)} \sum\_{t = m}^{M} \mathrm{Pr}(u | U\_{\ell}^{(t)}, \ell \neq k). \tag{8.50}\]
Here we have averaged over the last M − m + 1 members of the sequence, to allow for an initial “burn-in” period before stationarity is reached.
Now getting back to Bayesian inference, our goal is to draw a sample from the joint posterior of the parameters given the data Z. Gibbs sampling will be helpful if it is easy to sample from the conditional distribution of each parameter given the other parameters and Z. An example—the Gaussian mixture problem—is detailed next.
There is a close connection between Gibbs sampling from a posterior and the EM algorithm in exponential family models. The key is to consider the latent data Zm from the EM procedure to be another parameter for the Gibbs sampler. To make this explicit for the Gaussian mixture problem, we take our parameters to be (θ, Zm). For simplicity we fix the variances σ2 1, σ2 2 and mixing proportion π at their maximum likelihood values so that the only unknown parameters in θ are the means µ1 and µ2. The Gibbs sampler for the mixture problem is given in Algorithm 8.4. We see that steps 2(a) and 2(b) are the same as the E and M steps of the EM procedure, except that we sample rather than maximize. In step 2(a), rather than compute the maximum likelihood responsibilities γi = E(∆i|θ, Z), the Gibbs sampling procedure simulates the latent data ∆i from the distributions Pr(∆i|θ, Z). In step 2(b), rather than compute the maximizers of the posterior Pr(µ1, µ2, ∆|Z) we simulate from the conditional distribution Pr(µ1, µ2|∆, Z).
Figure 8.8 shows 200 iterations of Gibbs sampling, with the mean parameters µ1 (lower) and µ2 (upper) shown in the left panel, and the proportion of class 2 observations ( i ∆i/N on the right. Horizontal broken lines have been drawn at the maximum likelihood estimate values ˆµ1, µˆ2 and ( i γˆi/N in each case. The values seem to stabilize quite quickly, and are distributed evenly around the maximum likelihood values.
The above mixture model was simplified, in order to make the clear connection between Gibbs sampling and the EM algorithm. More realistically, one would put a prior distribution on the variances σ2 1, σ2 2 and mixing proportion π, and include separate Gibbs sampling steps in which we sample from their posterior distributions, conditional on the other parameters. One can also incorporate proper (informative) priors for the mean param-
Algorithm 8.4 Gibbs sampling for mixtures.
- Take some initial values θ(0) = (µ(0) 1 , µ(0) 2 ).
- Repeat for t = 1, 2,…,.
- For i = 1, 2,…,N generate ∆(t) i ∈ {0, 1} with Pr(∆(t) i = 1) = γˆi(θ(t) ), from equation (8.42).
- Set
\[\begin{array}{rcl} \hat{\mu}\_{1} &=& \frac{\sum\_{i=1}^{N} (1 - \Delta\_{i}^{(t)}) \cdot y\_{i}}{\sum\_{i=1}^{N} (1 - \Delta\_{i}^{(t)})}, \\\hat{\mu}\_{2} &=& \frac{\sum\_{i=1}^{N} \Delta\_{i}^{(t)} \cdot y\_{i}}{\sum\_{i=1}^{N} \Delta\_{i}^{(t)}}, \end{array}\]
- and generate µ(t) 1 ∼ N(ˆµ1, σˆ2 1) and µ(t) 2 ∼ N(ˆµ2, σˆ2 2).
- Continue step 2 until the joint distribution of (∆(t) , µ(t) 1 , µ(t) 2 ) doesn’t change

FIGURE 8.8. Mixture example. (Left panel:) 200 values of the two mean parameters from Gibbs sampling; horizontal lines are drawn at the maximum likelihood estimates µˆ1, µˆ2. (Right panel:) Proportion of values with ∆i = 1, for each of the 200 Gibbs sampling iterations; a horizontal line is drawn at P i γˆi/N.
282 8. Model Inference and Averaging
eters. These priors must not be improper as this will lead to a degenerate posterior, with all the mixing weight on one component.
Gibbs sampling is just one of a number of recently developed procedures for sampling from posterior distributions. It uses conditional sampling of each parameter given the rest, and is useful when the structure of the problem makes this sampling easy to carry out. Other methods do not require such structure, for example the Metropolis–Hastings algorithm. These and other computational Bayesian methods have been applied to sophisticated learning algorithms such as Gaussian process models and neural networks. Details may be found in the references given in the Bibliographic Notes at the end of this chapter.
8.7 Bagging
Earlier we introduced the bootstrap as a way of assessing the accuracy of a parameter estimate or a prediction. Here we show how to use the bootstrap to improve the estimate or prediction itself. In Section 8.4 we investigated the relationship between the bootstrap and Bayes approaches, and found that the bootstrap mean is approximately a posterior average. Bagging further exploits this connection.
Consider first the regression problem. Suppose we fit a model to our training data Z = {(x1, y1),(x2, y2),…,(xN , yN )}, obtaining the prediction ˆf(x) at input x. Bootstrap aggregation or bagging averages this prediction over a collection of bootstrap samples, thereby reducing its variance. For each bootstrap sample Z∗b, b = 1, 2,…,B, we fit our model, giving prediction ˆf ∗b(x). The bagging estimate is defined by
\[\hat{f}\_{\text{bag}}(x) = \frac{1}{B} \sum\_{b=1}^{B} \hat{f}^{\*b}(x). \tag{8.51}\]
Denote by Pˆ the empirical distribution putting equal probability 1/N on each of the data points (xi, yi). In fact the “true” bagging estimate is defined by EPˆ ˆf ∗(x), where Z∗ = (x∗ 1, y∗ 1),(x∗ 2, y∗ 2),…,(x∗ N , y∗ N ) and each (x∗ i , y∗ i ) ∼ Pˆ. Expression (8.51) is a Monte Carlo estimate of the true bagging estimate, approaching it as B → ∞.
The bagged estimate (8.51) will differ from the original estimate ˆf(x) only when the latter is a nonlinear or adaptive function of the data. For example, to bag the B-spline smooth of Section 8.2.1, we average the curves in the bottom left panel of Figure 8.2 at each value of x. The B-spline smoother is linear in the data if we fix the inputs; hence if we sample using the parametric bootstrap in equation (8.6), then ˆfbag(x) → ˆf(x) as B → ∞ (Exercise 8.4). Hence bagging just reproduces the original smooth in the top left panel of Figure 8.2. The same is approximately true if we were to bag using the nonparametric bootstrap.
A more interesting example is a regression tree, where ˆf(x) denotes the tree’s prediction at input vector x (regression trees are described in Chapter 9). Each bootstrap tree will typically involve different features than the original, and might have a different number of terminal nodes. The bagged estimate is the average prediction at x from these B trees.
Now suppose our tree produces a classifier Gˆ(x) for a K-class response. Here it is useful to consider an underlying indicator-vector function ˆf(x), with value a single one and K − 1 zeroes, such that Gˆ(x) = arg maxk ˆf(x). Then the bagged estimate ˆfbag(x) (8.51) is a K-vector [p1(x), p2(x),…, pK(x)], with pk(x) equal to the proportion of trees predicting class k at x. The bagged classifier selects the class with the most “votes” from the B trees, Gˆbag(x) = arg maxk ˆfbag(x).
Often we require the class-probability estimates at x, rather than the classifications themselves. It is tempting to treat the voting proportions pk(x) as estimates of these probabilities. A simple two-class example shows that they fail in this regard. Suppose the true probability of class 1 at x is 0.75, and each of the bagged classifiers accurately predict a 1. Then p1(x) = 1, which is incorrect. For many classifiers Gˆ(x), however, there is already an underlying function ˆf(x) that estimates the class probabilities at x (for trees, the class proportions in the terminal node). An alternative bagging strategy is to average these instead, rather than the vote indicator vectors. Not only does this produce improved estimates of the class probabilities, but it also tends to produce bagged classifiers with lower variance, especially for small B (see Figure 8.10 in the next example).
8.7.1 Example: Trees with Simulated Data
We generated a sample of size N = 30, with two classes and p = 5 features, each having a standard Gaussian distribution with pairwise correlation 0.95. The response Y was generated according to Pr(Y = 1|x1 ≤ 0.5) = 0.2, Pr(Y = 1|x1 > 0.5) = 0.8. The Bayes error is 0.2. A test sample of size 2000 was also generated from the same population. We fit classification trees to the training sample and to each of 200 bootstrap samples (classification trees are described in Chapter 9). No pruning was used. Figure 8.9 shows the original tree and eleven bootstrap trees. Notice how the trees are all different, with different splitting features and cutpoints. The test error for the original tree and the bagged tree is shown in Figure 8.10. In this example the trees have high variance due to the correlation in the predictors. Bagging succeeds in smoothing out this variance and hence reducing the test error.
Bagging can dramatically reduce the variance of unstable procedures like trees, leading to improved prediction. A simple argument shows why

FIGURE 8.9. Bagging trees on simulated dataset. The top left panel shows the original tree. Eleven trees grown on bootstrap samples are shown. For each tree, the top split is annotated.

FIGURE 8.10. Error curves for the bagging example of Figure 8.9. Shown is the test error of the original tree and bagged trees as a function of the number of bootstrap samples. The orange points correspond to the consensus vote, while the green points average the probabilities.
bagging helps under squared-error loss, in short because averaging reduces variance and leaves bias unchanged.
Assume our training observations (xi, yi), i = 1,…,N are independently drawn from a distribution P, and consider the ideal aggregate estimator fag(x)=EP ˆf ∗(x). Here x is fixed and the bootstrap dataset Z∗ consists of observations x∗ i , y∗ i , i = 1, 2,…,N sampled from P. Note that fag(x) is a bagging estimate, drawing bootstrap samples from the actual population P rather than the data. It is not an estimate that we can use in practice, but is convenient for analysis. We can write
\[\begin{array}{rcl} \mathrm{E}\mathcal{P}[Y-\hat{f}^\*(x)]^2 &=& \mathrm{E}\mathcal{P}[Y-f\_{\mathrm{ag}}(x)+f\_{\mathrm{ag}}(x)-\hat{f}^\*(x)]^2\\ &=& \mathrm{E}\mathcal{P}[Y-f\_{\mathrm{ag}}(x)]^2+\mathrm{E}\mathcal{P}[\hat{f}^\*(x)-f\_{\mathrm{ag}}(x)]^2\\ &\ge& \mathrm{E}\mathcal{P}[Y-f\_{\mathrm{ag}}(x)]^2. \end{array} \tag{8.52}\]
The extra error on the right-hand side comes from the variance of ˆf ∗(x) around its mean fag(x). Therefore true population aggregation never increases mean squared error. This suggests that bagging—drawing samples from the training data— will often decrease mean-squared error.
The above argument does not hold for classification under 0-1 loss, because of the nonadditivity of bias and variance. In that setting, bagging a
286 8. Model Inference and Averaging
good classifier can make it better, but bagging a bad classifier can make it worse. Here is a simple example, using a randomized rule. Suppose Y = 1 for all x, and the classifier Gˆ(x) predicts Y = 1 (for all x) with probability 0.4 and predicts Y = 0 (for all x) with probability 0.6. Then the misclassification error of Gˆ(x) is 0.6 but that of the bagged classifier is 1.0.
For classification we can understand the bagging effect in terms of a consensus of independent weak learners (Dietterich, 2000a). Let the Bayes optimal decision at x be G(x) = 1 in a two-class example. Suppose each of the weak learners G∗ b have an error-rate eb = e < 0.5, and let S1(x) = (B b=1 I(G∗ b (x) = 1) be the consensus vote for class 1. Since the weak learners are assumed to be independent, S1(x) ∼ Bin(B, 1 − e), and Pr(S1 > B/2) → 1 as B gets large. This concept has been popularized outside of statistics as the “Wisdom of Crowds” (Surowiecki, 2004) — the collective knowledge of a diverse and independent body of people typically exceeds the knowledge of any single individual, and can be harnessed by voting. Of course, the main caveat here is “independent,” and bagged trees are not. Figure 8.11 illustrates the power of a consensus vote in a simulated example, where only 30% of the voters have some knowledge.
In Chapter 15 we see how random forests improve on bagging by reducing the correlation between the sampled trees.
Note that when we bag a model, any simple structure in the model is lost. As an example, a bagged tree is no longer a tree. For interpretation of the model this is clearly a drawback. More stable procedures like nearest neighbors are typically not affected much by bagging. Unfortunately, the unstable models most helped by bagging are unstable because of the emphasis on interpretability, and this is lost in the bagging process.
Figure 8.12 shows an example where bagging doesn’t help. The 100 data points shown have two features and two classes, separated by the gray linear boundary x1 + x2 = 1. We choose as our classifier Gˆ(x) a single axis-oriented split, choosing the split along either x1 or x2 that produces the largest decrease in training misclassification error.
The decision boundary obtained from bagging the 0-1 decision rule over B = 50 bootstrap samples is shown by the blue curve in the left panel. It does a poor job of capturing the true boundary. The single split rule, derived from the training data, splits near 0 (the middle of the range of x1 or x2), and hence has little contribution away from the center. Averaging the probabilities rather than the classifications does not help here. Bagging estimates the expected class probabilities from the single split rule, that is, averaged over many replications. Note that the expected class probabilities computed by bagging cannot be realized on any single replication, in the same way that a woman cannot have 2.4 children. In this sense, bagging increases somewhat the space of models of the individual base classifier. However, it doesn’t help in this and many other examples where a greater enlargement of the model class is needed. “Boosting” is a way of doing this

FIGURE 8.11. Simulated academy awards voting. 50 members vote in 10 categories, each with 4 nominations. For any category, only 15 voters have some knowledge, represented by their probability of selecting the “correct” candidate in that category (so P = 0.25 means they have no knowledge). For each category, the 15 experts are chosen at random from the 50. Results show the expected correct (based on 50 simulations) for the consensus, as well as for the individuals. The error bars indicate one standard deviation. We see, for example, that if the 15 informed for a category have a 50% chance of selecting the correct candidate, the consensus doubles the expected performance of an individual.
288 8. Model Inference and Averaging

FIGURE 8.12. Data with two features and two classes, separated by a linear boundary. (Left panel:) Decision boundary estimated from bagging the decision rule from a single split, axis-oriented classifier. (Right panel:) Decision boundary from boosting the decision rule of the same classifier. The test error rates are 0.166, and 0.065, respectively. Boosting is described in Chapter 10.
and is described in Chapter 10. The decision boundary in the right panel is the result of the boosting procedure, and it roughly captures the diagonal boundary.
8.8 Model Averaging and Stacking
In Section 8.4 we viewed bootstrap values of an estimator as approximate posterior values of a corresponding parameter, from a kind of nonparametric Bayesian analysis. Viewed in this way, the bagged estimate (8.51) is an approximate posterior Bayesian mean. In contrast, the training sample estimate ˆf(x) corresponds to the mode of the posterior. Since the posterior mean (not mode) minimizes squared-error loss, it is not surprising that bagging can often reduce mean squared-error.
Here we discuss Bayesian model averaging more generally. We have a set of candidate models Mm, m = 1,…,M for our training set Z. These models may be of the same type with different parameter values (e.g., subsets in linear regression), or different models for the same task (e.g., neural networks and regression trees).
Suppose ζ is some quantity of interest, for example, a prediction f(x) at some fixed feature value x. The posterior distribution of ζ is
\[\Pr(\zeta|\mathbf{Z}) = \sum\_{m=1}^{M} \Pr(\zeta|\mathcal{M}\_m, \mathbf{Z}) \Pr(\mathcal{M}\_m|\mathbf{Z}),\tag{8.53}\]
with posterior mean
\[\operatorname{E}(\zeta|\mathbf{Z}) = \sum\_{m=1}^{M} \operatorname{E}(\zeta|\mathcal{M}\_m, \mathbf{Z}) \operatorname{Pr}(\mathcal{M}\_m|\mathbf{Z}).\tag{8.54}\]
This Bayesian prediction is a weighted average of the individual predictions, with weights proportional to the posterior probability of each model.
This formulation leads to a number of different model-averaging strategies. Committee methods take a simple unweighted average of the predictions from each model, essentially giving equal probability to each model. More ambitiously, the development in Section 7.7 shows the BIC criterion can be used to estimate posterior model probabilities. This is applicable in cases where the different models arise from the same parametric model, with different parameter values. The BIC gives weight to each model depending on how well it fits and how many parameters it uses. One can also carry out the Bayesian recipe in full. If each model Mm has parameters θm, we write
\[\begin{split} \Pr(\mathcal{M}\_m|\mathbf{Z}) &\quad \propto \Pr(\mathcal{M}\_m) \cdot \Pr(\mathbf{Z}|\mathcal{M}\_m) \\ &\propto \Pr(\mathcal{M}\_m) \cdot \int \Pr(\mathbf{Z}|\theta\_m, \mathcal{M}\_m) \Pr(\theta\_m|\mathcal{M}\_m) d\theta\_m. \end{split} \tag{8.55}\]
In principle one can specify priors Pr(θm|Mm) and numerically compute the posterior probabilities from (8.55), to be used as model-averaging weights. However, we have seen no real evidence that this is worth all of the effort, relative to the much simpler BIC approximation.
How can we approach model averaging from a frequentist viewpoint? Given predictions ˆf1(x), ˆf2(x),…, ˆfM(x), under squared-error loss, we can seek the weights w = (w1, w2,…,wM) such that
\[\hat{w} = \operatorname\*{argmin}\_{w} \mathrm{E}\_{\mathcal{P}} \left[ Y - \sum\_{m=1}^{M} w\_{m} \hat{f}\_{m}(x) \right]^{2}. \tag{8.56}\]
Here the input value x is fixed and the N observations in the dataset Z (and the target Y ) are distributed according to P. The solution is the population linear regression of Y on Fˆ(x)T ≡ [ ˆf1(x), ˆf2(x),…, ˆfM(x)]:
\[\hat{w} = \mathbf{E}\_{\mathcal{P}}[\hat{F}(x)\hat{F}(x)^T]^{-1}\mathbf{E}\_{\mathcal{P}}[\hat{F}(x)Y].\tag{8.57}\]
Now the full regression has smaller error than any single model
\[\mathbb{E}\_{\mathcal{P}}\left[Y - \sum\_{m=1}^{M} \hat{w}\_{m}\hat{f}\_{m}(x)\right]^{2} \leq \mathbb{E}\_{\mathcal{P}}\left[Y - \hat{f}\_{m}(x)\right]^{2} \,\forall m \tag{8.58}\]
so combining models never makes things worse, at the population level.
290 8. Model Inference and Averaging
Of course the population linear regression (8.57) is not available, and it is natural to replace it with the linear regression over the training set. But there are simple examples where this does not work well. For example, if ˆfm(x), m = 1, 2,…,M represent the prediction from the best subset of inputs of size m among M total inputs, then linear regression would put all of the weight on the largest model, that is, ˆwM = 1, wˆm = 0, m<M. The problem is that we have not put each of the models on the same footing by taking into account their complexity (the number of inputs m in this example).
Stacked generalization, or stacking, is a way of doing this. Let ˆf −i m (x) be the prediction at x, using model m, applied to the dataset with the ith training observation removed. The stacking estimate of the weights is obtained from the least squares linear regression of yi on ˆf −i m (xi), m = 1, 2,…,M. In detail the stacking weights are given by
\[\hat{w}^{\text{st}} = \underset{w}{\text{argmin}} \sum\_{i=1}^{N} \left[ y\_i - \sum\_{m=1}^{M} w\_m \hat{f}\_m^{-i}(x\_i) \right]^2. \tag{8.59}\]
The final prediction is ( m wˆst m ˆfm(x). By using the cross-validated predictions ˆf −i m (x), stacking avoids giving unfairly high weight to models with higher complexity. Better results can be obtained by restricting the weights to be nonnegative, and to sum to 1. This seems like a reasonable restriction if we interpret the weights as posterior model probabilities as in equation (8.54), and it leads to a tractable quadratic programming problem.
There is a close connection between stacking and model selection via leave-one-out cross-validation (Section 7.10). If we restrict the minimization in (8.59) to weight vectors w that have one unit weight and the rest zero, this leads to a model choice ˆm with smallest leave-one-out cross-validation error. Rather than choose a single model, stacking combines them with estimated optimal weights. This will often lead to better prediction, but less interpretability than the choice of only one of the M models.
The stacking idea is actually more general than described above. One can use any learning method, not just linear regression, to combine the models as in (8.59); the weights could also depend on the input location x. In this way, learning methods are “stacked” on top of one another, to improve prediction performance.
8.9 Stochastic Search: Bumping
The final method described in this chapter does not involve averaging or combining models, but rather is a technique for finding a better single model. Bumping uses bootstrap sampling to move randomly through model space. For problems where fitting method finds many local minima, bumping can help the method to avoid getting stuck in poor solutions.

FIGURE 8.13. Data with two features and two classes (blue and orange), displaying a pure interaction. The left panel shows the partition found by three splits of a standard, greedy, tree-growing algorithm. The vertical grey line near the left edge is the first split, and the broken lines are the two subsequent splits. The algorithm has no idea where to make a good initial split, and makes a poor choice. The right panel shows the near-optimal splits found by bumping the tree-growing algorithm 20 times.
As in bagging, we draw bootstrap samples and fit a model to each. But rather than average the predictions, we choose the model estimated from a bootstrap sample that best fits the training data. In detail, we draw bootstrap samples Z∗1,…, Z∗B and fit our model to each, giving predictions ˆf ∗b(x), b = 1, 2,…,B at input point x. We then choose the model that produces the smallest prediction error, averaged over the original training set. For squared error, for example, we choose the model obtained from bootstrap sample ˆb, where
\[\hat{b} = \arg\min\_{b} \sum\_{i=1}^{N} [y\_i - \hat{f}^{\*b}(x\_i)]^2. \tag{8.60}\]
The corresponding model predictions are ˆf ∗ˆb(x). By convention we also include the original training sample in the set of bootstrap samples, so that the method is free to pick the original model if it has the lowest training error.
By perturbing the data, bumping tries to move the fitting procedure around to good areas of model space. For example, if a few data points are causing the procedure to find a poor solution, any bootstrap sample that omits those data points should procedure a better solution.
For another example, consider the classification data in Figure 8.13, the notorious exclusive or (XOR) problem. There are two classes (blue and orange) and two input features, with the features exhibiting a pure inter-
292 8. Model Inference and Averaging
action. By splitting the data at x1 = 0 and then splitting each resulting strata at x2 = 0, (or vice versa) a tree-based classifier could achieve perfect discrimination. However, the greedy, short-sighted CART algorithm (Section 9.2) tries to find the best split on either feature, and then splits the resulting strata. Because of the balanced nature of the data, all initial splits on x1 or x2 appear to be useless, and the procedure essentially generates a random split at the top level. The actual split found for these data is shown in the left panel of Figure 8.13. By bootstrap sampling from the data, bumping breaks the balance in the classes, and with a reasonable number of bootstrap samples (here 20), it will by chance produce at least one tree with initial split near either x1 = 0 or x2 = 0. Using just 20 bootstrap samples, bumping found the near optimal splits shown in the right panel of Figure 8.13. This shortcoming of the greedy tree-growing algorithm is exacerbated if we add a number of noise features that are independent of the class label. Then the tree-growing algorithm cannot distinguish x1 or x2 from the others, and gets seriously lost.
Since bumping compares different models on the training data, one must ensure that the models have roughly the same complexity. In the case of trees, this would mean growing trees with the same number of terminal nodes on each bootstrap sample. Bumping can also help in problems where it is difficult to optimize the fitting criterion, perhaps because of a lack of smoothness. The trick is to optimize a different, more convenient criterion over the bootstrap samples, and then choose the model producing the best results for the desired criterion on the training sample.
Bibliographic Notes
There are many books on classical statistical inference: Cox and Hinkley (1974) and Silvey (1975) give nontechnical accounts. The bootstrap is due to Efron (1979) and is described more fully in Efron and Tibshirani (1993) and Hall (1992). A good modern book on Bayesian inference is Gelman et al. (1995). A lucid account of the application of Bayesian methods to neural networks is given in Neal (1996). The statistical application of Gibbs sampling is due to Geman and Geman (1984), and Gelfand and Smith (1990), with related work by Tanner and Wong (1987). Markov chain Monte Carlo methods, including Gibbs sampling and the Metropolis– Hastings algorithm, are discussed in Spiegelhalter et al. (1996). The EM algorithm is due to Dempster et al. (1977); as the discussants in that paper make clear, there was much related, earlier work. The view of EM as a joint maximization scheme for a penalized complete-data log-likelihood was elucidated by Neal and Hinton (1998); they credit Csiszar and Tusn´ady (1984) and Hathaway (1986) as having noticed this connection earlier. Bagging was proposed by Breiman (1996a). Stacking is due to Wolpert (1992); Breiman (1996b) contains an accessible discussion for statisticians. Leblanc and Tibshirani (1996) describe variations on stacking based on the bootstrap. Model averaging in the Bayesian framework has been recently advocated by Madigan and Raftery (1994). Bumping was proposed by Tibshirani and Knight (1999).
Exercises
Ex. 8.1 Let r(y) and q(y) be probability density functions. Jensen’s inequality states that for a random variable X and a convex function φ(x), E[φ(X)] ≥ φ[E(X)]. Use Jensen’s inequality to show that
\[\to\_q \log[r(Y)/q(Y)]\tag{8.61}\]
is maximized as a function of r(y) when r(y) = q(y). Hence show that R(θ, θ) ≥ R(θ′ , θ) as stated below equation (8.46).
Ex. 8.2 Consider the maximization of the log-likelihood (8.48), over distributions P˜(Zm) such that P˜(Zm) ≥ 0 and ( Zm P˜(Zm) = 1. Use Lagrange multipliers to show that the solution is the conditional distribution P˜(Zm) = Pr(Zm|Z, θ′ ), as in (8.49).
Ex. 8.3 Justify the estimate (8.50), using the relationship
\[\Pr(A) = \int \Pr(A|B)d(\Pr(B)).\]
Ex. 8.4 Consider the bagging method of Section 8.7. Let our estimate ˆf(x) be the B-spline smoother ˆµ(x) of Section 8.2.1. Consider the parametric bootstrap of equation (8.6), applied to this estimator. Show that if we bag ˆf(x), using the parametric bootstrap to generate the bootstrap samples, the bagging estimate ˆfbag(x) converges to the original estimate ˆf(x) as B → ∞.
Ex. 8.5 Suggest generalizations of each of the loss functions in Figure 10.4 to more than two classes, and design an appropriate plot to compare them.
Ex. 8.6 Consider the bone mineral density data of Figure 5.6.
- Fit a cubic smooth spline to the relative change in spinal BMD, as a function of age. Use cross-validation to estimate the optimal amount of smoothing. Construct pointwise 90% confidence bands for the underlying function.
- Compute the posterior mean and covariance for the true function via (8.28), and compare the posterior bands to those obtained in (a).
294 8. Model Inference and Averaging
- Compute 100 bootstrap replicates of the fitted curves, as in the bottom left panel of Figure 8.2. Compare the results to those obtained in (a) and (b).
Ex. 8.7 EM as a minorization algorithm(Hunter and Lange, 2004; Wu and Lange, 2007). A function g(x, y) to said to minorize a function f(x) if
\[g(x, y) \le f(x), \ g(x, x) = f(x) \tag{8.62}\]
for all x, y in the domain. This is useful for maximizing f(x) since is easy to show that f(x) is non-decreasing under the update
\[x^{s+1} = \operatorname\*{argmax}\_{x} g(x, x^s) \tag{8.63}\]
There are analogous definitions for majorization, for minimizing a function f(x). The resulting algorithms are known as MM algorithms, for “Minorize-Maximize” or “Majorize-Minimize.”
Show that the EM algorithm (Section 8.5.2) is an example of an MM algorithm, using Q(θ′ , θ)+log Pr(Z|θ)−Q(θ, θ) to minorize the observed data log-likelihood ℓ(θ′ ; Z). (Note that only the first term involves the relevant parameter θ′ ).
This is page 295 Printer: Opaque this
9.1 Generalized Additive Models
Regression models play an important role in many data analyses, providing prediction and classification rules, and data analytic tools for understanding the importance of different inputs.
Although attractively simple, the traditional linear model often fails in these situations: in real life, effects are often not linear. In earlier chapters we described techniques that used predefined basis functions to achieve nonlinearities. This section describes more automatic flexible statistical methods that may be used to identify and characterize nonlinear regression effects. These methods are called “generalized additive models.”
In the regression setting, a generalized additive model has the form
\[\mathcal{E}(Y|X\_1, X\_2, \dots, X\_p) = \alpha + f\_1(X\_1) + f\_2(X\_2) + \dots + f\_p(X\_p). \tag{9.1}\]
9
9.1.1 Fitting Additive Models
In this section we describe a modular algorithm for fitting additive models and their generalizations. The building block is the scatterplot smoother for fitting nonlinear effects in a flexible way. For concreteness we use as our scatterplot smoother the cubic smoothing spline described in Chapter 5.
The additive model has the form
\[Y = \alpha + \sum\_{j=1}^{p} f\_j(X\_j) + \varepsilon,\tag{9.6}\]
where the error term ε has mean zero. Given observations xi, yi, a criterion like the penalized sum of squares (5.9) of Section 5.4 can be specified for this problem,
\[\text{PRSS}(\alpha, f\_1, f\_2, \dots, f\_p) = \sum\_{i=1}^{N} \left( y\_i - \alpha - \sum\_{j=1}^{p} f\_j(x\_{ij}) \right)^2 + \sum\_{j=1}^{p} \lambda\_j \int f\_j^{\prime\prime}(t\_j)^2 dt\_j,\tag{9.7}\]
where the λj ≥ 0 are tuning parameters. It can be shown that the minimizer of (9.7) is an additive cubic spline model; each of the functions fj is a Algorithm 9.1 The Backfitting Algorithm for Additive Models.
- Initialize: ˆα = 1 N (N 1 yi, ˆfj ≡ 0, ∀i, j.
- Cycle: j = 1, 2, . . . , p, . . . , 1, 2, . . . , p, . . . ,
\[\begin{aligned} \hat{f}\_j &\leftarrow -\mathcal{S}\_j \left[ \{ y\_i - \hat{\alpha} - \sum\_{k \neq j} \hat{f}\_k(x\_{ik}) \}\_1^N \right], \\\hat{f}\_j &\leftarrow -\hat{f}\_j - \frac{1}{N} \sum\_{i=1}^N \hat{f}\_j(x\_{ij}). \end{aligned}\]
until the functions ˆfj change less than a prespecified threshold.
cubic spline in the component Xj , with knots at each of the unique values of xij , i = 1,…,N. However, without further restrictions on the model, the solution is not unique. The constant α is not identifiable, since we can add or subtract any constants to each of the functions fj , and adjust α accordingly. The standard convention is to assume that (N 1 fj (xij ) = 0 ∀j—the functions average zero over the data. It is easily seen that ˆα = ave(yi) in this case. If in addition to this restriction, the matrix of input values (having ijth entry xij ) has full column rank, then (9.7) is a strictly convex criterion and the minimizer is unique. If the matrix is singular, then the linear part of the components fj cannot be uniquely determined (while the nonlinear parts can!)(Buja et al., 1989).
Furthermore, a simple iterative procedure exists for finding the solution. We set ˆα = ave(yi), and it never changes. We apply a cubic smoothing spline Sj to the targets {yi − αˆ − ( k̸=j ˆfk(xik)}N 1 , as a function of xij , to obtain a new estimate ˆfj . This is done for each predictor in turn, using the current estimates of the other functions ˆ ( fk when computing yi − αˆ − k̸=j ˆfk(xik). The process is continued until the estimates ˆfj stabilize. This procedure, given in detail in Algorithm 9.1, is known as “backfitting” and the resulting fit is analogous to a multiple regression for linear models.
In principle, the second step in (2) of Algorithm 9.1 is not needed, since the smoothing spline fit to a mean-zero response has mean zero (Exercise 9.1). In practice, machine rounding can cause slippage, and the adjustment is advised.
This same algorithm can accommodate other fitting methods in exactly the same way, by specifying appropriate smoothing operators Sj :
• other univariate regression smoothers such as local polynomial regression and kernel methods;
- linear regression operators yielding polynomial fits, piecewise constant fits, parametric spline fits, series and Fourier fits;
- more complicated operators such as surface smoothers for second or higher-order interactions or periodic smoothers for seasonal effects.
If we consider the operation of smoother Sj only at the training points, it can be represented by an N × N operator matrix Sj (see Section 5.4.1). Then the degrees of freedom for the jth term are (approximately) computed as dfj = trace[Sj ] − 1, by analogy with degrees of freedom for smoothers discussed in Chapters 5 and 6.
For a large class of linear smoothers Sj , backfitting is equivalent to a Gauss–Seidel algorithm for solving a certain linear system of equations. Details are given in Exercise 9.2.
For the logistic regression model and other generalized additive models, the appropriate criterion is a penalized log-likelihood. To maximize it, the backfitting procedure is used in conjunction with a likelihood maximizer. The usual Newton–Raphson routine for maximizing log-likelihoods in generalized linear models can be recast as an IRLS (iteratively reweighted least squares) algorithm. This involves repeatedly fitting a weighted linear regression of a working response variable on the covariates; each regression yields a new value of the parameter estimates, which in turn give new working responses and weights, and the process is iterated (see Section 4.4.1). In the generalized additive model, the weighted linear regression is simply replaced by a weighted backfitting algorithm. We describe the algorithm in more detail for logistic regression below, and more generally in Chapter 6 of Hastie and Tibshirani (1990).
9.1.2 Example: Additive Logistic Regression
Probably the most widely used model in medical research is the logistic model for binary data. In this model the outcome Y can be coded as 0 or 1, with 1 indicating an event (like death or relapse of a disease) and 0 indicating no event. We wish to model Pr(Y = 1|X), the probability of an event given values of the prognostic factors XT = (X1,…,Xp). The goal is usually to understand the roles of the prognostic factors, rather than to classify new individuals. Logistic models are also used in applications where one is interested in estimating the class probabilities, for use in risk screening. Apart from medical applications, credit risk screening is a popular application.
The generalized additive logistic model has the form
\[\log \frac{\Pr(Y = 1 | X)}{\Pr(Y = 0 | X)} = \alpha + f\_1(X\_1) + \dots + f\_p(X\_p). \tag{9.8}\]
The functions f1, f2,…,fp are estimated by a backfitting algorithm within a Newton–Raphson procedure, shown in Algorithm 9.2.
Algorithm 9.2 Local Scoring Algorithm for the Additive Logistic Regression Model.
- Compute starting values: ˆα = log[¯y/(1 − y¯)], where ¯y = ave(yi), the sample proportion of ones, and set ˆfj ≡ 0 ∀j.
- Define ˆηi = ˆα + ( j ˆfj (xij ) and ˆpi = 1/[1 + exp(−ηˆi)].
Iterate:
- Construct the working target variable
\[z\_i = \hat{\eta}\_i + \frac{(y\_i - \hat{p}\_i)}{\hat{p}\_i(1 - \hat{p}\_i)}.\]
- Construct weights wi = ˆpi(1 − pˆi)
- Fit an additive model to the targets zi with weights wi, using a weighted backfitting algorithm. This gives new estimates αˆ, ˆfj , ∀j
- Continue step 2. until the change in the functions falls below a prespecified threshold.
The additive model fitting in step (2) of Algorithm 9.2 requires a weighted scatterplot smoother. Most smoothing procedures can accept observation weights (Exercise 5.12); see Chapter 3 of Hastie and Tibshirani (1990) for further details.
The additive logistic regression model can be generalized further to handle more than two classes, using the multilogit formulation as outlined in Section 4.4. While the formulation is a straightforward extension of (9.8), the algorithms for fitting such models are more complex. See Yee and Wild (1996) for details, and the VGAM software currently available from:
http://www.stat.auckland.ac.nz/∼yee.
Example: Predicting Email Spam
We apply a generalized additive model to the spam data introduced in Chapter 1. The data consists of information from 4601 email messages, in a study to screen email for “spam” (i.e., junk email). The data is publicly available at ftp.ics.uci.edu, and was donated by George Forman from Hewlett-Packard laboratories, Palo Alto, California.
The response variable is binary, with values email or spam, and there are 57 predictors as described below:
• 48 quantitative predictors—the percentage of words in the email that match a given word. Examples include business, address, internet,
| Predicted Class | ||||
|---|---|---|---|---|
| True Class | email (0) | spam (1) | ||
| email (0) | 58.3% | 2.5% | ||
| spam (1) | 3.0% | 36.3% |
TABLE 9.1. Test data confusion matrix for the additive logistic regression model fit to the spam training data. The overall test error rate is 5.5%.
free, and george. The idea was that these could be customized for individual users.
- 6 quantitative predictors—the percentage of characters in the email that match a given character. The characters are ch;, ch(, ch[, ch!, ch$, and ch#.
- The average length of uninterrupted sequences of capital letters: CAPAVE.
- The length of the longest uninterrupted sequence of capital letters: CAPMAX.
- The sum of the length of uninterrupted sequences of capital letters: CAPTOT.
We coded spam as 1 and email as zero. A test set of size 1536 was randomly chosen, leaving 3065 observations in the training set. A generalized additive model was fit, using a cubic smoothing spline with a nominal four degrees of freedom for each predictor. What this means is that for each predictor Xj , the smoothing-spline parameter λj was chosen so that trace[Sj (λj )]−1 = 4, where Sj (λ) is the smoothing spline operator matrix constructed using the observed values xij , i = 1,…,N. This is a convenient way of specifying the amount of smoothing in such a complex model.
Most of the spam predictors have a very long-tailed distribution. Before fitting the GAM model, we log-transformed each variable (actually log(x+ 0.1)), but the plots in Figure 9.1 are shown as a function of the original variables.
The test error rates are shown in Table 9.1; the overall error rate is 5.3%. By comparison, a linear logistic regression has a test error rate of 7.6%. Table 9.2 shows the predictors that are highly significant in the additive model.
For ease of interpretation, in Table 9.2 the contribution for each variable is decomposed into a linear component and the remaining nonlinear component. The top block of predictors are positively correlated with spam, while the bottom block is negatively correlated. The linear component is a weighted least squares linear fit of the fitted curve on the predictor, while the nonlinear part is the residual. The linear component of an estimated
TABLE 9.2. Significant predictors from the additive model fit to the spam training data. The coefficients represent the linear part of ˆfj , along with their standard errors and Z-score. The nonlinear P-value is for a test of nonlinearity of ˆfj .
| Name | Num. | df | Coefficient | Std. Error | Z Score | Nonlinear |
|---|---|---|---|---|---|---|
| P-value | ||||||
| Positive effects | ||||||
| our | 5 | 3.9 | 0.566 | 0.114 | 4.970 | 0.052 |
| over | 6 | 3.9 | 0.244 | 0.195 | 1.249 | 0.004 |
| remove | 7 | 4.0 | 0.949 | 0.183 | 5.201 | 0.093 |
| internet | 8 | 4.0 | 0.524 | 0.176 | 2.974 | 0.028 |
| free | 16 | 3.9 | 0.507 | 0.127 | 4.010 | 0.065 |
| business | 17 | 3.8 | 0.779 | 0.186 | 4.179 | 0.194 |
| hpl | 26 | 3.8 | 0.045 | 0.250 | 0.181 | 0.002 |
| ch! | 52 | 4.0 | 0.674 | 0.128 | 5.283 | 0.164 |
| ch$ | 53 | 3.9 | 1.419 | 0.280 | 5.062 | 0.354 |
| CAPMAX | 56 | 3.8 | 0.247 | 0.228 | 1.080 | 0.000 |
| CAPTOT | 57 | 4.0 | 0.755 | 0.165 | 4.566 | 0.063 |
| Negative effects | ||||||
| hp | 25 | 3.9 | −1.404 | 0.224 | −6.262 | 0.140 |
| george | 27 | 3.7 | −5.003 | 0.744 | −6.722 | 0.045 |
| 1999 | 37 | 3.8 | −0.672 | 0.191 | −3.512 | 0.011 |
| re | 45 | 3.9 | −0.620 | 0.133 | −4.649 | 0.597 |
| edu | 46 | 4.0 | −1.183 | 0.209 | −5.647 | 0.000 |
function is summarized by the coefficient, standard error and Z-score; the latter is the coefficient divided by its standard error, and is considered significant if it exceeds the appropriate quantile of a standard normal distribution. The column labeled nonlinear P-value is a test of nonlinearity of the estimated function. Note, however, that the effect of each predictor is fully adjusted for the entire effects of the other predictors, not just for their linear parts. The predictors shown in the table were judged significant by at least one of the tests (linear or nonlinear) at the p = 0.01 level (two-sided).
Figure 9.1 shows the estimated functions for the significant predictors appearing in Table 9.2. Many of the nonlinear effects appear to account for a strong discontinuity at zero. For example, the probability of spam drops significantly as the frequency of george increases from zero, but then does not change much after that. This suggests that one might replace each of the frequency predictors by an indicator variable for a zero count, and resort to a linear logistic model. This gave a test error rate of 7.4%; including the linear effects of the frequencies as well dropped the test error to 6.6%. It appears that the nonlinearities in the additive model have an additional predictive power.

FIGURE 9.1. Spam analysis: estimated functions for significant predictors. The rug plot along the bottom of each frame indicates the observed values of the corresponding predictor. For many of the predictors the nonlinearity picks up the discontinuity at zero.
9.1.3 Summary
Additive models provide a useful extension of linear models, making them more flexible while still retaining much of their interpretability. The familiar tools for modeling and inference in linear models are also available for additive models, seen for example in Table 9.2. The backfitting procedure for fitting these models is simple and modular, allowing one to choose a fitting method appropriate for each input variable. As a result they have become widely used in the statistical community.
However additive models can have limitations for large data-mining applications. The backfitting algorithm fits all predictors, which is not feasible or desirable when a large number are available. The BRUTO procedure (Hastie and Tibshirani, 1990, Chapter 9) combines backfitting with selection of inputs, but is not designed for large data-mining problems. There has also been recent work using lasso-type penalties to estimate sparse additive models, for example the COSSO procedure of Lin and Zhang (2006) and the SpAM proposal of Ravikumar et al. (2008). For large problems a forward stagewise approach such as boosting (Chapter 10) is more effective, and also allows for interactions to be included in the model.
9.2 Tree-Based Methods
9.2.1 Background
Tree-based methods partition the feature space into a set of rectangles, and then fit a simple model (like a constant) in each one. They are conceptually simple yet powerful. We first describe a popular method for tree-based regression and classification called CART, and later contrast it with C4.5, a major competitor.
Let’s consider a regression problem with continuous response Y and inputs X1 and X2, each taking values in the unit interval. The top left panel of Figure 9.2 shows a partition of the feature space by lines that are parallel to the coordinate axes. In each partition element we can model Y with a different constant. However, there is a problem: although each partitioning line has a simple description like X1 = c, some of the resulting regions are complicated to describe.
To simplify matters, we restrict attention to recursive binary partitions like that in the top right panel of Figure 9.2. We first split the space into two regions, and model the response by the mean of Y in each region. We choose the variable and split-point to achieve the best fit. Then one or both of these regions are split into two more regions, and this process is continued, until some stopping rule is applied. For example, in the top right panel of Figure 9.2, we first split at X1 = t1. Then the region X1 ≤ t1 is split at X2 = t2 and the region X1 > t1 is split at X1 = t3. Finally, the region X1 > t3 is split at X2 = t4. The result of this process is a partition into the five regions R1, R2,…,R5 shown in the figure. The corresponding regression model predicts Y with a constant cm in region Rm, that is,
\[\hat{f}(X) = \sum\_{m=1}^{5} c\_m I\{(X\_1, X\_2) \in R\_m\}.\tag{9.9}\]
This same model can be represented by the binary tree in the bottom left panel of Figure 9.2. The full dataset sits at the top of the tree. Observations satisfying the condition at each junction are assigned to the left branch, and the others to the right branch. The terminal nodes or leaves of the tree correspond to the regions R1, R2,…,R5. The bottom right panel of Figure 9.2 is a perspective plot of the regression surface from this model. For illustration, we chose the node means c1 = −5, c2 = −7, c3 = 0, c4 = 2, c5 = 4 to make this plot.
A key advantage of the recursive binary tree is its interpretability. The feature space partition is fully described by a single tree. With more than two inputs, partitions like that in the top right panel of Figure 9.2 are difficult to draw, but the binary tree representation works in the same way. This representation is also popular among medical scientists, perhaps because it mimics the way that a doctor thinks. The tree stratifies the

FIGURE 9.2. Partitions and CART. Top right panel shows a partition of a two-dimensional feature space by recursive binary splitting, as used in CART, applied to some fake data. Top left panel shows a general partition that cannot be obtained from recursive binary splitting. Bottom left panel shows the tree corresponding to the partition in the top right panel, and a perspective plot of the prediction surface appears in the bottom right panel.
population into strata of high and low outcome, on the basis of patient characteristics.
9.2.2 Regression Trees
We now turn to the question of how to grow a regression tree. Our data consists of p inputs and a response, for each of N observations: that is, (xi, yi) for i = 1, 2,…,N, with xi = (xi1, xi2,…,xip). The algorithm needs to automatically decide on the splitting variables and split points, and also what topology (shape) the tree should have. Suppose first that we have a partition into M regions R1, R2,…,RM, and we model the response as a constant cm in each region:
\[f(x) = \sum\_{m=1}^{M} c\_m I(x \in R\_m). \tag{9.10}\]
If we adopt as our criterion minimization of the sum of squares ((yi − f(xi))2, it is easy to see that the best ˆcm is just the average of yi in region Rm:
\[ \hat{c}\_m = \text{ave}(y\_i | x\_i \in R\_m). \tag{9.11} \]
Now finding the best binary partition in terms of minimum sum of squares is generally computationally infeasible. Hence we proceed with a greedy algorithm. Starting with all of the data, consider a splitting variable j and split point s, and define the pair of half-planes
\[R\_1(j, s) = \{X | X\_j \le s\} \quad \text{and} \quad R\_2(j, s) = \{X | X\_j > s\}. \tag{9.12}\]
Then we seek the splitting variable j and split point s that solve
\[\min\_{j,s} \left[ \min\_{c\_1} \sum\_{x\_i \in R\_1(j,s)} (y\_i - c\_1)^2 + \min\_{c\_2} \sum\_{x\_i \in R\_2(j,s)} (y\_i - c\_2)^2 \right]. \tag{9.13}\]
For any choice j and s, the inner minimization is solved by
\[ \hat{c}\_1 = \text{ave}(y\_i | x\_i \in R\_1(j, s)) \quad \text{and} \quad \hat{c}\_2 = \text{ave}(y\_i | x\_i \in R\_2(j, s)). \tag{9.14} \]
For each splitting variable, the determination of the split point s can be done very quickly and hence by scanning through all of the inputs, determination of the best pair (j, s) is feasible.
Having found the best split, we partition the data into the two resulting regions and repeat the splitting process on each of the two regions. Then this process is repeated on all of the resulting regions.
How large should we grow the tree? Clearly a very large tree might overfit the data, while a small tree might not capture the important structure.
9.2.3 Classification Trees
If the target is a classification outcome taking values 1, 2,…,K, the only changes needed in the tree algorithm pertain to the criteria for splitting nodes and pruning the tree. For regression we used the squared-error node

FIGURE 9.3. Node impurity measures for two-class classification, as a function of the proportion p in class 2. Cross-entropy has been scaled to pass through (0.5, 0.5).
impurity measure Qm(T) defined in (9.15), but this is not suitable for classification. In a node m, representing a region Rm with Nm observations, let
\[ \hat{p}\_{mk} = \frac{1}{N\_m} \sum\_{x\_i \in R\_m} I(y\_i = k), \]
the proportion of class k observations in node m. We classify the observations in node m to class k(m) = arg maxk pˆmk, the majority class in node m. Different measures Qm(T) of node impurity include the following:
\[\begin{array}{ll}\text{Misclassification error:} & \frac{1}{N\_m} \sum\_{i \in R\_m} I(y\_i \neq k(m)) = 1 - \hat{p}\_{mk(m)}.\\\text{Gini index:} & \sum\_{k \neq k'} \hat{p}\_{mk} \hat{p}\_{mk'} = \sum\_{k=1}^{K} \hat{p}\_{mk} (1 - \hat{p}\_{mk}).\\\text{Cross-entropy or deviation:} & -\sum\_{k=1}^{K} \hat{p}\_{mk} \log \hat{p}\_{mk}. \end{array}\]
For two classes, if p is the proportion in the second class, these three measures are 1 − max(p, 1 − p), 2p(1 − p) and −p log p − (1 − p) log (1 − p), respectively. They are shown in Figure 9.3. All three are similar, but crossentropy and the Gini index are differentiable, and hence more amenable to numerical optimization. Comparing (9.13) and (9.15), we see that we need to weight the node impurity measures by the number NmL and NmR of observations in the two child nodes created by splitting node m.
In addition, cross-entropy and the Gini index are more sensitive to changes in the node probabilities than the misclassification rate. For example, in a two-class problem with 400 observations in each class (denote this by (400, 400)), suppose one split created nodes (300, 100) and (100, 300), while
9.2.4 Other Issues
Categorical Predictors
When splitting a predictor having q possible unordered values, there are 2q−1 − 1 possible partitions of the q values into two groups, and the computations become prohibitive for large q. However, with a 0 − 1 outcome, this computation simplifies. We order the predictor classes according to the proportion falling in outcome class 1. Then we split this predictor as if it were an ordered predictor. One can show this gives the optimal split, in terms of cross-entropy or Gini index, among all possible 2q−1−1 splits. This result also holds for a quantitative outcome and square error loss—the categories are ordered by increasing mean of the outcome. Although intuitive, the proofs of these assertions are not trivial. The proof for binary outcomes is given in Breiman et al. (1984) and Ripley (1996); the proof for quantitative outcomes can be found in Fisher (1958). For multicategory outcomes, no such simplifications are possible, although various approximations have been proposed (Loh and Vanichsetakul, 1988).
The partitioning algorithm tends to favor categorical predictors with many levels q; the number of partitions grows exponentially in q, and the more choices we have, the more likely we can find a good one for the data at hand. This can lead to severe overfitting if q is large, and such variables should be avoided.
The Loss Matrix
In classification problems, the consequences of misclassifying observations are more serious in some classes than others. For example, it is probably worse to predict that a person will not have a heart attack when he/she actually will, than vice versa. To account for this, we define a K × K loss matrix L, with Lkk′ being the loss incurred for classifying a class k observation as class k′ . Typically no loss is incurred for correct classifications, that is, Lkk = 0 ∀k. To incorporate the losses into the modeling process, we could modify the Gini index to ( k̸=k′ Lkk′pˆmkpˆmk′ ; this would be the expected loss incurred by the randomized rule. This works for the multiclass case, but in the two-class case has no effect, since the coefficient of pˆmkpˆmk′ is Lkk′ + Lk′k. For two classes a better approach is to weight the observations in class k by Lkk′ . This can be used in the multiclass case only if, as a function of k, Lkk′ doesn’t depend on k′ . Observation weighting can be used with the deviance as well. The effect of observation weighting is to alter the prior probability on the classes. In a terminal node, the empirical Bayes rule implies that we classify to class k(m) = arg mink ( ℓ Lℓkpˆmℓ.
Missing Predictor Values
Suppose our data has some missing predictor values in some or all of the variables. We might discard any observation with some missing values, but this could lead to serious depletion of the training set. Alternatively we might try to fill in (impute) the missing values, with say the mean of that predictor over the nonmissing observations. For tree-based models, there are two better approaches. The first is applicable to categorical predictors: we simply make a new category for “missing.” From this we might discover that observations with missing values for some measurement behave differently than those with nonmissing values. The second more general approach is the construction of surrogate variables. When considering a predictor for a split, we use only the observations for which that predictor is not missing. Having chosen the best (primary) predictor and split point, we form a list of surrogate predictors and split points. The first surrogate is the predictor and corresponding split point that best mimics the split of the training data achieved by the primary split. The second surrogate is the predictor and corresponding split point that does second best, and so on. When sending observations down the tree either in the training phase or during prediction, we use the surrogate splits in order, if the primary splitting predictor is missing. Surrogate splits exploit correlations between predictors to try and alleviate the effect of missing data. The higher the correlation between the missing predictor and the other predictors, the smaller the loss of information due to the missing value. The general problem of missing data is discussed in Section 9.6.
Why Binary Splits?
Rather than splitting each node into just two groups at each stage (as above), we might consider multiway splits into more than two groups. While this can sometimes be useful, it is not a good general strategy. The problem is that multiway splits fragment the data too quickly, leaving insufficient data at the next level down. Hence we would want to use such splits only when needed. Since multiway splits can be achieved by a series of binary splits, the latter are preferred.
Other Tree-Building Procedures
The discussion above focuses on the CART (classification and regression tree) implementation of trees. The other popular methodology is ID3 and its later versions, C4.5 and C5.0 (Quinlan, 1993). Early versions of the program were limited to categorical predictors, and used a top-down rule with no pruning. With more recent developments, C5.0 has become quite similar to CART. The most significant feature unique to C5.0 is a scheme for deriving rule sets. After a tree is grown, the splitting rules that define the terminal nodes can sometimes be simplified: that is, one or more condition can be dropped without changing the subset of observations that fall in the node. We end up with a simplified set of rules defining each terminal node; these no longer follow a tree structure, but their simplicity might make them more attractive to the user.
Linear Combination Splits
Rather than restricting splits to be of the form Xj ≤ s, one can allow splits along linear combinations of the form (ajXj ≤ s. The weights aj and split point s are optimized to minimize the relevant criterion (such as the Gini index). While this can improve the predictive power of the tree, it can hurt interpretability. Computationally, the discreteness of the split point search precludes the use of a smooth optimization for the weights. A better way to incorporate linear combination splits is in the hierarchical mixtures of experts (HME) model, the topic of Section 9.5.
Instability of Trees
One major problem with trees is their high variance. Often a small change in the data can result in a very different series of splits, making interpretation somewhat precarious. The major reason for this instability is the hierarchical nature of the process: the effect of an error in the top split is propagated down to all of the splits below it. One can alleviate this to some degree by trying to use a more stable split criterion, but the inherent instability is not removed. It is the price to be paid for estimating a simple, tree-based structure from the data. Bagging (Section 8.7) averages many trees to reduce this variance.
Lack of Smoothness
Another limitation of trees is the lack of smoothness of the prediction surface, as can be seen in the bottom right panel of Figure 9.2. In classification with 0/1 loss, this doesn’t hurt much, since bias in estimation of the class probabilities has a limited effect. However, this can degrade performance in the regression setting, where we would normally expect the underlying function to be smooth. The MARS procedure, described in Section 9.4,
TABLE 9.3. Spam data: confusion rates for the 17-node tree (chosen by cross– validation) on the test data. Overall error rate is 9.3%.
| Predicted | ||||
|---|---|---|---|---|
| True | spam | |||
| 57.3% | 4.0% | |||
| spam | 5.3% | 33.4% |
can be viewed as a modification of CART designed to alleviate this lack of smoothness.
Difficulty in Capturing Additive Structure
Another problem with trees is their difficulty in modeling additive structure. In regression, suppose, for example, that Y = c1I(X1 < t1)+c2I(X2 < t2) + ε where ε is zero-mean noise. Then a binary tree might make its first split on X1 near t1. At the next level down it would have to split both nodes on X2 at t2 in order to capture the additive structure. This might happen with sufficient data, but the model is given no special encouragement to find such structure. If there were ten rather than two additive effects, it would take many fortuitous splits to recreate the structure, and the data analyst would be hard pressed to recognize it in the estimated tree. The “blame” here can again be attributed to the binary tree structure, which has both advantages and drawbacks. Again the MARS method (Section 9.4) gives up this tree structure in order to capture additive structure.
9.2.5 Spam Example (Continued)
We applied the classification tree methodology to the spam example introduced earlier. We used the deviance measure to grow the tree and misclassification rate to prune it. Figure 9.4 shows the 10-fold cross-validation error rate as a function of the size of the pruned tree, along with ±2 standard errors of the mean, from the ten replications. The test error curve is shown in orange. Note that the cross-validation error rates are indexed by a sequence of values of α and not tree size; for trees grown in different folds, a value of α might imply different sizes. The sizes shown at the base of the plot refer to |Tα|, the sizes of the pruned original tree.
The error flattens out at around 17 terminal nodes, giving the pruned tree in Figure 9.5. Of the 13 distinct features chosen by the tree, 11 overlap with the 16 significant features in the additive model (Table 9.2). The overall error rate shown in Table 9.3 is about 50% higher than for the additive model in Table 9.1.
Consider the rightmost branches of the tree. We branch to the right with a spam warning if more than 5.5% of the characters are the $ sign.

FIGURE 9.4. Results for spam example. The blue curve is the 10-fold cross-validation estimate of misclassification rate as a function of tree size, with standard error bars. The minimum occurs at a tree size with about 17 terminal nodes (using the “one-standard-error” rule). The orange curve is the test error, which tracks the CV error quite closely. The cross-validation is indexed by values of α, shown above. The tree sizes shown below refer to |Tα|, the size of the original tree indexed by α.
However, if in addition the phrase hp occurs frequently, then this is likely to be company business and we classify as email. All of the 22 cases in the test set satisfying these criteria were correctly classified. If the second condition is not met, and in addition the average length of repeated capital letters CAPAVE is larger than 2.9, then we classify as spam. Of the 227 test cases, only seven were misclassified.
In medical classification problems, the terms sensitivity and specificity are used to characterize a rule. They are defined as follows:
Sensitivity: probability of predicting disease given true state is disease.
Specificity: probability of predicting non-disease given true state is nondisease.

FIGURE 9.5. The pruned tree for the spam example. The split variables are shown in blue on the branches, and the classification is shown in every node.The numbers under the terminal nodes indicate misclassification rates on the test data.

FIGURE 9.6. ROC curves for the classification rules fit to the spam data. Curves that are closer to the northeast corner represent better classifiers. In this case the GAM classifier dominates the trees. The weighted tree achieves better sensitivity for higher specificity than the unweighted tree. The numbers in the legend represent the area under the curve.
If we think of spam and email as the presence and absence of disease, respectively, then from Table 9.3 we have
\[\begin{array}{rcl} Sensitivity &=& 100 \times \frac{33.4}{33.4 + 5.3} = 86.3\%, \\ Specificity &=& 100 \times \frac{57.3}{57.3 + 4.0} = 93.4\%. \end{array}\]
In this analysis we have used equal losses. As before let Lkk′ be the loss associated with predicting a class k object as class k′ . By varying the relative sizes of the losses L01 and L10, we increase the sensitivity and decrease the specificity of the rule, or vice versa. In this example, we want to avoid marking good email as spam, and thus we want the specificity to be very high. We can achieve this by setting L01 > 1 say, with L10 = 1. The Bayes’ rule in each terminal node classifies to class 1 (spam) if the proportion of spam is ≥ L01/(L10 + L01), and class zero otherwise. The receiver operating characteristic curve (ROC) is a commonly used summary for assessing the tradeoff between sensitivity and specificity. It is a plot of the sensitivity versus specificity as we vary the parameters of a classification rule. Varying the loss L01 between 0.1 and 10, and applying Bayes’ rule to the 17-node tree selected in Figure 9.4, produced the ROC curve shown in Figure 9.6. The standard error of each curve near 0.9 is approximately A0.9(1 − 0.9)/1536 = 0.008, and hence the standard error of the difference is about 0.01. We see that in order to achieve a specificity of close to 100%, the sensitivity has to drop to about 50%. The area under the curve is a commonly used quantitative summary; extending the curve linearly in each direction so that it is defined over [0, 100], the area is approximately 0.95. For comparison, we have included the ROC curve for the GAM model fit to these data in Section 9.2; it gives a better classification rule for any loss, with an area of 0.98.
Rather than just modifying the Bayes rule in the nodes, it is better to take full account of the unequal losses in growing the tree, as was done in Section 9.2. With just two classes 0 and 1, losses may be incorporated into the tree-growing process by using weight Lk,1−k for an observation in class k. Here we chose L01 = 5, L10 = 1 and fit the same size tree as before (|Tα| = 17). This tree has higher sensitivity at high values of the specificity than the original tree, but does more poorly at the other extreme. Its top few splits are the same as the original tree, and then it departs from it. For this application the tree grown using L01 = 5 is clearly better than the original tree.
The area under the ROC curve, used above, is sometimes called the cstatistic. Interestingly, it can be shown that the area under the ROC curve is equivalent to the Mann-Whitney U statistic (or Wilcoxon rank-sum test), for the median difference between the prediction scores in the two groups (Hanley and McNeil, 1982). For evaluating the contribution of an additional predictor when added to a standard model, the c-statistic may not be an informative measure. The new predictor can be very significant in terms of the change in model deviance, but show only a small increase in the cstatistic. For example, removal of the highly significant term george from the model of Table 9.2 results in a decrease in the c-statistic of less than 0.01. Instead, it is useful to examine how the additional predictor changes the classification on an individual sample basis. A good discussion of this point appears in Cook (2007).
9.3 PRIM: Bump Hunting
Tree-based methods (for regression) partition the feature space into boxshaped regions, to try to make the response averages in each box as differ-
Algorithm 9.3 Patient Rule Induction Method.
- Start with all of the training data, and a maximal box containing all of the data.
- Consider shrinking the box by compressing one face, so as to peel off the proportion α of observations having either the highest values of a predictor Xj , or the lowest. Choose the peeling that produces the highest response mean in the remaining box. (Typically α = 0.05 or 0.10.)
- Repeat step 2 until some minimal number of observations (say 10) remain in the box.
- Expand the box along any face, as long as the resulting box mean increases.
- Steps 1–4 give a sequence of boxes, with different numbers of observations in each box. Use cross-validation to choose a member of the sequence. Call the box B1.
- Remove the data in box B1 from the dataset and repeat steps 2–5 to obtain a second box, and continue to get as many boxes as desired.
variable); a two-class outcome can be handled simply by coding it as 0 and 1. There is no simple way to deal with k > 2 classes simultaneously: one approach is to run PRIM separately for each class versus a baseline class.
An advantage of PRIM over CART is its patience. Because of its binary splits, CART fragments the data quite quickly. Assuming splits of equal size, with N observations it can only make log2(N) − 1 splits before running out of data. If PRIM peels off a proportion α of training points at each stage, it can perform approximately − log(N)/ log(1 − α) peeling steps before running out of data. For example, if N = 128 and α = 0.10, then log2(N)−1 = 6 while − log(N)/ log(1−α) ≈ 46. Taking into account that there must be an integer number of observations at each stage, PRIM in fact can peel only 29 times. In any case, the ability of PRIM to be more patient should help the top-down greedy algorithm find a better solution.
9.3.1 Spam Example (Continued)
We applied PRIM to the spam data, with the response coded as 1 for spam and 0 for email.
The first two boxes found by PRIM are summarized below:
| Rule 1 | Global Mean | Box Mean | Box Support | |||
|---|---|---|---|---|---|---|
| Training | 0.3931 | 0.9607 | 0.1413 | |||
| Test | 0.3958 | 1.0000 | 0.1536 | |||
| ⎧ ⎪⎪⎪ ⎪⎪⎪ ⎪⎪⎪ ⎪⎨ Rule 1 ⎪⎪⎪ ⎪⎪⎪ ⎪⎪⎪ ⎪⎩ |
CAPAVE CAPTOT |
ch! your 1999 edu re ch; |
> > > < > < < < |
0.029 2.331 0.705 0.040 79.50 0.070 0.535 0.030 |
||
| Rule 2 | Remain Mean Box Mean Box Support |
|||||
| Training | 0.2998 | 0.9560 | 0.1043 | |||
| Test | 0.2862 | 0.9264 | 0.1061 | |||
| - remove > 0.010 Rule 2 |
george < 0.110
The box support is the proportion of observations falling in the box. The first box is purely spam, and contains about 15% of the test data. The second box contains 10.6% of the test observations, 92.6% of which are spam. Together the two boxes contain 26% of the data and are about 97% spam. The next few boxes (not shown) are quite small, containing only about 3% of the data.
The predictors are listed in order of importance. Interestingly the top splitting variables in the CART tree (Figure 9.5) do not appear in PRIM’s first box.
9.4 MARS: Multivariate Adaptive Regression Splines
MARS is an adaptive procedure for regression, and is well suited for highdimensional problems (i.e., a large number of inputs). It can be viewed as a generalization of stepwise linear regression or a modification of the CART method to improve the latter’s performance in the regression setting. We introduce MARS from the first point of view, and later make the connection to CART.
MARS uses expansions in piecewise linear basis functions of the form (x − t)+ and (t − x)+. The “+” means positive part, so
\[(x-t)\_+ = \begin{cases} \quad x-t, & \text{if } x > t, \\\quad 0, & \text{otherwise}, \end{cases} \quad \text{and} \quad (t-x)\_+ = \begin{cases} \quad t-x, & \text{if } x < t, \\\quad 0, & \text{otherwise}. \end{cases}\]

FIGURE 9.9. The basis functions (x − t)+ (solid orange) and (t − x)+ (broken blue) used by MARS.
As an example, the functions (x − 0.5)+ and (0.5 − x)+ are shown in Figure 9.9.
Each function is piecewise linear, with a knot at the value t. In the terminology of Chapter 5, these are linear splines. We call the two functions a reflected pair in the discussion below. The idea is to form reflected pairs for each input Xj with knots at each observed value xij of that input. Therefore, the collection of basis functions is
\[\mathcal{C} = \{(X\_j - t)\_+, \ (t - X\_j)\_+\} \quad \begin{array}{l} t \in \{x\_{1j}, x\_{2j}, \dots, x\_{Nj}\} \\ j = 1, 2, \dots, p. \end{array} \tag{9.18}\]
If all of the input values are distinct, there are 2N p basis functions altogether. Note that although each basis function depends only on a single Xj , for example, h(X)=(Xj − t)+, it is considered as a function over the entire input space IRp.
The model-building strategy is like a forward stepwise linear regression, but instead of using the original inputs, we are allowed to use functions from the set C and their products. Thus the model has the form
\[f(X) = \beta\_0 + \sum\_{m=1}^{M} \beta\_m h\_m(X),\tag{9.19}\]
where each hm(X) is a function in C, or a product of two or more such functions.
Given a choice for the hm, the coefficients βm are estimated by minimizing the residual sum-of-squares, that is, by standard linear regression. The real art, however, is in the construction of the functions hm(x). We start with only the constant function h0(X) = 1 in our model, and all functions in the set C are candidate functions. This is depicted in Figure 9.10.
At each stage we consider as a new basis function pair all products of a function hm in the model set M with one of the reflected pairs in C. We add to the model M the term of the form
\[ \hat{\beta}\_{M+1} h\_\ell(X) \cdot (X\_j - t)\_+ + \hat{\beta}\_{M+2} h\_\ell(X) \cdot (t - X\_j)\_+, \ h\_\ell \in \mathcal{M}, \]

FIGURE 9.10. Schematic of the MARS forward model-building procedure. On the left are the basis functions currently in the model: initially, this is the constant function h(X)=1. On the right are all candidate basis functions to be considered in building the model. These are pairs of piecewise linear basis functions as in Figure 9.9, with knots t at all unique observed values xij of each predictor Xj . At each stage we consider all products of a candidate pair with a basis function in the model. The product that decreases the residual error the most is added into the current model. Above we illustrate the first three steps of the procedure, with the selected functions shown in red.
324 9. Additive Models, Trees, and Related Methods

FIGURE 9.11. The function h(X1, X2)=(X1 − x51)+ · (x72 − X2)+, resulting from multiplication of two piecewise linear MARS basis functions.
that produces the largest decrease in training error. Here βˆM+1 and βˆM+2 are coefficients estimated by least squares, along with all the other M + 1 coefficients in the model. Then the winning products are added to the model and the process is continued until the model set M contains some preset maximum number of terms.
For example, at the first stage we consider adding to the model a function of the form β1(Xj − t)+ + β2(t − Xj )+; t ∈ {xij}, since multiplication by the constant function just produces the function itself. Suppose the best choice is βˆ1(X2 − x72)+ + βˆ2(x72 − X2)+. Then this pair of basis functions is added to the set M, and at the next stage we consider including a pair of products the form
\[h\_m(X) \cdot (X\_j - t)\_+ \quad \text{and} \quad h\_m(X) \cdot (t - X\_j)\_+, \ t \in \{x\_{ij}\},\]
where for hm we have the choices
\[\begin{aligned} h\_0(X) &= 1, \\ h\_1(X) &= \ (X\_2 - x\_{72})\_+, \text{ or} \\ h\_2(X) &= \ (x\_{72} - X\_2)\_+. \end{aligned}\]
The third choice produces functions such as (X1 − x51)+ · (x72 − X2)+, depicted in Figure 9.11.
At the end of this process we have a large model of the form (9.19). This model typically overfits the data, and so a backward deletion procedure is applied. The term whose removal causes the smallest increase in residual squared error is deleted from the model at each stage, producing an estimated best model ˆfλ of each size (number of terms) λ. One could use cross-validation to estimate the optimal value of λ, but for computational savings the MARS procedure instead uses generalized cross-validation. This criterion is defined as
\[\text{GCV}(\lambda) = \frac{\sum\_{i=1}^{N} (y\_i - \hat{f}\_{\lambda}(x\_i))^2}{(1 - M(\lambda)/N)^2}. \tag{9.20}\]
The value M(λ) is the effective number of parameters in the model: this accounts both for the number of terms in the models, plus the number of parameters used in selecting the optimal positions of the knots. Some mathematical and simulation results suggest that one should pay a price of three parameters for selecting a knot in a piecewise linear regression.
Thus if there are r linearly independent basis functions in the model, and K knots were selected in the forward process, the formula is M(λ) = r+cK, where c = 3. (When the model is restricted to be additive—details below a penalty of c = 2 is used). Using this, we choose the model along the backward sequence that minimizes GCV(λ).
Why these piecewise linear basis functions, and why this particular model strategy? A key property of the functions of Figure 9.9 is their ability to operate locally; they are zero over part of their range. When they are multiplied together, as in Figure 9.11, the result is nonzero only over the small part of the feature space where both component functions are nonzero. As a result, the regression surface is built up parsimoniously, using nonzero components locally—only where they are needed. This is important, since one should “spend” parameters carefully in high dimensions, as they can run out quickly. The use of other basis functions such as polynomials, would produce a nonzero product everywhere, and would not work as well.
The second important advantage of the piecewise linear basis function concerns computation. Consider the product of a function in M with each of the N reflected pairs for an input Xj . This appears to require the fitting of N single-input linear regression models, each of which uses O(N) operations, making a total of O(N2) operations. However, we can exploit the simple form of the piecewise linear function. We first fit the reflected pair with rightmost knot. As the knot is moved successively one position at a time to the left, the basis functions differ by zero over the left part of the domain, and by a constant over the right part. Hence after each such move we can update the fit in O(1) operations. This allows us to try every knot in only O(N) operations.
The forward modeling strategy in MARS is hierarchical, in the sense that multiway products are built up from products involving terms already in the model. For example, a four-way product can only be added to the model if one of its three-way components is already in the model. The philosophy here is that a high-order interaction will likely only exist if some of its lowerorder “footprints” exist as well. This need not be true, but is a reasonable working assumption and avoids the search over an exponentially growing space of alternatives.

FIGURE 9.12. Spam data: test error misclassification rate for the MARS procedure, as a function of the rank (number of independent basis functions) in the model.
There is one restriction put on the formation of model terms: each input can appear at most once in a product. This prevents the formation of higher-order powers of an input, which increase or decrease too sharply near the boundaries of the feature space. Such powers can be approximated in a more stable way with piecewise linear functions.
A useful option in the MARS procedure is to set an upper limit on the order of interaction. For example, one can set a limit of two, allowing pairwise products of piecewise linear functions, but not three- or higherway products. This can aid in the interpretation of the final model. An upper limit of one results in an additive model.
9.4.1 Spam Example (Continued)
We applied MARS to the “spam” data analyzed earlier in this chapter. To enhance interpretability, we restricted MARS to second-degree interactions. Although the target is a two-class variable, we used the squared-error loss function nonetheless (see Section 9.4.3). Figure 9.12 shows the test error misclassification rate as a function of the rank (number of independent basis functions) in the model. The error rate levels off at about 5.5%, which is slightly higher than that of the generalized additive model (5.3%) discussed earlier. GCV chose a model size of 60, which is roughly the smallest model giving optimal performance. The leading interactions found by MARS involved inputs (ch$, remove), (ch$, free) and (hp, CAPTOT). However, these interactions give no improvement in performance over the generalized additive model.
9.4.2 Example (Simulated Data)
Here we examine the performance of MARS in three contrasting scenarios. There are N = 100 observations, and the predictors X1, X2,…,Xp and errors ε have independent standard normal distributions.
Scenario 1: The data generation model is
\[Y = (X\_1 - 1)\_+ + (X\_1 - 1)\_+ \cdot (X\_2 - .8)\_+ + 0.12 \cdot \varepsilon. \tag{9.21}\]
The noise standard deviation 0.12 was chosen so that the signal-tonoise ratio was about 5. We call this the tensor-product scenario; the product term gives a surface that looks like that of Figure 9.11.
Scenario 2: This is the same as scenario 1, but with p = 20 total predictors; that is, there are 18 inputs that are independent of the response.
Scenario 3: This has the structure of a neural network:
\[\begin{array}{rcl} \ell\_1 &=& X\_1 + X\_2 + X\_3 + X\_4 + X\_5, \\ \ell\_2 &=& X\_6 - X\_7 + X\_8 - X\_9 + X\_{10}, \\ \sigma(t) &=& 1/(1 + e^{-t}), \\ Y &=& \sigma(\ell\_1) + \sigma(\ell\_2) + 0.12 \cdot \varepsilon. \end{array} \tag{9.22}\]
Scenarios 1 and 2 are ideally suited for MARS, while scenario 3 contains high-order interactions and may be difficult for MARS to approximate. We ran five simulations from each model, and recorded the results.
In scenario 1, MARS typically uncovered the correct model almost perfectly. In scenario 2, it found the correct structure but also found a few extraneous terms involving other predictors.
Let µ(x) be the true mean of Y , and let
\[\begin{array}{lcl}\text{MSE}\_0 &=& \text{ave}\_{x \in \text{Test}}(\bar{y} - \mu(x))^2, \\ \text{MSE} &=& \text{ave}\_{x \in \text{Test}}(\hat{f}(x) - \mu(x))^2. \end{array} \tag{9.23}\]
These represent the mean-square error of the constant model and the fitted MARS model, estimated by averaging at the 1000 test values of x. Table 9.4 shows the proportional decrease in model error or R2 for each scenario:
\[R^2 = \frac{\text{MSE}\_0 - \text{MSE}}{\text{MSE}\_0}.\tag{9.24}\]
The values shown are means and standard error over the five simulations. The performance of MARS is degraded only slightly by the inclusion of the useless inputs in scenario 2; it performs substantially worse in scenario 3.
TABLE 9.4. Proportional decrease in model error (R2) when MARS is applied to three different scenarios.
| Scenario | Mean (S.E.) |
|---|---|
| 1: Tensor product p = 2 | 0.97 (0.01) |
| 2: Tensor product p = 20 | 0.96 (0.01) |
| 3: Neural network | 0.79 (0.01) |
9.4.3 Other Issues
MARS for Classification
The MARS method and algorithm can be extended to handle classification problems. Several strategies have been suggested.
For two classes, one can code the output as 0/1 and treat the problem as a regression; we did this for the spam example. For more than two classes, one can use the indicator response approach described in Section 4.2. One codes the K response classes via 0/1 indicator variables, and then performs a multi-response MARS regression. For the latter we use a common set of basis functions for all response variables. Classification is made to the class with the largest predicted response value. There are, however, potential masking problems with this approach, as described in Section 4.2. A generally superior approach is the “optimal scoring” method discussed in Section 12.5.
Stone et al. (1997) developed a hybrid of MARS called PolyMARS specifically designed to handle classification problems. It uses the multiple logistic framework described in Section 4.4. It grows the model in a forward stagewise fashion like MARS, but at each stage uses a quadratic approximation to the multinomial log-likelihood to search for the next basis-function pair. Once found, the enlarged model is fit by maximum likelihood, and the process is repeated.
Relationship of MARS to CART
Although they might seem quite different, the MARS and CART strategies actually have strong similarities. Suppose we take the MARS procedure and make the following changes:
- Replace the piecewise linear basis functions by step functions I(x−t > 0) and I(x − t ≤ 0).
- When a model term is involved in a multiplication by a candidate term, it gets replaced by the interaction, and hence is not available for further interactions.
With these changes, the MARS forward procedure is the same as the CART tree-growing algorithm. Multiplying a step function by a pair of reflected step functions is equivalent to splitting a node at the step. The second restriction implies that a node may not be split more than once, and leads to the attractive binary-tree representation of the CART model. On the other hand, it is this restriction that makes it difficult for CART to model additive structures. MARS forgoes the tree structure and gains the ability to capture additive effects.
Mixed Inputs
Mars can handle “mixed” predictors—quantitative and qualitative—in a natural way, much like CART does. MARS considers all possible binary partitions of the categories for a qualitative predictor into two groups. Each such partition generates a pair of piecewise constant basis functions indicator functions for the two sets of categories. This basis pair is now treated as any other, and is used in forming tensor products with other basis functions already in the model.
9.5 Hierarchical Mixtures of Experts
The hierarchical mixtures of experts (HME) procedure can be viewed as a variant of tree-based methods. The main difference is that the tree splits are not hard decisions but rather soft probabilistic ones. At each node an observation goes left or right with probabilities depending on its input values. This has some computational advantages since the resulting parameter optimization problem is smooth, unlike the discrete split point search in the tree-based approach. The soft splits might also help in prediction accuracy and provide a useful alternative description of the data.
There are other differences between HMEs and the CART implementation of trees. In an HME, a linear (or logistic regression) model is fit in each terminal node, instead of a constant as in CART. The splits can be multiway, not just binary, and the splits are probabilistic functions of a linear combination of inputs, rather than a single input as in the standard use of CART. However, the relative merits of these choices are not clear, and most were discussed at the end of Section 9.2.
A simple two-level HME model in shown in Figure 9.13. It can be thought of as a tree with soft splits at each non-terminal node. However, the inventors of this methodology use a different terminology. The terminal nodes are called experts, and the non-terminal nodes are called gating networks. The idea is that each expert provides an opinion (prediction) about the response, and these are combined together by the gating networks. As we will see, the model is formally a mixture model, and the two-level model in the figure can be extend to multiple levels, hence the name hierarchical mixtures of experts.

FIGURE 9.13. A two-level hierarchical mixture of experts (HME) model.
Consider the regression or classification problem, as described earlier in the chapter. The data is (xi, yi), i = 1, 2,…,N, with yi either a continuous or binary-valued response, and xi a vector-valued input. For ease of notation we assume that the first element of xi is one, to account for intercepts.
Here is how an HME is defined. The top gating network has the output
\[g\_j(x, \gamma\_j) = \frac{e^{\gamma\_j^T x}}{\sum\_{k=1}^K e^{\gamma\_k^T x}}, \ j = 1, 2, \dots, K,\tag{9.25}\]
where each γj is a vector of unknown parameters. This represents a soft K-way split (K = 2 in Figure 9.13.) Each gj (x, γj ) is the probability of assigning an observation with feature vector x to the jth branch. Notice that with K = 2 groups, if we take the coefficient of one of the elements of x to be +∞, then we get a logistic curve with infinite slope. In this case, the gating probabilities are either 0 or 1, corresponding to a hard split on that input.
At the second level, the gating networks have a similar form:
\[g\_{\ell|j}(x,\gamma\_{j\ell}) = \frac{e^{\gamma\_{j\ell}^T x}}{\sum\_{k=1}^K e^{\gamma\_{jk}^T x}}, \ \ell = 1, 2, \dots, K. \tag{9.26}\]
This is the probability of assignment to the ℓth branch, given assignment to the jth branch at the level above.
At each expert (terminal node), we have a model for the response variable of the form
\[Y \sim \Pr(y|x, \theta\_{j\ell}).\tag{9.27}\]
This differs according to the problem.
Regression: The Gaussian linear regression model is used, with θjℓ = (βjℓ, σ2 jℓ):
\[Y = \beta\_{j\ell}^T x + \varepsilon \text{ and } \varepsilon \sim N(0, \sigma\_{j\ell}^2). \tag{9.28}\]
Classification: The linear logistic regression model is used:
\[\Pr(Y = 1 | x, \theta\_{j\ell}) = \frac{1}{1 + e^{-\theta\_{j\ell}^T x}}.\tag{9.29}\]
Denoting the collection of all parameters by Ψ = {γj , γjℓ, θjℓ}, the total probability that Y = y is
\[\Pr(y|x,\Psi) = \sum\_{j=1}^{K} g\_j(x,\gamma\_j) \sum\_{\ell=1}^{K} g\_{\ell|j}(x,\gamma\_j \epsilon) \Pr(y|x,\theta\_{j\ell}).\tag{9.30}\]
This is a mixture model, with the mixture probabilities determined by the gating network models.
( To estimate the parameters, we maximize the log-likelihood of the data, i log Pr(yi|xi, Ψ), over the parameters in Ψ. The most convenient method for doing this is the EM algorithm, which we describe for mixtures in Section 8.5. We define latent variables ∆j , all of which are zero except for a single one. We interpret these as the branching decisions made by the top level gating network. Similarly we define latent variables ∆ℓ|j to describe the gating decisions at the second level.
In the E-step, the EM algorithm computes the expectations of the ∆j and ∆ℓ|j given the current values of the parameters. These expectations are then used as observation weights in the M-step of the procedure, to estimate the parameters in the expert networks. The parameters in the internal nodes are estimated by a version of multiple logistic regression. The expectations of the ∆j or ∆ℓ|j are probability profiles, and these are used as the response vectors for these logistic regressions.
The hierarchical mixtures of experts approach is a promising competitor to CART trees. By using soft splits rather than hard decision rules it can capture situations where the transition from low to high response is gradual. The log-likelihood is a smooth function of the unknown weights and hence is amenable to numerical optimization. The model is similar to CART with linear combination splits, but the latter is more difficult to optimize. On
9.6 Missing Data
It is quite common to have observations with missing values for one or more input features. The usual approach is to impute (fill-in) the missing values in some way.
However, the first issue in dealing with the problem is determining whether the missing data mechanism has distorted the observed data. Roughly speaking, data are missing at random if the mechanism resulting in its omission is independent of its (unobserved) value. A more precise definition is given in Little and Rubin (2002). Suppose y is the response vector and X is the N × p matrix of inputs (some of which are missing). Denote by Xobs the observed entries in X and let Z = (y, X), Zobs = (y, Xobs). Finally, if R is an indicator matrix with ijth entry 1 if xij is missing and zero otherwise, then the data is said to be missing at random (MAR) if the distribution of R depends on the data Z only through Zobs:
\[\Pr(\mathbf{R}|\mathbf{Z},\theta) = \Pr(\mathbf{R}|\mathbf{Z}\_{\text{obs}},\theta). \tag{9.31}\]
Here θ are any parameters in the distribution of R. Data are said to be missing completely at random (MCAR) if the distribution of R doesn’t depend on the observed or missing data:
\[\Pr(\mathbf{R}|\mathbf{Z},\theta) = \Pr(\mathbf{R}|\theta). \tag{9.32}\]
MCAR is a stronger assumption than MAR: most imputation methods rely on MCAR for their validity.
For example, if a patient’s measurement was not taken because the doctor felt he was too sick, that observation would not be MAR or MCAR. In this case the missing data mechanism causes our observed training data to give a distorted picture of the true population, and data imputation is dangerous in this instance. Often the determination of whether features are MCAR must be made from information about the data collection process. For categorical features, one way to diagnose this problem is to code “missing” as an additional class. Then we fit our model to the training data and see if class “missing” is predictive of the response.
Assuming the features are missing completely at random, there are a number of ways of proceeding:
- Discard observations with any missing values.
- Rely on the learning algorithm to deal with missing values in its training phase.
- Impute all missing values before training.
Approach (1) can be used if the relative amount of missing data is small, but otherwise should be avoided. Regarding (2), CART is one learning algorithm that deals effectively with missing values, through surrogate splits (Section 9.2.4). MARS and PRIM use similar approaches. In generalized additive modeling, all observations missing for a given input feature are omitted when the partial residuals are smoothed against that feature in the backfitting algorithm, and their fitted values are set to zero. Since the fitted curves have mean zero (when the model includes an intercept), this amounts to assigning the average fitted value to the missing observations.
For most learning methods, the imputation approach (3) is necessary. The simplest tactic is to impute the missing value with the mean or median of the nonmissing values for that feature. (Note that the above procedure for generalized additive models is analogous to this.)
If the features have at least some moderate degree of dependence, one can do better by estimating a predictive model for each feature given the other features and then imputing each missing value by its prediction from the model. In choosing the learning method for imputation of the features, one must remember that this choice is distinct from the method used for predicting y from X. Thus a flexible, adaptive method will often be preferred, even for the eventual purpose of carrying out a linear regression of y on X. In addition, if there are many missing feature values in the training set, the learning method must itself be able to deal with missing feature values. CART therefore is an ideal choice for this imputation “engine.”
After imputation, missing values are typically treated as if they were actually observed. This ignores the uncertainty due to the imputation, which will itself introduce additional uncertainty into estimates and predictions from the response model. One can measure this additional uncertainty by doing multiple imputations and hence creating many different training sets. The predictive model for y can be fit to each training set, and the variation across training sets can be assessed. If CART was used for the imputation engine, the multiple imputations could be done by sampling from the values in the corresponding terminal nodes.
9.7 Computational Considerations
With N observations and p predictors, additive model fitting requires some number mp of applications of a one-dimensional smoother or regression method. The required number of cycles m of the backfitting algorithm is usually less than 20 and often less than 10, and depends on the amount of correlation in the inputs. With cubic smoothing splines, for example, N log N operations are needed for an initial sort and N operations for the spline fit. Hence the total operations for an additive model fit is pN log N + mpN.
Trees require pN log N operations for an initial sort for each predictor, and typically another pN log N operations for the split computations. If the splits occurred near the edges of the predictor ranges, this number could increase to N2p.
MARS requires Nm2 + pmN operations to add a basis function to a model with m terms already present, from a pool of p predictors. Hence to build an M-term model requires NM3 + pM2N computations, which can be quite prohibitive if M is a reasonable fraction of N.
Each of the components of an HME are typically inexpensive to fit at each M-step: N p2 for the regressions, and N p2K2 for a K-class logistic regression. The EM algorithm, however, can take a long time to converge, and so sizable HME models are considered costly to fit.
Bibliographic Notes
The most comprehensive source for generalized additive models is the text of that name by Hastie and Tibshirani (1990). Different applications of this work in medical problems are discussed in Hastie et al. (1989) and Hastie and Herman (1990), and the software implementation in Splus is described in Chambers and Hastie (1991). Green and Silverman (1994) discuss penalization and spline models in a variety of settings. Efron and Tibshirani (1991) give an exposition of modern developments in statistics (including generalized additive models), for a nonmathematical audience. Classification and regression trees date back at least as far as Morgan and Sonquist (1963). We have followed the modern approaches of Breiman et al. (1984) and Quinlan (1993). The PRIM method is due to Friedman and Fisher (1999), while MARS is introduced in Friedman (1991), with an additive precursor in Friedman and Silverman (1989). Hierarchical mixtures of experts were proposed in Jordan and Jacobs (1994); see also Jacobs et al. (1991).
Exercises
Ex. 9.1 Show that a smoothing spline fit of yi to xi preserves the linear part of the fit. In other words, if yi = ˆyi + ri, where ˆyi represents the linear regression fits, and S is the smoothing matrix, then Sy = yˆ + Sr. Show that the same is true for local linear regression (Section 6.1.1). Hence argue that the adjustment step in the second line of (2) in Algorithm 9.1 is unnecessary.
Ex. 9.2 Let A be a known k × k matrix, b be a known k-vector, and z be an unknown k-vector. A Gauss–Seidel algorithm for solving the linear system of equations Az = b works by successively solving for element zj in the jth equation, fixing all other zj ’s at their current guesses. This process is repeated for j = 1, 2,… , k, 1, 2,… , k,… , until convergence (Golub and Van Loan, 1983).
- Consider an additive model with N observations and p terms, with the jth term to be fit by a linear smoother Sj . Consider the following system of equations:
\[ \begin{pmatrix} \mathbf{I} & \mathbf{S}\_1 & \mathbf{S}\_1 & \cdots & \mathbf{S}\_1 \\ \mathbf{S}\_2 & \mathbf{I} & \mathbf{S}\_2 & \cdots & \mathbf{S}\_2 \\ \vdots & \vdots & \vdots & \ddots & \vdots \\ \mathbf{S}\_p & \mathbf{S}\_p & \mathbf{S}\_p & \cdots & \mathbf{I} \end{pmatrix} \begin{pmatrix} \mathbf{f}\_1 \\ \mathbf{f}\_2 \\ \vdots \\ \mathbf{f}\_p \end{pmatrix} = \begin{pmatrix} \mathbf{S}\_1 \mathbf{y} \\ \mathbf{S}\_2 \mathbf{y} \\ \vdots \\ \mathbf{S}\_p \mathbf{y} \end{pmatrix}. \tag{9.33} \]
Here each fj is an N-vector of evaluations of the jth function at the data points, and y is an N-vector of the response values. Show that backfitting is a blockwise Gauss–Seidel algorithm for solving this system of equations.
- Let S1 and S2 be symmetric smoothing operators (matrices) with eigenvalues in [0, 1). Consider a backfitting algorithm with response vector y and smoothers S1, S2. Show that with any starting values, the algorithm converges and give a formula for the final iterates.
Ex. 9.3 Backfitting equations. Consider a backfitting procedure with orthogonal projections, and let D be the overall regression matrix whose columns span V = Lcol(S1) ⊕ Lcol(S2) ⊕ ··· ⊕ Lcol(Sp), where Lcol(S) denotes the column space of a matrix S. Show that the estimating equations
| ⎛ I |
S1 | S1 | ··· | ⎞ S1 |
⎛ ⎞ f1 |
⎛ ⎞ S1y |
|
|---|---|---|---|---|---|---|---|
| S2 ⎜⎜ |
I | S2 | ··· | S2 ⎟⎟ |
f2 ⎜⎜ ⎟⎟ |
S2y ⎜⎜ ⎟⎟ |
|
| ⎜⎝ | ⎟⎠ | ⎜⎝ ⎟⎠ |
= | ⎜⎝ ⎟⎠ |
|||
| Sp | Sp | Sp | ··· | I | fp | Spy |
are equivalent to the least squares normal equations DT Dβ = DT y where β is the vector of coefficients.
336 9. Additive Models, Trees, and Related Methods
Ex. 9.4 Suppose the same smoother S is used to estimate both terms in a two-term additive model (i.e., both variables are identical). Assume that S is symmetric with eigenvalues in [0, 1). Show that the backfitting residual converges to (I + S)−1(I − S)y, and that the residual sum of squares converges upward. Can the residual sum of squares converge upward in less structured situations? How does this fit compare to the fit with a single term fit by S? [Hint: Use the eigen-decomposition of S to help with this comparison.]
Ex. 9.5 Degrees of freedom of a tree. Given data yi with mean f(xi) and variance σ2, and a fitting operation y → yˆ, let’s define the degrees of freedom of a fit by ( i cov(yi, yˆi)/σ2.
Consider a fit yˆ estimated by a regression tree, fit to a set of predictors X1, X2,…,Xp.
- In terms of the number of terminal nodes m, give a rough formula for the degrees of freedom of the fit.
- Generate 100 observations with predictors X1, X2,…,X10 as independent standard Gaussian variates and fix these values.
- Generate response values also as standard Gaussian (σ2 = 1), independent of the predictors. Fit regression trees to the data of fixed size 1,5 and 10 terminal nodes and hence estimate the degrees of freedom of each fit. [Do ten simulations of the response and average the results, to get a good estimate of degrees of freedom.]
- Compare your estimates of degrees of freedom in (a) and (c) and discuss.
- If the regression tree fit were a linear operation, we could write yˆ = Sy for some matrix S. Then the degrees of freedom would be tr(S). Suggest a way to compute an approximate S matrix for a regression tree, compute it and compare the resulting degrees of freedom to those in (a) and (c).
Ex. 9.6 Consider the ozone data of Figure 6.9.
- Fit an additive model to the cube root of ozone concentration. as a function of temperature, wind speed, and radiation. Compare your results to those obtained via the trellis display in Figure 6.9.
- Fit trees, MARS, and PRIM to the same data, and compare the results to those found in (a) and in Figure 6.9.

